Article

Effect of Organic Template Agents on the Crystallization Behavior, Crystal Size and Acidic Properties of ZSM-22 Zeolite

  • Kai Yuan , a, b, * ,
  • Yuting Ju a ,
  • Ningyue Lu a ,
  • Jing Shi b ,
  • Pengfei Wang , b, *
Expand
  • a School of Pharmacy, Changzhi Medical College, Changzhi, Shanxi 046000
  • b State Key Laboratory of Coal Conversion, Institute of Coal Chemistry, Chinese Academy of Sciences, Taiyuan, 030001
* E-mail: ;

Received date: 2025-06-27

  Online published: 2025-08-19

Supported by

National Natural Science Foundation of China(22372191)

National Natural Science Foundation of China(22402012)

Fundamental Research Program of Shanxi Province(202403021222314)

Scientific and Technological Innovation Programs of Higher Education Institutions in Shanxi(2024L272)

Doctoral Scientific Research Foundation of Changzhi Medical College(BS202302)

Abstract

A series of ZSM-22 zeolites were synthesized via the hydrothermal method using 1,6-hexamethylenediamine (DAH), 1,8-octanediamine (DAO) and their combinations as the organic template agents, respectively. The effect of organic template agents on the crystallization behavior, crystal size and acidic properties of ZSM-22 zeolite was systematically studied through comprehensive characterization techniques such as X-ray diffraction (XRD), Fourier transform infrared spectra (FT-IR), ultraviolet Raman spectra (UV-Raman), scanning electron microscopy (SEM), transmission electron microscopy (TEM), inductively coupled plasma optical emission spectrometry (ICP-OES), FT-IR spectra of pyridine adsorption (Py-IR), FT-IR spectra of 2,6-ditert-butylpyridine adsorption (dTBPy-IR), temperature-programmed desorption of ammonia (NH3-TPD), X-ray photoelectron spectroscopy (XPS), thermogravimetric analysis (TGA) and 13C/27Al/29Si MAS NMR. The results indicate that the ZSM-22-DAH zeolite synthesized using DAH as the organic template agent consists of micron-sized crystals and possesses a reduced number of acidic sites. Due to the relatively lower hydrophilicity and protonation capacity of DAO compared to DAH, a higher concentration of alkali metal cations (K) and hydroxide ions (OH-), serving as the inorganic structure directing agent and mineralizer, respectively, need to be introduced into the gel system containing DAO in order to promote the condensation, nucleation, and crystal growth of aluminosilicate species. The prototype crystals of the ZSM-22-DAO zeolite synthesized using DAO as the organic template agent own higher amounts of aluminum atoms on the external surface, which facilitates the aggregation and lateral fusion of elementary nanorods along the directions perpendicular to the c-axis during the period of crystal ripening. Therefore, the ZSM-22-DAO zeolite demonstrates a nanoscale crystal size and an increased density of acidic sites. The utilization of DAH and DAO as the mixed organic template agents in the synthesis strategy allows for controllable adjustment of both the crystal size and acidic properties of ZSM-22 zeolite. Specifically, increasing the proportion of DAO in the mixed organic template agents can progressively decrease the crystal size of ZSM-22 zeolite, while the density of Brønsted acidic sites increases in an approximately linear manner. Compared with the traditional ZSM-22 zeolite synthesized using a single organic template agent, the ZSM-22-DAH/DAO-1/1 zeolite synthesized using the mixed organic template agents exhibits a prolonged catalytic lifetime and enhanced selectivity toward propylene and butene in the methanol to propene (MTP) reaction.

