Article

Support Performance Optimization and Pt High-Dispersion Mechanism for Methylcyclohexane (MCH) High-Efficiency Dehydrogenation Catalyst Pt/Al2O3

  • Jianli Su ,
  • Changxu Li ,
  • Chunming Chen ,
  • Huili An ,
  • Feng Yu , * ,
  • Shuwei Chen ,
  • Dahai Pan , * ,
  • Xiaoliang Yan ,
  • Ruifeng Li
Expand
  • College of Chemistry and Chemical Engineering, Taiyuan University of Technology, Taiyuan 030024
* E-mail: (F. Yu);

Received date: 2025-05-26

  Online published: 2025-08-14

Supported by

National Natural Science Foundation of China(21975174)

National Natural Science Foundation of China(22378286)

Natural Science Foundation of Shanxi Province, China(202403021221036)

Shanxi Scholarship Council of China(2024-036)

Abstract

Mesoporous alumina (MA) material with a well-developed mesoporous structure was synthesized by a facile solvent confined hydrolysis-condensation route without introducing organic template. In the proposed route, under vigorous stirring at 60 ℃, the hydrolytic agent (a mixture of deionized water and anhydrous ethanol with a volume ratio of 1:9) was added dropwise into a homogeneous aluminum isopropoxide solution with anhydrous ethanol as solvent to induce an incomplete hydrolysis of aluminum isopropoxide molecules, due to the water molecules dissolved in the anhydrous ethanol solvent exhibiting a significantly reduced accessibility with aluminum isopropoxide molecules; meanwhile, the presence of -OR groups in the intermediate aluminum species and the dispersion role from anhydrous ethanol resulted in an observably moderated condensation reaction of aluminum hydroxyl groups. Consequently, the local crosslinking of oligomerized aluminum hydroxyl species could lead to the formation of nanocluster-like Al-OH species surrounding the organic solvent molecules. During the subsequent solvent evaporation process at 60 ℃, the removal of organic solvent molecules filled in the spaces derived from the further cross-linking of nanocluster-like Al-OH species could drive the formation of mesostructure with uniform porous size. The crystal phase and textural and surface properties of the resulted MA material were further optimized by regulating the calcination conditions. Afterwards, the obtained MA-T samples calcined at different temperature were used as supports of Pt-based catalysts with a low Pt loading amount (w=0.5%) for methylcyclohexane (MCH) dehydrogenation. The characterization and catalytic results demonstrated that at an optimal calcination temperature of 450 ℃, the obtained MA-450 support possesses a γ-Al₂O₃ crystal phase and exhibits the highest specific surface area and pore volume. More importantly, the presence of abundant surface Ib type Al-OH species can effectively promote the homogenous dispersion of Pt precursor (chloroplatinic acid) molecules onto the surface of support MA-450 by an electrostatic interaction between Ib type Al-OH species and chloroplatinic acid molecules. As a result, the resultant catalyst Pt/MA-450 calcined at 500 ℃ for 3 h to thermally decompose the chloroplatinic acid molecules loaded on its surface displayed a notable catalytic activity with a maximum hydrogen evolution rate of 2112 mmol•gPt–1•min–1, which is inspiringly superior to the state-of-the-art supported Pt-based catalysts. Interestingly, even after a long-time reaction up to 100 h or regeneration, catalyst Pt/MA-450 still maintained more than 80% of original activity. The obviously boosted catalytic reactivity of catalyst Pt/MA-450 can be attributed to the highly homogenous dispersion of Pt active sites in a form of ultra-small nanoclusters and the excellent structural and textural properties of support MA-450, which play important roles in remarkably increasing Pt utilization efficiency and effectively improving the mass/heat transfer efficiency.

Cite this article

Jianli Su , Changxu Li , Chunming Chen , Huili An , Feng Yu , Shuwei Chen , Dahai Pan , Xiaoliang Yan , Ruifeng Li . Support Performance Optimization and Pt High-Dispersion Mechanism for Methylcyclohexane (MCH) High-Efficiency Dehydrogenation Catalyst Pt/Al2O3[J]. Acta Chimica Sinica, 2026 , 84(1) : 20 -29 . DOI: 10.6023/A25050188

