Article

Hydrotalcite-Confined Ni Nanoparticles Catalyzed Efficient Hydrogen Storage of N-Methylindole

  • Quan Honglin a ,
  • Tang Junlei a ,
  • Zhang Chengzhi a ,
  • Zhang Hengyi a ,
  • Li Jiaqi , b, * ,
  • Zhou Taigang , a, c, *
Expand
  • a College of Chemistry and Chemical Engineering, Southwest Petroleum University, Chengdu 610500
  • b College of Science, China Agricultural University, Beijing 100193
  • c Tianfu Yongxing Laboratory, Chengdu, 610217
*E-mail: ;

Received date: 2025-06-19

  Online published: 2025-08-14

Supported by

Tianfu Yongxing Laboratory Organized Research Project Funding(2023KJGG10)

Science and Technology Project of Southwest Petroleum University(2021JBGS07)

Abstract

The advancement of non-noble metal catalysts holds immense importance for the broad industrial use of organic liquid hydrogen storage. In this study, NiaAlb-layered double hydroxides (LDHs) were synthesized via co-precipitation method. Typically, a mixed solution of 100 mL Ni(NO3)2•6H2O and Al(NO3)3•9H2O was dropped into 100 mL Na2CO3 solution under vigorous stirring. The precipitation was carried out at room temperature, to achieve the desired pH value, a 3 mol/L NaOH solution was added to maintain the solution pH between 10±0.5. The resultant green precipitate underwent centrifugation and washing until nearly neutral, followed by drying for an extended period at 110 ℃. Thereafter, the sample was subjected to reduction at different temperatures for a duration of 2 h, with a meticulously controlled heating rate of 2.5 ℃/min. Finally, the influence of the Ni/Al ratio and reduction temperature on the catalytic activity was examined. The catalyst obtained by reducing NiAl-LDH at 450 ℃ (Ni2Al1-re450) exhibited the highest activity among the catalyst samples examined. Structural and compositional analyses of the catalyst were carried out using X-ray diffraction (XRD), X-ray photoelectron spectroscopy (XPS), inductively coupled plasma optical emission spectrometry (ICP-OES), and N2 physisorption analysis (BET). The results indicated that the high hydrogenation activity of Ni2Al1-re450 was attributed to its larger specific surface area and smaller nickel particle size. Under the optimized reaction conditions (150 ℃, 6 MPa H2, 2 h), the catalyst achieved a 100% conversion rate of NMID and a yield of 8H-NMID of 96.06% in a batch reactor, surpassing the commercial 0.5%Ru/Al2O3 hydrogenation catalyst. The hydrogenation reaction rate of NMID was positively correlated with temperature, with an apparent activation energy of 61.25 kJ/mol and a turnover frequency (TOF) of 52.62 h-1. Moreover, Ni2Al1-re450 was continuously operated for 100 h in a micro packed-bed reactor under reaction conditions of 180 ℃ and 6 MPa. The results showed that the NMID conversion rate remained stable between 97%~100%, the selectivity for 8H-NMID was 97%~100%, and the hydrogen storage capacity was 5.55% (w)~5.76% (w).

Cite this article

Quan Honglin , Tang Junlei , Zhang Chengzhi , Zhang Hengyi , Li Jiaqi , Zhou Taigang . Hydrotalcite-Confined Ni Nanoparticles Catalyzed Efficient Hydrogen Storage of N-Methylindole[J]. Acta Chimica Sinica, 2025 , 83(11) : 1340 -1348 . DOI: 10.6023/A25060229