Cite this article

Kai Yuan , Yuting Ju , Ningyue Lu , Jing Shi , Pengfei Wang . Effect of Organic Template Agents on the Crystallization Behavior, Crystal Size and Acidic Properties of ZSM-22 Zeolite[J]. Acta Chimica Sinica, 2025 , 83(10) : 1184 -1196 . DOI: 10.6023/A25060240

1 引言

ZSM-22分子筛(TON型拓扑结构)属于正交晶系高硅沸石, 其空间群为Cmcm, 晶胞参数为: a=1.386±0.003 nm, b=1.741±0.004 nm, c=0.504±0.002 nm[1]. ZSM-22分子筛具有一维十元环椭圆形直孔道, 孔道尺寸为0.46 nm×0.57 nm. 由于其具有较强的孔道限域效应、中等的酸强度和良好的水热稳定性等优点, ZSM-22分子筛被广泛应用于催化长链正构烷烃加氢异构化[2-4]、甲醇制丙烯(MTP)[5-7]以及甲苯与甲醇烷基化[8-9]等反应. 研究表明, 分子筛的酸性(酸密度、酸强度、酸分布和酸种类)、形貌和粒径对催化剂的催化活性和产物分布具有显著的调控作用[10-11].
Okamoto等[12]在ZSM-22分子筛合成体系中加入晶体生长抑制剂(3-苯丙胺或N-(3-氨基丙基)-N-甲基苯胺), 由于其选择性吸附在分子筛孔嘴处, 有效阻止了晶体沿[001]晶向生长, 使得ZSM-22分子筛粒径减小. Zhang等[4]以带季铵基的阳离子共聚物为ZSM-22分子筛晶体生长抑制剂, 可使其粒径由2.9 μm减小至310 nm. Wang等[13]采用将分子筛成核和晶体生长相分离的两步晶化策略, 可实现ZSM-22分子筛粒径在80~850 nm之间的可控调变. Zhai等[14]采用球磨法将母体分子筛粉碎后进行二次重结晶, 同时向合成体系中加入晶体生长抑制剂(聚二甲基二烯丙基氯化铵)可使ZSM-22分子筛粒径减小至200 nm. 然而, 晶体生长抑制剂的加入及后处理过程不仅增加了分子筛的合成成本, 而且使得合成步骤复杂且不易控制. 据文献报道, 调控ZSM-22分子筛酸性的策略主要有调节Si/Al比[2]、同晶外延生长硅质壳层[15]、碱溶液后处理[16]、酸脱铝[17]、金属离子交换[18]等. 截至目前, 同步实现对ZSM-22分子筛粒径和酸性的可控调控仍然具有挑战. ZSM-22分子筛的合成条件相对较苛刻, 微小的合成参数波动(如硅铝比、碱度、模板剂类型与浓度、晶化温度与时间等)即可导致杂晶相(如ZSM-5, ZSM-48, Cristobalite等)的生成、结晶度下降以及晶体形貌/尺寸失控. 因此, 深入理解并精准调控ZSM-22分子筛的合成过程, 不仅是为了获得纯相产物, 更是实现对其关键性质(如酸性、形貌和粒径等)进行“靶向设计”的核心前提, 这也是充分挖掘ZSM-22分子筛在实际化工过程中巨大应用潜力的关键. 因此, 探索ZSM-22分子筛粒径和酸性的调控策略便具有重要意义.
合成分子筛通常需要在凝胶中添加有机模板剂, 其在晶化过程中主要起结构导向、平衡电荷和空间填充的作用[19-21], 因此有机模板剂的合理选择是调控分子筛粒径和酸性的有效方法. Molino等[22]发现相比于N,N-二甲基甲酰胺、吡咯烷和异丙胺, 以庚基溴化铵为有机模板剂合成的ZSM-23分子筛的粒径最小(约50 nm), 其在MTP反应中表现出最佳的催化性能. Zhang等[23]对比研究了N,N,N-三甲基-1-金刚烷铵阳离子(TMAda)和N,N-二甲基环己铵阳离子(DMCHA)两种有机模板剂对SSZ-13分子筛铝落位的影响, 结果发现DMCHA阳离子的优势构象和配位效应诱使在分子筛晶化过程中6MRD6R的形成早于cha笼, 导致Al原子空间距离减小以及在6MR中成对Al位点的数量增多, 由此生成稳定的Cu2+-2Z活性位点使得催化剂在氨气选择性催化还原反应中表现出优异的催化活性和良好的水热稳定性. Ma等[24]借助理论计算, 以1-丁基-3,5-二甲基吡啶为有机模板剂合成了b轴厚度约10~20 nm的自支撑Pentasil纳米片分子筛H-SPP-Bu-DMPy; MTP反应性能表明相比于常规商业化H-ZSM-5 (44%, 15%, 47.5 h), H-SPP-Bu-DMPy具有更高的丙烯(48%)和乙烯选择性(19%)以及更长的催化寿命(180 h). 此外, 对于FER[25], MOR[26], FAU[27], SAPO-11[28], SAPO-18[29], SAPO-34[30]和ZSM-12[31]等分子筛, 合理选择有机模板剂能够有效调控其粒径和酸性, 使其催化反应性能得以大幅提升.
目前, 用于合成ZSM-22分子筛的有机模板剂主要有1,6-己二胺(DAH)[2-4]和1,8辛二胺(DAO)[5-7]. 然而, 有机模板剂对ZSM-22分子筛的晶化行为、粒径和酸性的影响, 目前还未见报道. 为此, 本工作分别以DAH, DAO及其不同比例的混合物为有机模板剂, 采用水热合成法制备了一系列ZSM-22分子筛, 通过X射线衍射(XRD)、傅里叶变换红外光谱(FT-IR)、紫外-拉曼光谱(UV-Raman)、扫描电子显微镜(SEM)、透射电子显微镜(TEM)、氮气物理吸脱附(N2 adsorption desorption)、蒸汽吸附(vapor adsorption)、电感耦合等离子体发射光谱分析(ICP)、吡啶吸附红外光谱(Py-IR)、2,6-二叔丁基吡啶吸附红外光谱(dTBPy-IR)、氨气程序升温脱附(NH3-TPD)、X-射线光电子能谱(XPS)、热重分析(TGA)、魔角旋转核磁共振(13C/27Al/29Si MAS NMR)等多种技术手段研究直链有机胺模板剂对ZSM-22分子筛晶化行为的影响机制, 以实现对ZSM-22分子筛粒径和酸性的可控调控, 提升其MTP催化性能.