1 引言

随着化石燃料的大量使用, 能源与环境问题日渐突出. 氢能具有清洁、高效和可再生等优点, 成为传统化石燃料的最佳可替代绿色能源[1-2]. 然而, 如何提高氢气的高密度存储及安全、长距离运输则成为当前实现“氢能社会”的关键[3-4]. 与传统储氢技术相比, 基于液态有机氢载体(LOHC)的可逆催化加氢-脱氢循环储氢技术, 因具有储氢密度高、储氢周期长、运输方便、安全性高及可逆循环利用性好等优点, 被认为是实现氢能规模化高效安全存储的重要途径[5-7]. 在众多LOHC储氢体系中, 甲基环己烷(MCH)-甲苯(TOL)体系凭借其优异的循环稳定性、低毒性及与现有石化工业基础设施的良好兼容性, 成为当前LOHC储氢关注的焦点[8-9]. 然而, 由于C(sp3)—H键的强惰性, MCH脱氢反应往往需要较高的反应温度(>350 ℃), 导致负载金属型催化剂在反应过程中极易因活性金属烧结和/或形成积碳而失活[10]. 因此, 开发具有高活性、高选择性和高稳定性的低温脱氢催化剂, 成为实现MCH-TOL储氢技术工业化应用的关键.
Pt作为常用的活性组分, 具有优异的C—H键裂解能力, 在MCH脱氢反应中展现出良好的催化活性和选择性[11-13]. 然而, 高昂的价格严重限制了负载型Pt基催化剂的实际应用. 鉴于载体组成、孔结构、织构及表面性质将直接影响金属活性位点的分散度和利用效率及反应物在金属活性位点上的停留时间, 继而影响所得负载金属型催化剂的催化活性和稳定性[14], 因此, 如何开发一种具有发达介孔孔道结构和高表面积且与Pt前体间存在强键合作用的载体材料, 在显著降低Pt负载量的前提下, 实现Pt以单原子或超小纳米团簇形式高度均匀分散, 有效增加Pt活性位点数目, 提高Pt原子利用率, 达到降低催化剂制备成本并提高所得催化剂MCH低温脱氢反应活性和选择性的同时, 通过提高催化剂传质/传热效率, 提升Pt基催化剂的抗烧结和抗积碳性能, 成为当前MCH低温高效脱氢Pt基催化剂开发需重点解决的核心问题.
近期, 我们提出一种溶剂限域水解-聚合法, 借助挥发性有机溶剂分子的限域作用, 结合水解条件的进一步优化, 有效调控铝醇盐水解速率及铝羟基(Al-OH)物种的聚合方式和程度, 成功在不引入有机模板剂及任何添加剂的条件下制备得到具有较高比表面积、较大孔体积且孔径均一的介孔氧化铝(MA)载体材料, 并将其用于低负载量Pt的均匀负载. 所得催化剂在300 ℃下即可实现MCH的高效脱氢, 其最大析氢速率高达2081 mmol•gPt–1•min–1, 且在经100 h长时间反应或再生循环使用过程中, 仍能保持80%以上的初始催化活性[15]. 然而, MA载体与Pt前体分子间界面相互作用及MA载体性质与Pt分散度间的内在相关性, 尚未明确. 对此, 本工作以经溶剂限域水解-聚合法制备得到的MA载体为出发点, 通过调节焙烧温度, 调控MA载体的晶相、织构及表面性质, 在详细考察MA载体性质对Pt分散度及所得负载型Pt基催化剂MCH低温脱氢反应催化性能影响的基础上, 深入阐述了MA载体表面组分与Pt前体间的界面作用方式及MA对Pt活性组分的高分散作用机制.

2 结果与讨论

2.1 MA载体焙烧温度对MA负载Pt催化剂MCH脱氢催化活性的影响

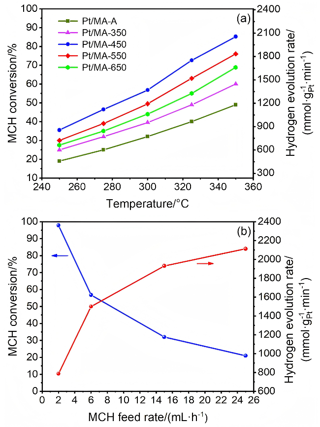
选取经溶剂限域水解-聚合法所得初始MA材料(记为MA-A, 其中A表示未经焙烧处理)为研究对象, 对其在不同温度下进行焙烧处理, 并将所得样品MA-T(其中, T表示焙烧处理温度)作为载体, 采用传统浸渍法负载质量分数为0.5%的Pt, 考察MA载体焙烧温度对负载型Pt基催化剂MCH脱氢催化活性的影响. 图1给出了载体MA-A和MA-T负载Pt后所得催化剂Pt/MA-A和Pt/MA-T在不同反应条件下的MCH脱氢初始反应活性. 这里, 反应1 h后的MCH转化率被用于判定催化剂的初始反应活性. 由图1a可见, 当MCH进料速率为6.0 mL/h[对应于质量空速(WHSV)为23.7 h–1]时, 因受MCH脱氢吸热反应性质的影响[16-17], 催化剂Pt/MA-A和Pt/MA-T的初始MCH转化率及析氢速率均随反应温度的升高而显著增大. 需指出的是, 在给定反应条件下, 唯一液体产物TOL被检测到, 表明MA负载Pt催化剂具有极高的目标产物选择性. 值得注意的是, 在任意反应温度下, 所得催化剂的初始反应活性均随载体MA焙烧温度的升高, 呈现出先显著增大后逐渐降低的变化趋势. 当载体MA焙烧温度为450 ℃时, 所得催化剂Pt/MA-450显示出最高的MCH初始转化率及析氢速率. 例如, 在350 ℃反应条件下, 催化剂Pt/MA-450可将85.2%的MCH完全转化为TOL, 相应的析氢速率高达2056 mmol•gPt–1•min–1. 通过计算可知, 催化剂Pt/MA- 450的初始反应活性分别是催化剂Pt/MA-550、Pt/MA- 650、Pt/MA-350及Pt/MA-A的1.12倍、1.24倍、1.62倍和1.74倍. 更为重要的是, 即使在300 ℃相对较低的反应温度下, 催化剂Pt/MA-450仍显示出56.8%的MCH转化率和1371 mmol•gPt–1•min–1的析氢速率.
图1 (a)催化剂Pt/MA-T和Pt/MA-A在不同反应温度下的MCH转化率和相应的析氢速率及(b)催化剂Pt/MA-450在300 ℃不同MCH进料速率下的MCH转化率和析氢速率

Figure 1 (a) MCH conversion and hydrogen evolution rate for catalysts Pt/MA-T and Pt/MA-A at different reaction temperatures and (b) MCH conversion and hydrogen evolution rate for catalyst Pt/MA-450 at 300 ℃ with different MCH feed rates