1 引言

随着温室气体的过量排放, 全球变暖趋势日益严峻. 为积极应对气候变化, 实现碳达峰、碳中和目标, 必须大力、广泛地利用可再生能源, 逐步替代传统的化石能源. 长期以来, 氢气被认为是理想的清洁能源载体[1-3]. 然而, 氢气的储存和运输一直面临着成本高昂和难以大规模实施的困境, 这严重制约了氢能的大规模应用. 在这种情况下, 与传统的高压气态储氢和低温液态储氢技术相比, 有机液体储氢技术(LOHC)具有安全性好、储氢密度高、容器成本低、兼容目前石油基础设施和循环可逆性好的优势而受到广泛关注[4-10]. 早期的LOHC研究主要集中在苯、萘和甲苯等芳香烃化合物. 这些化合物的储氢密度高, 但脱氢温度通常超过250 ℃. 后续研究表明, 引入氮原子可以有效降低脱氢温度, 从而提高释放氢气的纯度[11-13]. 在此基础上, 科研人员开发了一系列具有高储氢密度的含氮LOHCs, 如N-乙基咔唑(NEC)[14]N-丙基咔唑(NPC)[15]、2-甲基吲哚(2-MID)[16]N-甲基吲哚[17]、4-甲基吲哚(4-MID)[18]、1,2-二甲基吲哚(1,2-DMID)[19]、2,3-二甲基吲哚(2,3-DMID)[20]、7-乙基吲哚(7-EID)[21]N-乙基吲哚(NEID)[22]、2,5-二甲基吲哚(2,5-DMID)[23]和吡啶[24].
氮甲基吲哚(NMID)与NEC(熔点: 68~70 ℃)或其他固体吲哚基LOHC相比, 具有加氢前后均是液态储氢载体的优势. 这使其无需使用溶剂便可与目前的加油站基础设施兼容. 这些特性使NMID成为LOHC应用中极具潜力的储氢载体. 因此对NMID加脱氢受到广泛关注, 程国娥等[25]使用商用5% (w) Ru/Al2O3在130 ℃和6 MPa下, 4 h实现NMID的完全氢化, 此外, 他们还利用5% (w) Pd/Al2O3, 在180 ℃下经过6 h实现8H-NMID的完全脱氢, 脱氢表观活化能为122.99 kJ/mol. Han 等[17]在基于NMID的LOHC体系中研究了层状分级钛酸盐纳米片负载Pd催化剂的加氢和脱氢性能, 层状钛酸盐纳米片负载Pd催化剂(Pd/HTN)在150 ℃, 3 h条件下, 实现了5.65% (w)的储氢量, 在170 ℃, 8 h的脱氢条件下, 实现了5.46% (w)的释氢量. 但上述研究均是使用贵金属催化剂, 钌、钯在NMID (8H-NMID)的加(脱)氢具有最优的性能[17,25], 然而, 贵金属的稀缺性及过高的经济成本严重不利于LOHC大规模应用. 目前尚未见关于非贵金属催化剂在NMID加氢反应中的相关报道. 因此, 开发高效的非贵金属催化剂以实现NMID加氢为8H-NMID, 对于推动LOHC技术的广泛应用具有重要的科学意义和实际价值.
水滑石具有高表面积、可调孔结构、优良的热稳定性和酸碱性质, 其在众多工业化学反应中已得到广泛应用[26-27]. 当对水滑石前驱体进行焙烧时, 晶格限域效应能够很好地抑制活性金属原子的迁移和聚集, 从而获得活性位分散稳定的复合金属氧化物及负载型金属催化材料[28-32]. 课题组[33]之前报道了Ni1.5Zn1.5Al1合成氮甲基吲哚, 在此基础上本论文以Ni-Al水滑石衍生的镍催化剂, 在无溶剂条件下于间歇式反应釜中研究了氮甲基吲哚的加氢反应, 分析了不同镍铝比、不同还原温度对其催化性能的影响. 在确定了用于NMID加氢的最优催化剂后, 采用单因素法确定了NMID完全氢化所需的反应条件, 计算了加氢过程中的吸附能. 值得一提的是, 在相同加氢条件下, Ni2Al1-re450催化剂的加氢活性优于0.5%Ru/Al2O3. 最后, 研究了微填充床反应器中温度和液体流量对加氢反应的影响, 并对加氢体系的稳定性进行了评估.

2 结果与讨论

2.1 催化剂表征

图1显示了还原前不同Ni和Al比例(Ni1Al2, Ni2Al1, Ni3Al1, Ni4Al1)的水滑石催化剂前驱体的X射线衍射(XRD)图谱. Ni2Al1-LDH表现出对应于NiaAlb-LDH的衍射峰(PDF#15-0087). 然而, 在 Ni1Al2、Ni1Al1图谱中, 没有发现NiAl-LDH的衍射峰, 但观察到了NiAl(OH)x的峰(PDF#22-0452). 因此, 在此制备条件下, NiAl-LDH只能在Ni/Al≥2时合成.
图1 NiaAlb-LDH的XRD图谱

Figure 1 XRD patterns of NiaAlb-LDH catalysts

催化剂通过共沉淀法合成(图2(a)). Ni2Al1-re450的TEM图像如图2(b)所示, 镍纳米颗粒在催化剂中无明显团聚, 平均粒径为5.5 nm.
图2 (a) NiaAlb-LDH合成示意图; (b) Ni2Al1-re450的TEM图像

Figure 2 (a) A schematic diagram of NiaAlb-LDH synthesis; (b) TEM images of Ni2Al1-re450