2 结果与讨论

2.1 ZSM-22分子筛的骨架结构演变

图1(a)图1(b)分别为ZSM-22-DAH和ZSM-22-DAO分子筛在不同晶化时间后的XRD谱图. 可以看出, 当分别晶化至16和19.5 h时, ZSM-22-DAH和ZSM-22-DAO的XRD特征衍射峰(2θ为20.4°, 24.3°, 24.6°和25.7°等处)开始出现, 表明此时具有TON拓扑结构的分子筛雏晶已经形成; 随着分别晶化至18和22 h, 这些特征衍射峰强度迅速增大, 表明ZSM-22-DAH和ZSM-22-DAO分子筛晶体开始快速生长; 当分别延长晶化时间至36和60 h, 这些特征衍射峰强度几乎不再变化, 表明ZSM-22-DAH和ZSM-22-DAO分子筛的晶化过程基本完成, 晶体结构已较为完整. 从晶化曲线(图1(c))可以看出, ZSM-22-DAH和ZSM-22-DAO分子筛的晶化过程呈“S”型生长曲线规律, 其包括成核诱导期、晶体生长期和晶体熟化期. 通常将分子筛的相对结晶度低于5%的晶化阶段称为成核诱导期, 位于5%~75%之间的晶化阶段称为晶体生长期, 位于75%~100%之间的晶化阶段称为晶体熟化期. 从支持信息表S1可以看出, ZSM-22-DAH和ZSM-22-DAO的成核诱导期分别为0~16和0~19.5 h, 晶体生长期分别为16~18和19.5~22 h, 晶体熟化期分别为18~36和22~60 h. 所得固体产物的收率随晶化时间的变化如图1(d)所示, 可以看到在成核诱导期的初始阶段(0~3 h), ZSM-22-DAH和ZSM-22-DAO固体产物的收率迅速增加, 表明在此阶段内可溶性的硅酸根/硅铝酸根物种之间快速发生聚合反应, 生成了大量不溶性的无定型初级硅铝凝胶; 在成核诱导期的后期阶段(3~16和3~19.5 h), 固体产物的收率增速缓慢, 表明在此阶段内硅铝物种的溶解与沉淀几乎呈平衡状态. 在晶体生长期(16~18和19.5~22 h), ZSM-22-DAH和ZSM-22-DAO固体产物的收率再次迅速增加, 这是由于在此阶段内分子筛晶体发生快速生长. 在晶体熟化期(18~36和22~60 h), 固体产物的收率增速缓慢, 表明在此阶段内主要发生分子筛内部晶体结构缺陷的修复. 此外, 可以看到在整个晶化周期内, ZSM-22-DAH分子筛固体产物的收率要明显高于ZSM-22-DAO, ZSM-22-DAH-36h和ZSM-22-DAO-60h固体产物的收率分别为89.6%和68.5%.
图1 不同晶化时间后的ZSM-22-DAH和ZSM-22-DAO分子筛的XRD谱图(a, b)及其晶化曲线(c)和固体产物的收率曲线(d)