在恒定反应温度为300 ℃下, 通过测定催化剂Pt/MA-450在不同MCH进料速率(即调变WHSV)下的MCH的转化率及相应的析氢速率, 可进一步评价催化剂Pt/MA-450在300 ℃低温反应条件下的本征催化活性. 如图1b所示, 当MCH进料速率为2.0 mL/h时, 催化剂Pt/MA-450可将MCH近乎完全转化, 此时的析氢速率为787 mmol•gPt–1•min–1. 随着MCH进料速率的增加, 催化剂Pt/MA-450显示出显著增大的析氢速率并伴随着MCH转化率的逐步降低. 当MCH进料速率增大至25.0 mL/h (对应于WHSV为98.75 h–1)时, MCH转化率降低至20.0%左右, 该转化率数值可用于计算催化剂Pt/MA-450的转化频率(TOF, 即单位时间内单个活性位点的转化数)和最大析氢速率. 通过计算可知, 催化剂Pt/MA-450的TOF和最大析氢速率分别为8240 h–1和2112 mmol•gPt–1•min–1. 与文献现已报道的各种负载型Pt基催化剂相比, 催化剂Pt/MA-450显示出更为优异的MCH低温脱氢催化活性, 如表1所示.
表1 催化剂Pt/MA-450与文献报道的负载型Pt基催化剂MCH脱氢活性对比

Table 1 Comparison of catalyst Pt/MA-450 with previous reported Pt-based catalysts for MCH dehydrogenation reaction

Catalyst w(Pt)/% Temperature/℃ WHSV/h–1 H2 evolution rate/(mmol•gPt–1•min–1) Ref.
Pt/Mg-Al-O 0.5 300/350 9.48 461.5/1892 [18]
Pt/Al2O3 1.5 300 28.4 656 [11]
B(Pt-n)/Al2O3 1 300 23.7 984 [19]
1%Pt/Clu-350 1 320 47.4 1118.8 [20]
Pt1Sn6@S-1 0.4 350 75.84 1343 [21]
Pt/SG-9 0.5 300 98.75 2081 [15]
Pt/MA-450 0.5 300 98.75 2112 this work

2.2 MA载体焙烧温度对Pt活性组分分散度的影响

2.2.1 H2程序升温还原(H2-TPR)分析

当Pt负载量相同时, 提高负载Pt活性组分的分散度以减小Pt纳米粒子的尺寸, 有利于反应物MCH与更多Pt活性位点接触, 致使负载型Pt基催化剂显示出更高的催化活性[22-24]. 鉴于在催化剂Pt/MA-A和Pt/MA-T的X射线衍射(XRD)谱图中未检测到PtOx物种的特征衍射峰(图S1, 见支持信息), 表明负载于载体MA-A和MA-T表面上的PtOx物种具有较高的分散度, 其粒径均小于XRD的检测限度. 图2为催化剂Pt/MA-A和Pt/MA-T的H2-TPR曲线. 由图2可见, 所有Pt基催化剂均在350~520 ℃范围内显示出一明显还原峰, 对应于负载于MA载体表面上PtOx物种的还原过程. 通过对比此还原峰峰温(即还原峰最高点对应的温度)可判定PtOx物种的可还原性, 继而判定PtOx物种粒子的相对大小[25-26]. 对于催化剂Pt/MA-A、Pt/MA-350、Pt/MA-450、Pt/MA-550和Pt/MA-650, 其还原峰峰温分别为477、465、433、449和459 ℃, 由此可见, 随载体MA焙烧温度的升高, 负载于其表面上的PtOx物种粒子尺寸出现先显著减小后逐渐增大的变化趋势, 这与MA载体负载Pt催化剂MCH脱氢反应活性(图1a)一致. H2-TPR表征结果证实, 与其他MA负载Pt催化剂相比, 催化剂Pt/ MA-450具有更高催化活性的原因在于PtOx物种以更小纳米粒子形式高度均匀分散于载体MA-450孔壁表面.
图2 催化剂Pt/MA-A和Pt/MA-T的H2-TPR曲线

Figure 2 H₂-TPR profiles of catalysts Pt/MA-A and Pt/MA-T

2.2.2 CO脉冲化学吸附分析和球差校正扫描透射电子显微镜(AC-STEM)表征

采用CO脉冲化学吸附法测定了负载型Pt基催化剂中Pt的分散度(图S2, 见支持信息). 表2列出了催化剂Pt/MA-A和Pt/MA-T的CO脉冲化学吸附表征结果, 由表2可见, 在催化剂Pt/MA-A、Pt/MA-350、Pt/MA-450、Pt/MA-550和Pt/MA-650中, Pt活性组分的分散度分别为46.7%、49.9%、63.6%、56.8%和53.6%, 对应于Pt纳米粒子尺寸分别为2.05、1.89、1.49、1.66和1.76 nm. 高角度环形暗场(HAADF)球差校正扫描透射电镜表征结果(图3)进一步证实, 在催化剂Pt/MA-450中, 金属Pt以超小纳米团簇形式均匀分散于载体MA-450表面(图3a). 通过对100个Pt纳米团簇粒子尺寸进行测定后发现, 金属Pt纳米团簇的尺寸介于1.1~1.8 nm之间, 其平均尺寸为(1.47±0.13) nm, 具有该平均尺寸的Pt纳米团簇在总Pt纳米团簇中的比例高达33.1% (图3b). 此外, 由TEM-Mapping表征结果可见, 在催化剂Pt/MA-450中, Al和Pt原子在整个样品中达到近原子水平上的高度均匀分散(图3c3d). 由此可见, 催化剂Pt/MA-450因具有极高的Pt活性组分分散度及更小的Pt纳米团簇尺寸, 可暴露出更大的Pt活性表面(高达157.1 m2/g), 有利于实现MCH在低温下的催化转化及氢的高效析出.
表2 催化剂Pt/MA-T和Pt/MA-A的CO脉冲化学吸附表征结果

Table 2 CO pulse chemisorption characterization results for catalysts Pt/MA-T and Pt/MA-A

Catalyst Dispersion/% Particle size/nm Metal surface area/
(m2•g–1)
Pt/MA-A 46.7 2.05 116.8
Pt/MA-350 49.9 1.89 123.1
Pt/MA-450 63.6 1.49 157.1
Pt/MA-550 56.8 1.66 140.1
Pt/MA-650 53.6 1.76 132.3
图3 催化剂Pt/MA-450的(a)球差校正HAADF-STEM图像、(b)Pt纳米团簇尺寸分布及(c) Al和(d) Pt的元素分析mapping图