为了探究NiaAlb-T催化剂的比表面积和孔径的性质,氮气吸脱附测试如图3(a)、3(b)所示, 根据国际纯粹与应用化学联合会(IUPAC)的分类, 所制备的镍催化剂均呈现出IV型吸附等温线以及H₂型回滞环. 这表明所有催化剂均为介孔材料. 这是因为NiAl-LDHs 前驱体在高温下煅烧时, OH和H2O会被除去, 水滑石层间阴离子CO32-以CO2的形式逸出, 导致NiAl-LDHs层状结构坍塌, 从而形成介孔结构. 由表1 (Entries 1~4)可以发现, 随着Ni/Al物质的量比的增加, 催化剂比表面积由135 m2/g降低到68 m2/g, 这是由于Ni含量的上升, 催化剂的孔道遭受堵塞, 从而使得催化剂的比表面积急剧下降. 由表1 (Entries 3, 5~7)可以发现, 随着NiAl-LDH焙烧温度升高, 催化剂比表面积与孔体积呈下降趋势, 这是由于高温导致LDHs层状结构坍塌, 进而造成部分孔隙堵塞. 利用电感耦合等离子体发射光谱(ICP-OES)测定Ni2Al1-re450中镍的含量如表1所示, 为53.28%.
图3 (a) N2吸附-脱附等温线; (b)所有样品的孔径分布; (c) Ni2Al1-re450的CO-TPD图谱; (d) Ni1Al2-re450, Ni1Al1-re450, Ni2Al1-re450和Ni3Al1-re450的XPS图谱

Figure 3 (a) N2 adsorption-desorption isotherm; (b) pore size distribution of all samples; (c) CO-TPD spectra of Ni2Al1-re450; (d) XPS Spectra of Ni1Al2-re450, Ni1Al1-re450, Ni2Al1-re450 and Ni3Al1-re450

表1 制备的催化剂样品的规格

Table 1 Specifications of the prepared catalyst samples

Entry Catalyst SBETa/(m2•g-1) Vporeb/(cm3•g-1) Dporec/nm wNid/% Dse
1 Ni1Al2-re450 135 0.14 3.8
2 Ni1Al1-re450 64 0.07 3.8
3 Ni2Al1-re450 142 0.28 5.3 53.28 0.5568
4 Ni3Al1-re450 68 0.21 9.6
5 Ni2Al1-re350 189 0.32 4.3
6 Ni2Al1-re550 130 0.27 6.5
7 Ni2Al1-re650 101 0.28 7.8

a Specific surface area. b Mean pore radius. c Pore volume. d Ni contents analyzed by ICP-OES. e The dispersion of nickel metal was calculated by CO-TPD.

为了探究Ni2Al1-re450催化剂表面的CO吸附位点的性质, 对材料进行了一氧化碳-程序升温脱附(CO-TPD)表征测试, 结果如图3(c)所示. 图中明显观察到, 在309, 545, 759 ℃处分别有明显的CO脱附峰, 这对应于材料中不同的活性物种, 其中, 材料中存在Ni0、Ni-Al位点. 低温(309 ℃)下CO脱附峰对应的为电子密度较强的Ni0位点, 在150 ℃(催化加氢的反应温度)时就已表现出一定的CO脱附, 说明Ni0位点能够促进产物的脱附. 中高温(545 ℃)下CO脱附峰对应的为电子键合能力较强的Ni-Al位点, Ni-Al界面能够以较强的结合能力使得Ni位点在较高温度下才能进行脱附. 此外, 高温(759 ℃)下CO脱附峰对应的可能为非表面的Ni-Al位点, 由于孔道或其他因素限制, 导致难以进行CO脱附, 同时计算出镍金属分散度如表1所示为0.5568. 根据分散度计算Ni2Al1-re450的转化频率(TOF)为52.62 h⁻¹.
采用X射线光电子能谱(XPS)技术测定了Ni1Al2-re450, Ni1Al1-re450, Ni2Al1-re450和Ni3Al1-re450催化剂表面镍元素的价态. 如图3(d)所示, 催化剂表面检测出Ni的两种价态, Ni2+的存在可能是由于纳米级Ni0在空气中的快速氧化或未被完全还原的Ni0物种[34]. 此外, 经过计算得出Ni2Al1-re450 表面的Ni0组分占Ni物种47.80%, 高于Ni3Al1-re450表面Ni0比例, Ni1Al2-re450和Ni1Al1-re450表面的Ni0组分虽然较高, 但其未形成水滑石, 热稳定性较差导致表面镍团聚, 从而降低催化效果.