Figure 1 The XRD patterns (a, b) of ZSM-22-DAH and ZSM-22-DAO zeolites collected after crystallization for different times, along with their crystallization curves (c) and the yield curves of solid products (d)

不同晶化时间后的ZSM-22-DAH和ZSM-22-DAO 分子筛的骨架振动红外光谱分别如图2(a)2(b)所示,其中1230, 1080, 810, 782, 463和550 cm-1处的吸收峰分别归属于TON型拓扑结构分子筛中四面体TO4结构的外部反对称伸缩振动、内部反对称伸缩振动、外部对称伸缩振动、内部对称伸缩振动、内部弯曲振动以及双五元环振动特征峰[32-34]. 当分别晶化至16和19.5 h时, ZSM-22-DAH和ZSM-22-DAO分子筛在位于550 cm-1处的吸收峰开始出现, 说明此时ZSM-22分子筛雏晶已经形成; 继续延长晶化时间, 各特征峰强度逐渐增大, 表明ZSM-22分子筛的骨架结构逐渐趋于规整. 值得注意的是, 位于550 cm-1处的吸收峰在整个晶化过程中没有向低波数方向偏移, 表明ZSM-22-DAH和ZSM-22-DAO分子筛的晶化过程遵循“液相传输机理”[33]. 图2(c)2(d)分别为不同晶化时间后的ZSM-22-DAH和ZSM-22-DAO分子筛的紫外-拉曼谱图, 其中307、340/365和407/448 cm-1处的吸收峰分别归属于TON型拓扑结构分子筛中的十元环、六元环和五元环的T-O-T键弯曲振动[13,35-36]. 在成核诱导期的前半阶段(0~9 h), 随着晶化的进行, 250~550 cm-1之间的大宽峰强度逐渐增大, 表明无定型初级凝胶中骨架结构的无序度增加; 在成核诱导期的后半阶段(9~16 h和9~19.5 h), 大宽峰强度逐渐减弱, 表明初级凝胶逐渐转变为结构更为致密的次级凝胶; 当分别晶化至16和19.5 h时, ZSM-22-DAH和ZSM-22-DAO分子筛中的五、六元环弯曲振动吸收峰开始显现, 表明此时ZSM-22分子筛雏晶已经形成, 这与XRD和FI-IR的表征结果一致; 延长晶化时间至36和60 h, ZSM-22-DAH和ZSM-22-DAO分子筛的各特征吸收峰强度逐渐增加, 且峰型变得更加尖锐, 表明ZSM-22分子筛规整的孔道结构完全形成.
图2 不同晶化时间后的ZSM-22-DAH和ZSM-22-DAO分子筛的红外谱图(a, b)和紫外-拉曼谱图(c, d)

Figure 2 FT-IR spectra (a, b) and UV-Raman spectra (c, d) of ZSM-22-DAH and ZSM-22-DAO zeolites collected after crystallization for different times

