Acta Chimica Sinica ›› 2025, Vol. 83 ›› Issue (12): 1551-1560.DOI: 10.6023/A25070252 Previous Articles     Next Articles

Article

Mn2+离子/二聚体差异化热响应的CaF2纳米探针实现多模式光学测温

刘文素, 江莎*(), 王渝童, 谢林林, 张登翔, 谭力伟, 汪永杰   

  1. 重庆邮电大学 电子科学与工程学院 电子科学与工程学院 重庆 400065
  • 投稿日期:2025-07-11 发布日期:2025-09-28
  • 基金资助:
    国家自然科学基金项目(11604037); 重庆市教委科学技术研究项目(KJQN202300652); 重庆市教委科学技术研究项目(KJZD-K202300612); 重庆市自然科学基金项目(CSTB2025NSCQ-LZX0080); 重庆市留学人员回国创业创新支持计划(CX2024081)

CaF2 Nanoprobes with Mn2+ Ions/Dimers Exhibiting Differential Thermal Responses for Multimodal Optical Thermometry

Wensu Liu, Sha Jiang*(), Yutong Wang, Linlin Xie, Dengxiang Zhang, Liwei Tan, Yongjie Wang   

  1. School of Electronic Science and Engineering, Chongqing University of Posts and Telecommunications, Chongqing 400065, China
  • Received:2025-07-11 Published:2025-09-28
  • Contact: * E-mail: jiangsha@cqupt.edu.cn
  • Supported by:
    National Natural Science Foundation of China(11604037); Scientific and Technological Research Program of Chongqing Municipal Education Commission(KJQN202300652); Scientific and Technological Research Program of Chongqing Municipal Education Commission(KJZD-K202300612); Natural Science Foundation of Chongqing(CSTB2025NSCQ-LZX0080); Venture and Innovation Support Program for Chongqing Overseas Returnees(CX2024081)

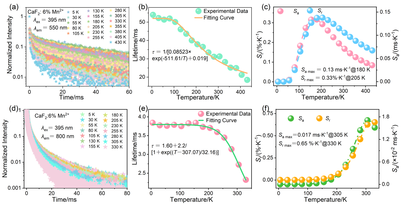
In recent years, optical thermometry based on inorganic nanomaterials has demonstrated significant application potential in biomedical temperature sensing due to its high sensitivity, non-contact measurement capability, and excellent biocompatibility. Compared with a single temperature sensing mode, the development of a multi-mode optical temperature sensing strategy is expected to significantly improve the accuracy and reliability of temperature detection, which has become an important research direction in this field. In this work, a series of CaF2:Mn2+ nanoparticles with particle size of about 10~20 nm have been successfully prepared through a solvothermal approach. In order to further reveal the structure-activity relationship of CaF2:Mn2+, its structural composition and microscopic morphology were systematically characterized by X-ray diffraction, X-ray photoelectron spectroscopy and transmission electron microscopy. The luminescence properties and temperature-dependent response behavior of CaF2:Mn2+ were explored in detail by spectroscopic analysis. On this basis, the potential application prospects of the material in the field of optical temperature sensing are further discussed. The experimental results demonstrate that the nanoparticles exhibit significant temperature-dependent characteristics in luminescence intensity, emission peak position, and fluorescence lifetime. Further investigation revealed that the CaF2:Mn2+ nanoparticles exhibited characteristic emission from Mn2+-Mn2+ dimers (680~950 nm) within the first near-infrared biological window (650~950 nm), and showed stronger thermal quenching effects compared to Mn2+ ions. Based on these experimental results, we have established a multimodal optical temperature sensing strategy utilizing CaF2:Mn2+ nanoparticles. Among these, the temperature sensing models based on luminescence intensity of the Mn2+-Mn2+ dimer, the luminescence intensity ratio (Mn2+ ions / Mn2+-Mn2+ dimer), and the lifetime of the Mn2+-Mn2+ dimer demonstrate optimal temperature sensing performance within the physiological temperature range (300~330 K). Corresponding relative sensitivities are 2.82%•K−1 (330 K), 0.79%•K−1 (305 K), and 0.65%•K−1 (330 K), respectively, providing a reliable multi-mode measurement scheme for biological thermometry. This study not only confirms the application potential of CaF2:Mn2+ nanoparticles in the field of biological temperature sensing, but also provides important theoretical references and experimental basis for the development of novel high-sensitivity biothermometry probes.

Key words: CaF2:Mn2+ nanoparticles, Mn2+-Mn2+ dimers, luminescence intensity ratio, biothermometry, multimodal thermometry