Figure 3 (a) Cs-corrected HAADF-STEM image, (b) size distribution histogram of Pt nanoclusters, and elemental analysis mapping showing the distribution of (c) Al and (d) Pt for catalyst Pt/MA-450

2.3 焙烧温度对MA载体性质的影响

2.3.1 N2物理吸附-脱附(BET)分析

由于焙烧温度的调变可显著改变MA载体的孔结构、比表面积及表面性质, 从而显著影响Pt活性组分在MA载体上的分散度和存在状态, 进而影响所得Pt基催化剂的MCH脱氢反应性能. 对此, 采用N2物理吸附-脱附表征判定焙烧温度对载体MA孔结构和织构性质的影响. 由图4a可见, 经不同温度焙烧前后的MA载体均显示出典型的IV吸附等温线和H1型滞后环, 表明所有MA载体均具有发达的介孔孔道结构[27-28]. 此外, 与载体MA-A不同, 经不同温度焙烧后所得载体MA-T在相对压力(p/p0)为0.42~0.83范围内均显示出一较为陡峭的毛细管凝聚曲线, 对应于较大且分布均一的介孔孔径(图4b). 通过计算可知, 载体MA-A、MA-350、MA-450、MA-550和MA-650的比表面积分别为367、401、550、453及349 m2/g, 孔体积分别为0.55、0.75、1.21、0.95及0.61 cm3/g(表3). 由此可见, 与其他MA载体相比, 经450 ℃焙烧后所得载体MA-450具有更为发达的介孔孔道结构及更为优异的织构性质, 因而更有利于反应物MCH的快速传递及其与Pt活性位点的高效接触. 通过关联各Pt基催化剂载体的比表面积与Pt分散度间的变化关系后发现, 二者之间并不存在线性关系(图5), 表明MA载体比表面积不是影响Pt活性组分分散度的唯一原因.
图4 载体MA-T和MA-A

载体MA-T和MA-A的(a) N2吸附-脱附等温线及(b)相应的孔径分布曲线

Figure 4 (a) N2 adsorption-desorption isotherms and (b) the corresponding pore size distribution curves of supports MA-T and MA-A

表3 载体MA-T和MA-A的比表面积、孔体积和孔径

Table 3 Specific surface areas, pore volumes, and pore sizes for supports MA-T and Pt/MA-A

Support SBET/(m2•g–1) Vp/(cm3•g–1) Dp/nm
MA-A 367 0.55 4.34
MA-350 401 0.75 6.93
MA-450 550 1.21 7.02
MA-550 453 0.95 6.78
MA-650 349 0.61 5.81
图5 MA载体比表面积对Pt分散度的影响

Figure 5 Effect of specific surface area of MA supports on Pt dispersion

2.3.2 X射线衍射(XRD)分析

由载体MA-A和MA-T的广角XRD谱图(图6)可见, 焙烧温度将直接影响MA载体的晶相结构. 载体MA-A在28.2°、38.3°、48.9°和64.9°处显示出对应于拟薄水铝石(120)、(031)、(200)和(002)晶面的特征衍射峰[JCPDS No. 21-1307]. 对MA-A进行350 ℃焙烧后发现, 所得载体MA-350拟薄水铝石衍射峰峰强度发生明显降低. 当焙烧温度高于450 ℃时, 在所得载体MA-450、MA-550和MA-650的广角XRD谱图中并未检测到拟薄水铝石的特征衍射峰, 而在2θ=66.7°处发现对应γ-Al2O3(440)晶面的特征衍射峰[JCPDS No. 10-0425], 且随着焙烧温度的升高, 该衍射峰峰强度逐渐增大并伴随着γ-Al2O3 (400)和(311)晶面衍射峰的出现. 由此可见, 当焙烧温度达到450 ℃以上时, 可实现将MA载体由拟薄水铝石晶相向γ-Al2O3相转变, 且晶相转变程度随焙烧温度的升高而增大. 考虑到Pt活性组分在不同晶相MA载体表面上分散度的差异(图5图6)后发现, 与拟薄水铝石相MA相比, γ-Al2O3相MA载体的使用更有利于Pt的均匀分散. 然而, 通过进一步分析催化剂Pt/MA-450、Pt/MA-550及Pt/MA-650载体的比表面积对Pt分散度的影响后发现, 尽管此三个催化剂的载体均具有γ-Al2O3晶相, 但MA载体比表面与负载于其上Pt的分散度之间并非线性关系(图5), 表明γ-Al2O3相MA载体表面性质亦是影响Pt活性组分分散度的重要因素.
图6 载体MA-A和MA-T的广角XRD图谱

Figure 6 Wide-XRD patterns of supports MA-A and MA-T

2.3.3 X射线光电子能谱(XPS)分析

γ-Al2O3的表面性质主要受到表面氧空位及Al-OH类型和含量的影响, 而后者进而决定了γ-Al2O3表面的酸/碱性[29-30], 对此, 使用XPS表征判定具有γ-Al2O3晶相的三个载体MA-450、MA-550和MA-650表面氧物种的存在状态. 由图7可见, 此三个载体均在结合能为527.5~535.0 eV范围内显示出一较宽且非对称O1s XPS峰, 表明表面存在有不同化学状态的氧物种[28]. 对此, 分别在结合能为530.6、531.7~531.9及533 eV处对各MA样品的O1s XPS曲线进行分峰拟合, 并将所得到的三个拟合峰分别归属于表面晶格氧(OL)、表面空位氧(OV)及表面羟基中的氧(OH)[31-32]. 表4给出了基于不同氧拟合峰峰面积计算所得载体MA-450、MA-550和MA-650表面不同氧物种的相对含量. 由该表可见, 随焙烧温度的升高, MA载体表面OL物种和OV物种的含量逐渐增大, 并伴随着OH物种含量的逐渐降低, 这与更高焙烧温度下MA载体表面Al-OH聚合程度增大有关[33]. 鉴于此三个MA载体负载Pt后, Pt分散度随载体焙烧温度的升高而逐渐降低(表2)可知, MA载体表面铝羟基含量是影响Pt分散度的另一关键因素.
图7 载体MA-450、MA-550和MA-650的O 1s XPS图谱