2.2 ZSM-22分子筛的形貌和织构性质变化

不同晶化时间后的ZSM-22-DAH分子筛的SEM和TEM图像分别如支持信息图S1和图3所示. 从支持信息图S1可以看到在晶化开始前ZSM-22-DAH分子筛为微米级不规则块状固体, 进入晶体成核诱导期后转变为蠕虫状纳米颗粒(Worm-like particles, WLP)形貌(图3); 继续延长晶化时间至16 h时, 可在WLP中间明显看到有长棒状颗粒存在(支持信息图S1和图3), TEM电子衍射图(图3)证实该长棒状颗粒具有分子筛晶体结构; 在晶化至18 h时, WLP全部消失, 产物全部呈现长棒状颗粒形貌; 继续延长晶化时间, 产物形貌不再发生变化.
图3 不同晶化时间后的ZSM-22-DAH分子筛TEM图像

Figure 3 TEM images of ZSM-22-DAH zeolite collected after crystallization for different times

不同晶化时间后的ZSM-22-DAO分子筛的SEM和TEM如支持信息图S2, 图4所示. 可以看到一旦开始晶化, ZSM-22-DAO分子筛由微米级不规则块状固体变为蠕虫状纳米颗粒(WLP)形貌; 当晶化至19.5 h时, 可在WLP中间看到有少量细长针状颗粒存在, TEM电子衍射图(图4)证实该细长针状颗粒具有分子筛晶体结构; 继续晶化至22 h时, WLP全部消失, 产物全部呈现细长针状颗粒形貌; 延长晶化时间至36 h时, 产物变为短棒状颗粒形貌, 此后产物形貌不再发生变化.
图4 不同晶化时间后的ZSM-22-DAO分子筛TEM图像

Figure 4 TEM images of ZSM-22-DAO zeolite collected after crystallization for different times

高分辨透射电镜(HRTEM)(图3图4)结果表明ZSM-22-DAH和ZSM-22-DAO分子筛的一维孔道暴露晶面为(110), 一维孔道走向沿着棒状颗粒的纵向方向.
通过N2物理吸附-脱附实验表征不同晶化时间后的ZSM-22-DAH和ZSM-22-DAO分子筛的微孔表面积、外表面积和微孔体积等织构性质, 吸附-脱附等温线(支持信息, 图S3和S4), 具体数值及变化趋势如支持信息表S2和S3以及图5所示. 可以看到, 在晶体生长期(16~18和19.5~22 h), ZSM-22-DAH和ZSM-22-DAO分子筛的微孔表面积和微孔体积急剧增大, 这是由于在此阶段内随着晶体迅速生长, 分子筛的微孔孔道被快速构筑; 在晶体熟化期(18~36和22~60 h), 随着ZSM-22分子筛内部晶体结构缺陷逐渐被修复, ZSM-22-DAH和ZSM-22-DAO分子筛的微孔表面积和微孔体积缓慢增加. ZSM-22-DAH分子筛的外表面积在晶体生长期内缓慢增加, 进入晶体熟化期后其几乎不再变化; 而ZSM-22-DAO分子筛的外表面积在晶体生长期内陡然增加, 进入晶体熟化期后先是急剧下降, 而后几乎不再变化.
图5 ZSM-22-DAH (a)和ZSM-22-DAO (b)分子筛的微孔表面积、外表面积和微孔体积随晶化时间的变化曲线

Figure 5 The variation curves of micropore surface area, external surface area, and micropore volume of ZSM-22-DAH (a) and ZSM-22-DAO (b) zeolites as functions of crystallization time