2.2 间歇式反应釜中氮甲基吲哚加氢研究

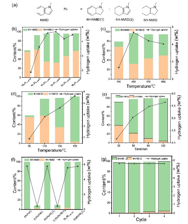
利用共沉淀法合成了几类不同镍铝比的水滑石催化剂, 并在不同温度下还原(Ni1Al2-re450, Ni1Al1-re450, Ni2Al1-re450, Ni4Al1-re450, Ni2Al1-re550, Ni2Al1-re650), 随后在130 ℃的NMID加氢反应中, 使用6 MPa H2、反应时间为2 h, 对镍铝水滑石衍生催化剂在NMID反应中的性能进行了评价. 如图4(b)所示, 比较不同Ni/Al比的催化剂在450 ℃还原后的结果(Ni1Al2-re450, Ni1Al1-re450, Ni2Al1-re450, Ni3Al1-re450和Ni4Al1-re450). 当使用Ni1Al3-re450时, 转化率为59.59%, 而获得的8H-NMID产率为3.63%, 明显低于其它催化剂, Ni1Al1-re450, Ni1Al2-re450, Ni2Al1-re450, Ni3Al1-re450和Ni4Al1-re450催化剂的NMID转化率均在90%以上, 分别为92.72%, 96.64%, 97.20%, 95.65%和96.26%. 其中, Ni2Al1-re450催化剂的8H-NMID产率明显优于其它催化剂, 达到了64.82%, 且其储氢量为4.69% (w). 筛选了镍铝比后, 进一步探讨了还原温度的影响. 如图4(c)所示, 将Ni2Al1-LDH还原温度从350 ℃升到450 ℃, 加氢活性升高, NMID储氢量上升. 还原温度从450 ℃升高到650 ℃, NMID转化率变化不大, 但8H-NMID产率明显下降导致储氢量下降.
图4 (a) NMID氢化产物; (b)不同Ni/Al物质的量比; (c)不同还原温度; (d)不同反应温度; (e)反应时间对Ni2Al1-re450催化加氢NMID的影响; (f)与贵金属催化剂对比; (g)循环实验

Figure 4 (a) NMID hydrogenation products; (b) effect of different Ni/Al molar ratios; (c) effect of different reduction temperatures; (d) effect of different reaction temperatures; (e) effect of reaction time on Ni2Al1-re450 hydrogenation NMID; (f) comparison with noble metal catalysts; (g) cycle experiment; (reaction conditions: 0.2 g NMID, 20 mg catalyst)

以Ni2Al1-re450为催化剂, 在反应时间和初始H2压力分别为2 h和6 MPa的情况下, 研究了反应温度的影响. 结果如图4(d)所示, 随着温度的升高, 4H-NMID逐渐转化为8H-NMID, 储氢量逐渐上升.
在150 ℃、6 MPa的条件下, 考察反应时间的影响. 结果如图4(e)所示. 当反应时间为0.5 h时, NMID已基本完全转化, 但仍有部分4H-NMID未转化为8H-NMID. 随着反应时间延长, 8H-NMID的产率逐渐增加, 最终达到96.06%. 同时在6 MPa, 100, 110, 130 ℃, 也研究了加氢过程的产物分布. 如图5(d)、5(e)、5(f)所示, 这一过程表明, 原料转化为4H-NMID较为迅速, 而4H-NMID进一步氢化为8H-NMID的速率较慢.
图5 (a) ln(1-x)和反应时间之间的关系; (b) ln k和(1/T)之间的关系; (c)热过滤实验; (d), (e), (f) NMID在Ni2Al1-re450催化剂上的产物分布(100 ℃, 110 ℃, 130 ℃, 6 MPa H2). 反应条件: 0.2 g NMID, 20 mg催化剂

Figure 5 (a) Relationship between ln(1-x) and reaction time; (b) relationship between ln k and 1/T; (c) thermal filtration experiment; (d), (e), (f) product distribution over Ni2Al1-re450 catalyst at various temperatures (100 ℃, 110 ℃, 130 ℃, 6 MPa H2). Reaction conditions: 0.2 g NMID, 20 mg catalyst

在确定了催化剂种类、还原温度、反应温度、反应时间等反应条件后, 进一步对比了催化剂与商用贵金属催化剂. 结果如图4(f)所示, 当反应条件为6 MPa, 150 ℃, 2 h, 使用商用的5%Pd/Al2O3, 5%Pd/C, 5%Ru/Al2O3均能使NMID完全转化为8H-NMID, 但使用商用的0.5%Pd/C, 0.5%Ru/Al2O3催化剂仅有6.35%, 6.72%的8H-NMID产率. 低于制备的Ni2Al1-re450催化剂. 保持NMID和Ni2Al1-re450的质量恒定. 将ln(1-x)与不同温度下的反应时间作图(x代表NMID的转化率), 结果如图5(a)所示证实了一级反应. 随着反应温度从80 ℃升高到100 ℃, 速率常数(k)从0.0038增加到0.0096 min-1. 通过将 lnk与1/T作图, 如图5(b)所示, 计算出 Ni2Al1-re450上NMID氢化反应的活化能(Ea)为61.25 kJ/mol.
通过热过滤实验和循环实验进一步考察 Ni2Al1-re450的稳定性. 如图5(c)所示, 将热滤液在130 ℃下反应180 min, Ni2Al1-re450滤液催化NMID反应的最终产率不随时间改变, 证明Ni NPs不会从载体上脱落. 在150 ℃、6 MPa的条件下, 反应2 h, 催化剂循环四次, 结果如图4(g)所示, 8H-NMID产率为96.4%, 95.81%, 95.92%, 95.79%, 储氢量为5.65% (w), 5.64% (w), 5.64% (w)和5.64% (w), 从图中(支持信息, 图S1)也可以看出催化剂经4次循环后结构并未发生改变, 表明Ni2Al1-re450具有较好的稳定性.