Figure 7 O 1s XPS spectra of supports MA-450, MA-550, and MA-650

表4 载体MA-450、MA-550和MA-650表面元素组成及各种表面氧物种的相对含量

Table 4 Composition of surface element measured by XPS analysis and proportions of different surface oxygen species for supports MA-450, MA-550, and MA-650

Support x(O)/% x(Al)/% x(OL)/% x(OV)/% x(OH)/%
MA-450 55.39 29.81 21.16 24.32 9.91
MA-550 54.76 30.37 21.29 24.43 9.04
MA-650 54.93 30.83 22.41 24.88 7.64

2.3.4 高真空原位红外(in-situ FTIR)分析和铝魔角旋转核磁共振(27Al MAS NMR)分析

考虑到在γ-Al2O3表面存在有不同酸/碱性的五种Al-OH(分别为Ia、Ib、IIa、IIb及III型Al-OH)(图S3, 见支持信息)[34], 且载体MA-450、MA-550和MA-650表面Al-OH物种相对含量与Pt分散度之间不存在正比例变化关系, 表明MA载体表面并非所有类型的Al-OH均能起到分散Pt的作用. 对此, 采用高真空in-situ FTIR表征技术对此三个MA载体表面Al-OH的类型及其相对含量进行了半定量比较.
图8a给出了代表性载体MA-450经高真空干燥处理前、后的FTIR谱图. 由该图可见, 在真空干燥处理前, 载体MA-450在1640 cm–1处显示出对应于水分子中羟基弯曲振动的特征吸收峰. 此时, 在3400~3800 cm–1范围内检测到的羟基伸缩振动峰, 可认为同时来自于MA-450表面上的羟基及表面物理吸附的水分子. 然而, 在对载体MA-450于300 ℃高真空状态下干燥处理3 h后, 其在1640 cm–1处的吸收峰基本消失, 表明存在MA-450表面物理吸附的水分子近乎完全脱除, 此时, 在3400~3800 cm–1范围内的吸收峰可认为完全来自于载体MA-450表面的Al-OH, 其总峰面积值可用于半定量判定样品中Al-OH的含量.
图8 载体MA-450高真空干燥处理前、后的FTIR谱图(a)及载体MA-450、MA-550和MA-650经高真空干燥处理后的FTIR谱图(b)

Figure 8 FTIR spectra of support MA-450 before and after evacuation under vacuum (a) and FTIR spectra of supports MA-450, MA-550, and MA-650 after evacuation under vacuum (b)

图8b为载体MA-450、MA-550和MA-650经高真空干燥处理3 h后的FTIR谱图. 由该图可见, 此三个载体表面羟基伸缩振动峰总峰面积随载体焙烧温度的升高而逐渐减小, 表明MA载体表面Al-OH含量随载体焙烧温度的升高而减小, 这与XPS表征结果相一致(图7表4). 此外, 载体MA-450在3650~3850 cm–1处和3400~3650 cm–1处显示出两个较宽且非对称的羟基吸收峰, 可分别归属于孤立的Al-OH (Ia型和Ib型Al-OH)和桥联Al-OH(包括IIa、IIb及III型Al-OH)[35-36]. 27Al MAS NMR表征结果(图9)证实, 在MA-450中, Al主要以六配位Al物种形式存在[37]. 由此可见, 存在于载体MA-450表面的孤立Al-OH主要为Ib型Al-OH.
图9 载体MA-450、MA-550和MA-650的27Al MAS NMR谱图

Figure 9 ²⁷Al NMR spectra of supports MA-450, MA-550 and MA-650

值得注意的是, 与载体MA-450相比, 在载体MA-550和MA-650的高真空in-situ FTIR谱图中, 孤立Al-OH吸收峰峰面积显著降低(特别是载体MA-650)(图8b), 并伴随着出峰位置向低波数方向偏移及桥联Al-OH吸收峰相对峰面积的增大. 此外, 27Al MAS NMR表征结果进一步证实, 随着焙烧温度的升高, MA载体中六配位铝物种逐渐向四配位和五配位铝物种转变(图9). 由此可知, 在更高温度焙烧过程中, MA载体孔壁表面Ib型Al-OH逐渐向IIa、IIb及III型Al-OH转变. 通过关联Pt活性组分在MA-T (T≥450 ℃)载体表面上的分散度随载体焙烧温度的变化(表2图5), 载体MA-T孔壁表面Ib型Al-OH可以合理地被认为是Pt活性组分的锚定位点, 其大量存在有利于Pt活性组分在MA-T载体表面上的高度均匀分散.