2.3 ZSM-22分子筛的元素组成变化

图6显示了ZSM-22-DAH 和ZSM-22-DAO分子筛中Si、Al、K和有机模板剂含量随晶化时间的变化. 如图6(a)所示, 当从0 h晶化至3 h时, ZSM-22-DAH分子筛的初级凝胶产物中Si、Al含量分别由12.94, 0.32 mmol•g-1增加至14.05, 0.40 mmol•g-1, 其Si/Al比从40.4降至35.1; ZSM-22-DAO分子筛的初级凝胶产物中Si含量由13.91降至12.18 mmol•g-1, Al含量由0.33增加至0.44 mmol•g-1, 其Si/Al比从42.2降至27.7; 这是由于一旦开始升温晶化, Si、Al物种在体系液相中的溶解度发生改变, 并且在固相凝胶和液相之间达到新的溶解-沉淀平衡. 随着晶化的进行, Si, Al含量接近同步变化, 说明Si, Al物种在固相凝胶和液相之间的传质速率相近, 因此固体产物的Si/Al比几乎保持不变. 上述结果表明在含有DAH或者DAO的合成体系中, Si, Al物种在固相凝胶和液相之间存在物质传递, 结合ZSM-22-DAH和ZSM-22-DAO分子筛的固体产物收率随晶化时间逐步递增的变化趋势(图1(d)), 可以证实ZSM-22分子筛的晶化过程遵循“液相传输机理”, 这符合FT-IR表征结果(图2(a), 2(b)). 从图6(c)6(d)看到, 当晶化至9 h时, ZSM-22-DAH和ZSM-22-DAO分子筛中的K含量增加, 有机模板剂含量减小; 当晶化时间分别延长至16和19.5 h时, K含量逐渐减小, 有机模板剂含量逐渐增多; 上述结果表明在成核诱导期的前半阶段(0~9 h), 初级凝胶骨架的负电荷主要由K中和; 在成核诱导期的后半阶段(9~16 h和9~19.5 h), 硅铝物种逐渐与质子化的有机模板剂相互作用, 次级凝胶骨架的负电荷逐步由质子化的有机模板剂中和. 在晶体生长期(16~18 h和19.5~22 h), ZSM-22-DAH和ZSM-22-DAO分子筛中有机模板剂含量陡然增加, K含量急剧减小, 这表明随着分子筛晶体的迅速生长, 有机模板剂快速进入到分子筛孔道中, 分子筛骨架的负电荷主要由质子化的有机模板剂中和. 在晶体熟化期(18~36 h和22~60 h), ZSM-22-DAH和ZSM-22-DAO分子筛中有机模板剂和K含量仅略微变化, 这是由于在此阶段主要发生分子筛内部晶体结构缺陷的修复.
图6 不同晶化时间后的ZSM-22-DAH和ZSM-22-DAO分子筛中Si、Al含量(a)、Si/Al比(b)以及有机模板剂和K含量(c, d)

Figure 6 The Si and Al contents (a), Si/Al ratios (b), as well as the contents of the organic template agents and potassium (c, d) in ZSM-22-DAH and ZSM-22-DAO zeolites collected after crystallization for different times

13C MAS NMR结果(图7(a)7(b))表明DAH和DAO在ZSM-22分子筛整个晶化过程中没有发生分解. 在热重失重曲线中(图7(c)), 300~800 ℃之间的失重归因于有机模板剂的分解, 结合由29Si MAS NMR所测得的骨架硅铝比(Si/AlF)(表1), 可计算出在ZSM-22-DAH和ZSM-22-DAO分子筛单个晶胞中所含有的有机模板剂分子个数都为1.
图7 各种ZSM-22分子筛的13C MAS NMR谱图(a, b)及热重失重曲线(c)

Figure 7 13C MAS NMR spectra (a, b) and thermogravimetric weight loss curves (c) of various ZSM-22 zeolites

表1 各种ZSM-22分子筛的元素组成、外表面Brønsted酸量以及骨架和非骨架铝物种的占比

Table 1 The elemental composition, the quantities of Brønsted acid sites on the external surface, and the percentages of framework and extra-framework aluminum species of various ZSM-22 zeolites