2.3 微填充床反应器中氮甲基吲哚连续加氢研究

基于微填充床反应器的连续加氢系统示意图如图6(a). 连续流动技术凭借其精准的过程控制、高效的反应器放大能力和显著提升的安全性, 成为克服间歇式反应釜加氢反应低效与风险问题的最优选择[6]. 因此, 我们基于微填充床反应器, 在6 MPa, NMID流速0.4 mL/min, H2流速100 mL/min下, 考察了温度对加氢反应的影响. 如图6(b)所示, 随着反应温度从130 ℃升高到180 ℃, 反应速率加快, 对8H-NMID从4.98%的选择性提高到25.15%. 温度从180 ℃升高到200 ℃, 转化率和选择性变化不大, 由于NMID的加氢是放热反应, 故高温不利于反应的进行. 因此, 后续实验在180 ℃下进行, 以探讨其他参数的影响.
图6 (a)微填充床加氢NMID示意图; (b)反应温度对NMID连续加氢的影响(反应条件: 催化剂装填量: 6 g Ni2Al1-re450, 系统压力: 6 MPa; 气体流速: 100 mL/min; 液体流速: 0.4 mL/min); (c)液体流速对NMID的影响(反应条件: 催化剂装填量: 6 g Ni2Al1-re450; 系统压力: 6 MPa; 气体流速: 100 mL/min; 反应温度: 180 ℃). (d), (e) Ni2Al1- re450上NMID加氢的长期稳定性测试(反应条件: 反应温度: 180 ℃; 液体流速: 0.05 mL/min; 系统压力: 6 MPa; 气体流速: 100 mL/min; 装入催化剂量: 6 g Ni2Al1-re450)

Figure 6 (a) Schematic diagram of hydrogenation NMID in Micro-packed bed reactor; (b) effect of reaction temperature on NMID continuous hydrogenation (reaction conditions: catalyst loading: 6 g Ni2Al1-re450; system pressure: 6 MPa; gas flow rate: 100 mL/min; liquid flow rate: 0.4 mL/min); (c) effect of liquid flow rate on NMID (reaction conditions: catalyst loading: 6 g Ni2Al1-re450; system pressure: 6 MPa; gas flow rate: 100 mL/min; reaction temperature: 180 ℃); (d), (e) long-term stability test for NMID hydrogenation over Ni2Al1-re450 (reaction conditions: reaction temperature: 180 ℃; gas flow rate: 100 mL/min; system pressure: 6 MPa; liquid flow rate: 0.05 mL/min; catalyst loading: 6 g Ni2Al1-re450)

NMID的流速会影响停留时间, 从而显著影响8H-NMID的反应速率和选择性, 如图6(c)所示, 随着流速从0.4 mL/min降低到0.05 mL/min, 4H-NMID的产率先上升后下降, 对8H-NMID的选择性从25.15%提高到97.99%, 基本实现全氢化.
最后, 在微填充床反应器中对NMID连续加氢100 h以评价催化剂的稳定性. 从图6(d), 6(e)可以看出, 在运行的100 h内, NMID转化率保持97%以上, 8H-NMID产率高于97%, 储氢量高于5.5% (w), 这可以满足能源部的要求(DOE, 2025)[35]. 结果表明, NMID的连续流加氢体系在至少100 h内表现出优异的催化活性和优异的稳定性. 为了进一步验证Ni NPs是否从载体脱落, 采用ICP-OES对流出液体进行两次取样测试如支持信息表S3所示产物中镍的含量分别为0.035 mg/kg和0.042 mg/kg. 目前, 我们仍在继续更长周期的实验, 以进一步深入探究该体系的性能表现.