2.4 MA载体高分散金属Pt活性位点的作用机制

基于N2物理吸附-脱附、XRD、XPS、27Al MAS NMR及高真空in-situ FTIR表征结果, 结合Pt活性组分在不同MA载体表面上分散度的测试结果, 我们认为Pt前体(氯铂酸)分子与MA载体孔壁表面Ib型Al-OH间通过静电相互作用, 而被均匀分散于MA载体孔壁表面. 如图10所示, 在经传统浸渍法负载Pt活性组分过程中, MA载体孔壁表面具有碱性[38-39], 且大量存在的Ib型Al-OH首先与浸渍液中氯铂酸分子解离出的H+结合, 形成质子化的[Al-OH2]+物种; 随后, MA载体表面带正电的[Al-OH2]+物种与浸渍液中的[PtCl6]2–或[HPtCl6]阴离子间通过强静电相互作用将其吸附于MA孔壁表面, 此时, 吸附于MA载体孔壁表面上的[PtCl6]2–或[HPtCl6]阴离子间静电排斥作用可有效抑制其在MA载体表面上发生团聚; 然后, 依次通过焙烧热分解[PtCl6]2–或[HPtCl6]阴离子及H2还原处理, 最终实现金属Pt活性位点在MA载体孔壁表面上的均匀分散. 与其他MA载体相比, 载体MA-450具有更为优异的结构和织构性能及更为丰富的表面Ib型Al-OH含量, 因而更有利于Pt前体分子在其表面上的吸附与分散, 进而实现金属Pt活性位点以超小纳米团簇形式的高度均匀分散(图3).
图10 载体MA高分散Pt活性位点的作用机制示意图

Figure 10 Proposed mechanism for Pt active sites highly homogenously dispersing on the surface of support of MA

为对上述MA载体高分散Pt作用机制进行验证, 我们分别对经酸化处理后的MA-450及负载氯铂酸分子后但未焙烧处理的MA-450进行了高真空in-situ FTIR表征, 如图11所示. 由该图可见, 与样品MA-450相比, 经酸化处理所得样品Acidized MA-450, 其在3650~3850 cm–1处羟基伸缩振动峰消失, 并伴随着在3675 cm–1处一新峰的出现, 表明MA-450经酸化处理后, 其表面Ib型Al-OH的化学环境发生了改变. 鉴于Ib型Al-OH具有较强的碱性[29], 极易与H+结合, 因此, 在3675 cm–1处所出现的新峰可归属于质子化的[Al-OH2]+物种中羟基的伸缩振动峰. 值得注意的是, 负载氯铂酸分子但未经焙烧处理所得样品Uncalcined Pt/MA-450同样在3675 cm-1处显示出一较为明显的羟基振动峰, 且在3650~3850 cm–1处对应于孤立铝羟基的伸缩振动峰峰强度发生了显著降低. 由此可见, 载体MA-450在负载氯铂酸分子过程中, 其表面Ib型Al-OH首先发生质子化并生成带有正电性的[Al-OH2]+物种, 该物种可用于[PtCl6]2-或[HPtCl6]-阴离子的静电锚定及均匀分散.
图11 载体MA-450经酸化处理及负载氯铂酸分子前后的FTIR谱图

Figure 11 FTIR spectra of support MA-450 before and after acidizing treatment and loading chloroplatinic acid molecule

2.5 催化剂Pt/MA-450在MCH低温脱氢反应中的催化性能

负载型Pt基脱氢催化剂的催化稳定性和可重复使用性是决定其实际工业应用的重要因素, 对此, 选取催化剂Pt/MA-450为研究对象, 对其进行长达100 h的催化稳定性测试. 由图12可见, 在300 ℃和WHSV为23.7 h–1的反应条件下, 催化剂Pt/MA-450展现出较为优异的催化稳定性, 在经100 h反应后, MCH转化率仅有11.7%的降低, 析氢速率从初始的1371 mmol•gPt–1• min–1下降至1089 mmol•gPt–1•min–1. 值得注意的是, 经焙烧及氢气还原再生处理后, 催化剂Pt/MA-450仍能保持81.3%的初始活性, 即使再次经过100 h长时间反应后, 仍可实现将40.4%的MCH完全转化为TOL, 并显示出高达975 mmol•gPt–1•min–1的析氢速率. 催化剂Pt/MA-450极高的催化稳定性和可再生循环使用性能可归功于其载体MA-450发达的介孔孔道结构及优异的织构和表面性质, 其在稳定金属Pt活性位点和提高传质/传热效率有效抑制积碳形成方面起到重要作用.
图12 在300 ℃和WHSV为23.7 h–1的反应条件下, 催化剂Pt/MA-450再生前后的MCH转化率和析氢速率

Figure 12 MCH conversion and hydrogen evolution rate over fresh and regenerated catalyst Pt/MA-450 at 300 ℃ with a WHSV of 23.7 h–1

3 结论

选取经溶剂限域水解-聚合法制备得到的具有发达介孔孔道结构的MA为出发点, 借助焙烧温度的调控, 优化所得MA材料的晶相、织构及孔壁表面性质, 并将经不同温度焙烧后所得MA作为载体负载Pt (w=0.5%)用于MCH低温脱氢反应中. 研究表明, 经450 ℃最佳温度焙烧后, 所得载体MA-450因其具有γ-Al2O3晶相结构、更高的表面积和孔体积且孔壁表面富含Ib型Al-OH, 可实现金属Pt以超小纳米团簇形式的高度均匀分散, 致使所得催化剂Pt/MA-450在MCH低温脱氢反应中显示出较现有Pt基催化剂更为优异的催化性能. 例如, 在300 ℃反应条件下, 催化剂Pt/MA-450的TOF值和析氢速率分别高达8240 h–1和2112 mmol•gPt–1•min–1, 且在经长达100 h反应过程或再生循环使用过程中, 仍能保持80%以上的初始催化活性. 通过关联MA载体表面性质与Pt分散度间的变化关系, MA载体表面Ib型Al-OH与Pt前体(氯铂酸)分子间静电相互作用被认为是促使Pt活性组分在MA载体表面高度均匀分散的重要原因. 此外, MA载体发达的介孔孔道结构和优异的织构性质在提高Pt基催化剂传质/传热效率、增大MCH与Pt活性位点接触几率及有效抑制积碳形成等方面起到积极作用.