Zeolites Si/Ala Si/Alb Si/AlFc Si/AlFd dTBPye/(μmol•g-1) AlFf/% AlEFf/%
ZSM-22-DAH 36.6 29.3 44.9 45.0 9.3 94.4 5.6
ZSM-22-DAH/DAO-1/1 33.0 23.7 37.0 37.1 17.3 95.6 4.4
ZSM-22-DAO 28.1 18.6 30.3 29.8 24.1 96.9 3.1

a The bulk Si/Al ratios were measured by ICP. b The external surface Si/Al ratios were measured by XPS. c The framework Si/Al ratios were determined from 29Si MAS NMR spectra. d The framework Si/AlF ratios were estimated using the method reported by Jo and co-workers[45], which integrates the concentration ratios of Brønsted acid sites to Lewis ones obtained from Py-IR measurements with the bulk Si/Al ratios. e The quantities of Brønsted acid sites on external surface were tested by dTBPy-IR. f AlF and AlEF represent the percentages of Al atoms in the framework and extra-framework, respectively, derived from the relative intensity of the signals at δ 45~65 and 0, respectively, in the 27Al MAS NMR spectra.

2.4 ZSM-22分子筛的酸性变化

结合Py-IR, dTBPy-IR, XPS以及27Al/29Si MAS NMR考察ZSM-22分子筛在晶化过程中的酸性变化. 从图8(a)看到, 在晶体生长期(16~18和19.5~22 h), ZSM-22-DAH和ZSM-22-DAO分子筛的Brønsted(B)酸量从0 μmol•g-1分别迅速增加至132和170 μmol•g-1, Lewis(L)酸量从0 μmol•g-1分别增加至30和53 μmol•g-1, 该结果表明在此阶段铝原子快速进入分子筛中形成骨架四配位铝物种, 同时少部分铝原子以非骨架铝物种的形式存在. 进入晶体熟化期后(18~36 h和22~60 h), ZSM-22-DAH和ZSM-22-DAO分子筛的B酸量分别缓慢增至200和306 μmol•g-1, ZSM-22-DAH分子筛的L酸量缓慢增至43 μmol•g-1, 而ZSM-22-DAO的L酸量则逐渐降至20 μmol•g-1, 该结果说明在此阶段ZSM-22-DAO中的部分非骨架铝物种逐渐转变为骨架四配位铝物种. 如图8(b)表1所示, ZSM-22-DAO-60h分子筛的外表面B酸量(24.1 μmol•g-1)是ZSM-22-DAH-36h (9.3 μmol•g-1)的2.5倍多; 同时, XPS结果(图8(c)、8(d)表1)也显示ZSM-22-DAO-60h分子筛外表面Si/Al比(18.6)明显低于ZSM-22-DAH-36h (29.3). 上述结果表明ZSM-22-DAO分子筛较低的外表面Si/Al比使其具有更多数量的骨架四配位铝原子.
图8 ZSM-22-DAH和ZSM-22-DAO分子筛的Brønsted酸和Lewis酸含量随晶化时间的变化曲线(a), ZSM-22-DAH-36h, ZSM-22-DAO-60h和ZSM-22-DAH/DAO-1/1分子筛的dTBPy-IR谱图(b)、Si 2p XPS谱图(c)、Al 2p XPS谱图(d)、27Al MAS NMR谱图(e)和29Si MAS NMR谱图(f)

Figure 8 The variation in the contents of Brønsted and Lewis acid sites in ZSM-22-DAH and ZSM-22-DAO zeolites with respect to crystallization time (a), dTBPy-IR spectra (b), Si 2p XPS spectra (c), Al 2p XPS spectra (d), 27Al MAS NMR spectra (e) and 29Si MAS NMR spectra (f) of ZSM-22-DAH-36h, ZSM-22-DAO-60h and ZSM-22-DAH/DAO-1/1 zeolites