2.4 DFT计算

根据吸附能方程比较了NMID及其氢化产物在镍氧化铝表面上的吸附构型, 文献表明, 平躺吸附结构是最稳定的[36-37]. 2H-NMID在镍氧化铝表面上的吸附是通过与苯环上的甲基相连的C原子与镍氧化铝之间的相互作用实现的, 如支持信息表S2所示, 最短原子间距离为0.1485 nm, 其分子吸附能为-265.27 kJ/mol. 对于4H-NMID, 其吡咯环上的C原子与最近的Ni氧化铝表面原子之间的相互作用发生在0.2070 nm的距离处, 分子吸附能为-235.81 kJ/mol. 由于2H-NMID 在镍氧化铝表面吸附时具有较短的原子间距离和较小的分子吸附能, 因此其吸附状态更稳定. 这也导致从2H-NMID到4H-NMID的转换比从4H-NMID到8H-NMID的转换更快, 这与实验结果一致.

3 结论

在本研究中, 通过共沉淀法结合H₂还原法成功合成了一系列不同组成的镍基催化剂, 并将其应用于间歇反应釜中对NMID的氢化反应. 实验结果表明, 当Ni与Al的物质的量比为2时, 所制备的Ni₂Al₁-re450催化剂在所有测试催化剂中展现出最高的催化活性. 在150 ℃, 6 MPa H₂, 2 h的条件下, NMID实现了完全转化, 储氢量达到5.64% (w). 该催化剂在经过4次循环后, 其加氢效果未出现明显衰减, 表现出良好的稳定性和可重复使用性. 进一步地, 在微填充床反应器中对NMID进行连续加氢测试时, 该催化剂在运行100 h后, 储氢量稳定在5.55% (w)~5.76% (w), 验证了其在连续加氢过程中的高效性和稳定性. 这些结果表明, Ni₂Al₁-re450催化剂在NMID氢化反应中具有显著的应用潜力.

4 实验部分

4.1 催化剂制备

通过共沉淀法合成 NiaAlb-LDHs. 通常, 在剧烈搅拌下将100 mL Ni(NO3)2•6H2O和Al(NO3)3•9H2O的混合溶液滴入100 mL Na2CO3溶液中. 沉淀在室温下进行, 加入3 mol/L NaOH溶液, 将溶液pH值保持在10±0.5之间. 将所得绿色沉淀物离心、洗涤至接近中性后, 在110 ℃下干燥过夜. 随后, 将样品在不同温度下还原2 h. 升温速率为2.5 ℃/min, 获得的Ni催化剂被描述为NiaAlb-T, 其中a/b是Ni/Al物质的量比, T指NiaAlb-LDHs的还原温度(T=350, 450, 550, 650 ℃).

4.2 催化剂表征

运用布鲁克 D8 Advance X射线衍射仪(配备Cu靶Kα射线, 波长λ=0.15406 nm)对NiaAlb-LDHs的内部结构及结晶度开展表征工作, 在角度2θ介于10°~80°的范围内, 以10 (°)/min的扫描速率进行, 同时设定扫描电压为40 kV、扫描电流为40 mA. 借助赛默飞Nexsa X射线光电子能谱仪, 对催化剂中镍元素价态及其化学环境的分析. 采用安捷伦725-ES型电感耦合等离子体发射光谱仪(ICP-OES), 对Ni₂Al₁-re450和反应液中的镍含量进行测定, 测定前将样品经王水消解处理. 利用麦克默瑞克ASAP 2460比表面积与孔径分析仪(全孔模式)来测定催化剂的比表面积以及孔径分布情况. 通过FEI Talos F200X型透射电子显微镜, 观察 Ni₂Al₁-re450的内部结构和元素分布状况, 测试前把样品用乙醇稀释并超声30 min.

4.3 间歇式反应釜中氮甲基吲哚加氢性能测试

氢化反应在高压反应釜中进行, 将20 mg的催化剂和0.2 g的NMID放入反应管中, 将反应管放入反应釜, 密封. 通过依次充放N2、H2三次来替换反应器中的空气. 然后将反应器加热到所需的温度后加压至目标氢气压力. 设定反应时间. 反应结束后, 使用气相色谱仪(GC2030 Nexis)分析产品成分.
Ni分散度(Ds)、储氢量、TOF计算公式如下:

Ds=(Y×M×F)/W

Hydrogen uptake% (w)=(4MH2/M8H-NMI)Y8H-NMID
+(2MH2/M4H-NMIDY4H-NMID

TOF=nNMID×MNi/(nNi×Ds×t)

其中Y为CO吸附量; M为Ni的相对原子质量, 取58.69; F为Ni和CO的化学计量比(F取1), W为催化剂金属负载量. M4H-NNID, M8H-NMIDMH2分别代表4H-NNID, 8H-NMID和H2的相对分子质量; Y4H-NMIDY8H-NMID分别代表4H-NMID和8H-NMID的收率, 数据由气相色谱所得. Ds是Ni在催化剂中的分散度; nNMIDnNi分别是氮甲基吲哚和Ni的摩尔数; MNi是镍元素的摩尔质量.