4 实验部分

4.1 催化剂的合成

采用溶剂限域水解-聚合法制备MA-A材料. 首先, 将8.16 g 异丙醇铝完全溶解于80 mL无水乙醇中. 随后, 在60 ℃强烈搅拌下, 以10 mL/min的滴加速率向异丙醇铝的无水乙醇溶液中逐滴滴加100 mL无水乙醇和去离子水的混合溶液(其中, 无水乙醇与去离子水的体积比为9∶1), 促使混合溶液中异丙醇铝分子发生限域水解-聚合反应. 在60 ℃强烈搅拌2 h后, 将所得澄清的反应溶胶转入培养皿中进行60 ℃的干燥处理, 时间为24 h.
将上述制备得到的MA-A样品分别在不同温度下进行焙烧处理, 时间为4 h, 并将所得样品记为MA-T, 其中, T表示焙烧温度.
选取样品MA-A和MA-T为载体, 采用传统浸渍法负载w=0.5%的Pt. 具体过程为: 首先, 称取1.0 g载体放入40 mL溶解有13.2 mg六水合氯铂酸的乙醇溶液中, 30 ℃下搅拌24 h. 随后, 将混合溶液转至培养皿中, 在60 ℃下干燥12 h. 最后, 将所得固体于500 ℃下空气中焙烧3 h. 根据所用载体的不同, 所得Pt基催化剂分别命名为Pt/MA-A和Pt/MA-T.

4.2 催化剂催化性能评价

采用固定床微反应器在常压下对所制备的Pt基催化剂进行MCH催化脱氢性能评价. 反应前, 将0.2 g催化剂置于石英反应管中部, 并在400 ℃下以20 mL/min的氢气还原处理, 时间为2 h. 在设定反应温度下, 将高纯氢气切换至高纯氮气(10 mL/min)后, 通过微量进样泵将不同体积流量的MCH引入反应器中, 开始反应. 反应产物采用配有DB-WAX毛细管柱和氢火焰离子化检测器的Agilent GC-8860气相色谱仪进行分析. 反应后的催化剂依次通过500 ℃空气焙烧3 h及400 ℃氢气还原2 h, 实现原位再生, 并再次用于MCH脱氢反应中, 以评价其催化稳定性和重复使用性.
(Zhao, C.)
[1]
Liu, M.; Yao, Z.-D.; Gu, J.; Li, C.; Huang, X.; Zhang, L.-T.; Huang, Z.-Y.; Fan, M.-Q. Chem. Eng. J. 2023, 461, 141918.

DOI

[2]
Kourougianni, F.; Arsalis, A.; Olympios, A.-V.; Yiasoumas, G.; Konstantinou, C.; Papanastasiou, P.; Georghiou, G. Renewable Energy 2024, 231, 120911.

DOI

[3]
Anand, C.; Chandraja, B.; Nithiya, P.; Akshaya, M.; Tamizhdurai, P.; Shoba, G.; Subramani, A.; Kumaran, R.; Yadav, K.-K.; Gacem, A.; Bhutto, J.-K.; Alreshidi, M.-A.; Alam, M.-W. Int. J. Hydrogen Energy 2025, 111, 319.

DOI

[4]
Hwang, J.; Maharjan, K.; Cho, H. Int. J. Hydrogen Energy 2023, 48, 28629.

DOI

[5]
Prieto, C.; Sánchez, A.; Martín, M. Int. J. Hydrogen Energy 2025, 135, 69.

DOI

[6]
Rullo, F.; Beier, C.-K.; Henseler, J.; Bösmann, A.; Preuster, P.; Wasserscheid, P.; Geißelbrecht, M. Int. J. Hydrogen Energy 2025, 98, 606.

DOI

[7]
Li, L.; Tang, J.-L.; Wang, L.-T.; Li, J.-T.; Quan, H.-L.; Lin, B.; Wang, H.; Li, J.-Q.; Zhou, T.-G. Acta Chim. Sinica 2024, 82, 748. (in Chinese)

DOI

(李雷, 唐鋆磊, 王丽涛, 李江涛, 全洪林, 林冰, 王宏, 李佳奇, 周太刚, 化学学报, 2024, 82, 748.)

DOI

[8]
Gao, J.-J.; Li, N.; Zhang, D.-Q.; Zhao, S.-L.; Zhao, Y. Int. J. Hydrogen Energy 2024, 85, 865.

DOI

[9]
Maqbool, M.-A.; Khan, J.; Hamayun, M.-H.; Ahmed, F.; Hussain, M. Energy Convers. Manage. 2023, 286, 117049.

DOI

[10]
Yue, Y.-F.; Liu, X.-H.; Shakouri, M.; Hu, Y.-F.; Guo, Y.; Wang, Y.-Q. Catal. Today 2024, 433, 114688.

DOI

[11]
Chen, C.-X.; Cao, J.-P.; Jiang, W.; Tang, W.; Zhang, C.; Yao, N.-Y.; Wang, H.-Y.; Zhao, X.-Y. Fuel 2024, 360, 130607.

DOI

[12]
Wu, Y.-Q.; Li, Y.-Y.; Yu, X.-B; Ma, X.-H.; Boebinger, M.; Weber, J.; Wu, Z.-L. Catal. Sci. Technol. 2024, 14, 1791.

DOI

[13]
Jang, M.; Choi, S.; Kim, Y.; Cha, J.; Kim, A. R.; Jeong, H.; Kim, Y.; Hee Choi, S.; Woo Nam, S.; Lim, J.; Won Yoon, C.; Sohn, H. Appl. Surf. Sci. 2023, 627, 157134.

DOI

[14]
Zhang, Q.; Wang, H.; Wang, S.; Wang, Y.-Y.; Zhang, M.; Song, H. Acta Chim. Sinica 2024, 82, 287. (in Chinese)

DOI

(张强, 王欢, 王帅, 王园园, 张梅, 宋华, 化学学报, 2024, 82, 287.)

DOI

[15]
Li, C.-X.; Yan, B.-B.; Pan, D.-H.; Yu, F.; Yan, X.-L.; Chen, S.-W.; Fan, B.-B.; Li, R.-F. Int. J. Hydrogen Energy 2024, 74, 297.