4.4 微填充床氮甲基吲哚连续加氢性能测试

由于NMID在环境温度下是液体, 液体底物直接通过柱塞泵注入系统, 并在进入反应器之前在微混合器中与气体预混合. 气体流速由流量控制器控制. 微填充床反应器(长度: 185 mm, 内径: 8.3 mm, 外径: 18 mm)填充了6 g(体积: 7 mL)用于NMID加氢的Ni2Al1-re450催化剂. 反应器温度由电加热夹套控制, 而系统的压力由背压阀控制, 调节为6 MPa. 微填充床反应器最初用氮气吹扫, 然后将系统压力升到所需压力且电加热套温度达到设定值时, 以需要的液体流量进料. 在运行至系统达到稳定状态后, 并收集样品进行分析. 结束后, 关闭加热, 泄压, 并将催化剂储存在氮气气氛中以防止氧化.

4.5 循环试验

收集反应完的样品并根据以下程序进行再生: 过滤, 用乙酸乙酯洗涤, 在80 ℃下干燥, 在400 ℃, 100 mL/min的H2流量中下还原10 min. 然后, 再生后的催化剂被用于评估催化剂稳定性.

4.6 DFT计算

本计算均采用Materials Studio 2020软件中的CASTEP (Cambridge Serial Total Energy Package)模块. 电子之间交换关联函数选择广义梯度近似(GGA)下的PBE (Perdew-Burke-Ernzerhof)泛函, 采用自洽场方法(SCF)求解Kohn-Sham方程. 其中自洽场能量的收敛值为1.0×10-6 eV/atom. 体系总能量误差在1.0×10-7 eV/atom以内, 应力偏差小于0.02 GPa, 原子受力的收敛判据为0.01 eV/Å, 布里渊区k点取样采用Monkhorst-Pack网格, 计算时k点选取9×9×2, 平面波基矢的截断能为440 eV. 采用超软赝势来描述离子核与价电子之间的相互作用. 为保证计算结果的准确性, 先对各晶胞的结构进行优化, 同时优化晶胞参数和原子坐标. 基于优化后的表面模型, 构建界面模型, 对界面模型再次优化并计算相关性质.
(Lu, Y.)
[1]
Peraldo Bicelli L. Int. J. Hydrog. Energ. 1986, 11, 555.

DOI

[2]
Schlapbach L.; Züttel A. Natur. 2001, 414, 353.

DOI

[3]
Zou Y.-Q.; von Wolff N.; Anaby A.; Xie Y.; Milstein D. Nat. Catal. 2019, 2, 415.

DOI

[4]
Kim T. W.; Kim M.; Kim S. K.; Choi Y. N.; Jung M.; Oh H.; Suh Y.-W. Appl. Catal. B-Environ. Energ. 2021, 286, 119889.

[5]
Gianotti E.; Taillades-Jacquin M.; Rozière J.; Jones D. J. ACS Catal. 2018, 8, 4660.

DOI

[6]
Fan Y.; Wang P.; Zhang J.; Huang M.; Liu W.; Xu Y.; Duan X.; Li Y.; Zhang J. Chem. Eng. J. 2024, 484, 149404.

DOI

[7]
Zhang X.-Q.; Qi Y.-Q.; Liu H.; Wang J.-Y.; Xie L.-Y.; Shi J.-L.; Wang F.; Liu Y.-L.; Wang Z.-X.; Guo A.-J. Chem. Eng. J. 2024, 498, 155203.

DOI

[8]
Jeong H.; Kim T. W.; Kim M.; Han G. B.; Jeong B.; Suh Y.-W. ACS Sustain. Chem. Eng. 2022, 10, 15550.

DOI

[9]
Zhao Y.; Li C.; Zhu Y.; Liu L.; Zhu T.; Dong Y.; Cheng H.; Yang M. Appl. Catal. B-Environ. Energy. 2023, 334, 122792.

[10]
Rao P. C.; Kim Y.; Kim H.; Son Y.; Choi Y.; Na K.; Yoon M. ACS Sustain. Chem. Eng. 2023, 11, 12656.

DOI

[11]
Lee Y.-G.; Shin D. Y.; Yoon C. W.; Lim D.-H. Appl. Surf. Sci. 2023, 641, 158471.

DOI

[12]
Le T.-H.; Tran N.; Lee H.-J. Int. J. Mol. Sci. 2024, 25, 1359.

DOI

[13]
Sotoodeh F.; Huber B. J. M.; Smith K. J. Appl. Catal. A-Gen. 2012, 419-420, 67.

DOI

[14]
Dong Y.; Yang M.; Mei P.; Li C.; Li L. Int. J. Hydrog. Energ. 2016, 41, 8498.

DOI

[15]
Li C.; Luo R.; Zhu T.; Zhao Y.; Xu K.; Wu M.; Wang S.; Dong Y.; Yang M. Appl. Catal. B-Environ. Energ. 2025, 371, 125197.

[16]
Li L.; Yang M.; Dong Y.; Mei P.; Cheng H. Int. J. Hydrog. Energ. 2016, 41, 16129.

DOI

[17]
Lee J.; Park B. G.; Sung K.; Lee H.; Kim J.; Nam E.; Han J. W.; An K. ACS Catal. 2023, 13, 13691.

DOI

[18]
Zhang X.; Wang H.; Wang X.; Wang N.; Wu X. Int. J. Hydrog. Energ. 2025, 109, 1437.

DOI

[19]
Dong Y.; Yang M.; Li L.; Zhu T.; Chen X.; Cheng H. Int. J. Hydrog. Energ. 2019, 44, 4919.

DOI

[20]
Dong Y.; Zhao H.; Zhao Y.; Yang M.; Zhang H.; Cheng H. RSC Adv. 2021, 11, 15729.

DOI

[21]
Chen Z.; Yang M.; Zhu T.; Zhang Z.; Chen X.; Liu Z.; Dong Y.; Cheng G.; Cheng H. Int. J. Hydrog. Energ. 2018, 43, 12688.

DOI

[22]
Dong Y.; Yang M.; Yang Z.; Ke H.; Cheng H. Int. J. Hydrog. Energ. 2015, 40, 10918.

DOI

[23]
Liu L.; Zhu T.; Li C.; Zhao Y.; Yang M.; Ke H.; Dong Y. ACS Sustain. Chem. Eng. 2023, 11, 14497.

DOI

[24]
Oh J.; Jeong K.; Kim T. W.; Kwon H.; Han J. W.; Park J. H.; Suh Y.-W. Chemsusche. 2018, 11, 661.

DOI

[25]
Yang M.; Cheng G.; Xie D.; Zhu T.; Dong Y.; Ke H.; Cheng H. Int. J. Hydrog. Energy. 2018, 43, 8868.

DOI

[26]
Guo X.; Hong P.; Yao L.; Liu X.; Jiang Z.; Shi B. Fue. 2023, 353, 129231.

[27]
Zhao M.; Wang X.; Liu Y.; He Y.; Li D. Acta Chim. Sinic. 2021, 79, 1518 (in Chinese).

DOI

(赵敏, 王雪, 刘雅楠, 贺宇飞, 李殿卿, 化学学报, 2021, 79, 1518.)

DOI

[28]
Jiao H.; Xu G.; Sang Y.; Chen H.; Li Y. Catal. Toda. 2024, 430, 114542.

[29]
Shi Z.; Wan C.; Huang M.; Pan J.; Luo R.; Li D.; Jiang L. Int. J. Hydrog. Energ. 2020, 45, 17299.

DOI

[30]
Koskin A. P.; Zhang J.; Belskaya O. B.; Bulavchenko O. A.; Konovalova D. A.; Stepanenko S. A.; Ishchenko A. V.; Danilova I. G.; Yurpalov V. L.; Larichev Y. V.; Kukushkin R. G.; Yeletsky P. M. J. Magnes. Alloy. 2024, 12, 3245.

DOI

[31]
Ding H.; Qi X.; Yun X.; Ge J.; Tian Y.; Lei X.; Zhang F. ACS Sustain. Chem. Eng. 2022, 10, 9687.

DOI

[32]
Jia H.; Yang Z.; Yun X.; Lei X.; Kong X.; Zhang F. Ind. Eng. Chem. Res. 2019, 58, 22702.

DOI

[33]
Li L.; Tang J.; Wang L.; Li J.; Quan H.; Lin B.; Wang H.; Li J.; Zhou T. Acta Chim. Sinic. 2024, 82, 748 (in Chinese).

DOI

(李雷, 唐鋆磊, 王丽涛, 李江涛, 全洪林, 林冰, 王宏, 李佳奇, 周太刚, 化学学报, 2024, 82, 748.)

DOI

[34]
Wang B.; Li P.-Y.; Dong Q.; Chen L.-Q.; Wang H.-Q.; Han P.-L.; Fang T. ACS Appl. Energ. Mater. 2023, 6, 1741.

DOI

[35]
Xu Z.; Zhao N.; Hillmansen S.; Roberts C.; Yan Y. Energie. 2022, 15, 6467.

DOI

[36]
Sotoodeh F.; Smith K. J. J. Catal. 2011, 279, 36.

DOI

[37]
Sotoodeh F.; Huber B. J. M.; Smith K. J. Int. J. Hydrog. Energ. 2012, 37, 2715.

DOI

Outlines

/