DOI

[16]
Han, L.; Pei, Q.-J.; Tan, K.-C.; Li, Z.; Liu, H.; He, T.; Chen, P. Int. J. Hydrogen Energy 2025, 102, 163.

DOI

[17]
He, Z.; Li, K.-L.; Chen, T.-X; Feng, Y.-C.; Villalobos-Portillo, E.; Marini, C.; Lo, T. W. B.; Yang, F.-Y.; Zhang, L.; Liu, L.-C. Nat. Commun. 2025, 16, 92.

DOI

[18]
Wu, K.-W.; Chen, F.-T.; Wang, F.; Huang, Y.-P.; Shen, Z-G.; Wang, W.-Y.; Yang, Y.-Q. Int. J. Hydrogen Energy 2021, 46, 25513.

DOI

[19]
Wu, X.; Lu, H.-Q.; Xiao, Y.; Guo, H.-Q.; Jia, L.-T.; Li, D.-B. Int. J. Hydrogen Energy 2022, 47, 34955.

DOI

[20]
Si, H.; Wang, S.-Y.; Ye, Y.-T.; Li, P. Int. J. Hydrogen Energy 2025, 126, 99.

DOI

[21]
Shi, W.; Oda, A.; Yamamoto, Y.; Harada, S.; Ohtsu, T.; Sawabe, K.; Satsuma, A. ACS Sustainable Chem. Eng. 2025, 13, 3608.

DOI

[22]
Chen, L.-N.; Verma, P.; Hou, K.-P.; Qi, Z.-Y.; Zhang, S.-C.; Liu, Y.-S.; Guo, J.-H.; Stavila, V.; Allendorf, M.-D.; Zheng, L.-S.; Salmeron, M.; Prendergast, D.; Somorjai, G.-A.; Su, J. Nat. Commun. 2022, 13, 1092.

DOI

[23]
Ma, Z.-X.; Yang, Y.-J.; Song, Z.-Y.; Mei, X.-P.; Gao, X.-F.; Huang, Y.-K.; Zhang, Z.-G.; Yao, S.-Y. Fuel 2024, 378, 132851.

DOI

[24]
Chen, J. H.; Jiang, L.; Zeng, Y.; Xie, S. M.; Pei, Y.; Qiao, M. H. Acta Chim. Sinica 2025, 83, 332. (in Chinese)

DOI

(陈建华, 姜兰, 曾杨, 谢颂海, 裴燕, 乔明华, 化学学报, 2025, 83, 332.)

DOI

[25]
Yao, J.; Xu, Z.; Cheng, S.; Yue, Y.; Zhu, H. Chem. Eng. J. 2024, 491, 152100.

DOI

[26]
Ding, X.-M.; Liang, Y.-L.; Zhang, H.-L.; Zhao, M.; Wang, J.-L.; Chen, Y.-Q. Acta Phys.-Chim. Sin. 2022, 38, 76. (in Chinese)

(丁心湄, 梁艳丽, 张海龙, 赵明, 王健礼, 陈耀强, 物理化学学报, 2022, 38, 76.)

[27]
Wang, S.; Song, H. Acta Chim. Sinica 2024, 82, 979. (in Chinese)

DOI

(王帅, 宋华, 化学学报, 2024, 82, 979.)

DOI

[28]
Zhao, H.; Li, B.-Y.; Jiang, Z.-L.; Wang, K.; Wang, X.-T. Mol. Catal. 2023, 535, 112817.

[29]
Lagauche, M.; Larmier, K.; Jolimaitre, E.; Barthelet, K.; Chizallet, C.; Favergeon, L.; Pijolat, M. J. Phys. Chem. C 2017, 121, 16770.

DOI

[30]
Mawhinney, D.-B.; Rossin, J.-A.; Gerhart, K.; Yates, J.-T. Langmuir 2000, 16, 2237.

DOI

[31]
Shi, L.-B.; Zhou, Y.-M.; Qi, S.-T.; Smith, K. -J.; Tan, X.; Yan, J.-W.; Yi, C.-H. ACS Catal. 2020, 10, 10661.

DOI

[32]
Fang, Z.-B.; Rehman, S.-u.; Sun, M.-Z.; Yuan, Y.-P.; Jin, S.-W.; Bi, H. J. Mater. Chem. A 2018, 6, 21131.

DOI

[33]
Xu, T.; Jiang, M.-H.; Mao, X.-H.; Sher, F.; Ren, T.-L.; Xin, K.; Hussain, I.; Hua, H.-L.; Wang, X. Appl. Catal., B 2025, 372, 125321.

DOI

[34]
Rinaldi, R.; Fujiwara, F. Y.; Hölderich, W.; Schuchardt, U. J. Catal. 2006, 244, 92.

DOI

[35]
Wang, J.-Y.; Wang, C.-Y.; Chen, X.-D.; Liu, X.-F.; Li, Y.-B.; Shan, W.-P.; He, H. Appl. Catal., B 2024, 357, 124342.

DOI

[36]
Zhang, Z.-L.; He, G.-Z.; Li, Y.-B.; Zhang, C.-B.; Ma, J.-Z.; He, H. Environ. Sci. Technol. 2022, 56, 10916.

DOI

[37]
Kim, S.-M.; Armutlulu, A.; Liao, W.-C.; Hosseini, D.; Stoian, D.; Chen, Z.-X.; Abdala, P.-M.; Copéret, C.; Müller, C. Catal. Sci. Technol. 2021, 11, 7563.

DOI

[38]
Lee, D.-H.; Song, Y.-H.; Jang, S.; Lee, J. J. Environ. Chem. Eng. 2025, 13, 115407.

DOI

[39]
Busca, G. Catal. Today 2014, 226, 2.

DOI

Outlines

/