ZSM-22-DAH-36h和ZSM-22-DAO-60h分子筛的27Al MAS NMR谱图如图8(e)所示, 其中化学位移δ为0, 49和55处的谱峰分别归属于非骨架六配位铝、扭曲的骨架四配位铝和骨架四配位铝物种[4,9,14]. 从分峰拟合的结果(表1)可以看到, ZSM-22-DAH-36h和ZSM-22- DAO-60h分子筛中骨架四配位铝物种占比分别为94.4%和96.9%, 非骨架铝物种占比分别为5.6%和3.1%, 表明ZSM-22-DAH和ZSM-22-DAO分子筛中绝大多数的铝原子都以骨架四配位铝物种的形式存在, 但ZSM-22-DAO具有比ZSM-22-DAH更少数量的非骨架铝物种, 这符合Py-IR表征结果.
图8(f)为ZSM-22-DAH-36h和ZSM-22-DAO-60h分子筛的29Si MAS NMR谱图, 其中化学位移位于δ-105处的谱峰归属于ZSM-22分子筛中Q3硅位点([Si(OAl)1(OSi)3]); δ -108.7, -111.3, -113.2和-114.5处的谱峰归属于Q4硅位点([Si(OSi)4])[3,9,37], 分峰拟合结果如支持信息表S4所示. 根据Parmar[2]和Zhang等[38]报道的下列计算公式, 可得ZSM-22-DAH-36h和ZSM-22-DAO-60h分子筛的骨架硅铝比(Si/AlF)分别为44.9和30.3(表1), 这与结合Py-IR和ICP结果所计算的Si/AlF非常相近(表1), 该结果证实ZSM-22-DAO具有比ZSM-22-DAH更多数量的骨架四配位铝原子.
$\frac{\mathrm{Si}}{\mathrm{Al}_{\mathrm{F}}}=\frac{\sum_{n=0}^{4} \operatorname{ISi}(n A l)}{\sum_{n=0}^{4} 0.25 \operatorname{ISi}(n A l)}$
其中, n为与特定硅原子结合的铝原子个数, I为Si(nA1)信号曲线下的峰面积. 上述结果表明相比于DAH, 在含有DAO的合成体系中, 铝原子更加容易进入ZSM-22分子筛中形成骨架四配位铝物种, 使其拥有更多数量的B酸性位点.

2.5 ZSM-22分子筛的晶化机制

基于上述表征分析结果, 提出了ZSM-22-DAH和ZSM-22-DAO分子筛的晶化机制, 如图9所示. 有机模板剂DAH和DAO的pKa1分别为11.1和11.0 (20 ℃)[39-41], 这表明相比于DAH, DAO在溶液中的质子化能力较弱; 另外, 由于DAO具有比DAH更大的C/N比, 因此DAO的亲水性要弱于DAH[42]; 上述两种因素使得DAO对ZSM-22分子筛的结构导向能力要弱于DAH. 因此相比于含有DAH的凝胶体系(KOH/SiO2=0.18), 在以DAO为有机模板剂的凝胶体系中, 需要加入更多含量的无机碱金属阳离子(K)和矿化剂(OH-), 即更高的KOH/SiO2比(0.26), 以促进硅铝物种的缩聚、成核以及晶体生长. 在分子筛晶化过程中, K作为无机结构导向剂能够有效平衡硅铝物种的负电荷, 诱导更多数量的铝物种掺入分子筛骨架, 因此ZSM-22-DAO具有较多数量的骨架四配位铝物种. Hayasaka[43]和Luo[44]等发现在ZSM-22分子筛外表面富集的铝物种使外表面的负电荷密度增大, 诱使纳米棒状颗粒沿着垂直于c轴的方向发生聚集及侧向融合. 如图9所示, 在晶体生长末期的ZSM-22-DAO-22h分子筛具有较多数量的体相和外表面骨架四配位铝物种, 进入晶体熟化期后针状纳米颗粒发生侧向融合生长, 使得ZSM-22-DAO分子筛的外表面积骤然减小, 正如图5(b)所示; 随着固相晶体与凝胶溶液之间不断达到新的溶解和沉淀平衡, 最终使得ZSM-22-DAO分子筛呈现短棒状形貌. 相比之下, 在晶体生长末期的ZSM-22-DAH-18h分子筛具有较少数量的体相和外表面骨架四配位铝物种, 进入晶体熟化期后未发生聚集及侧向融合生长, ZSM-22-DAH分子筛形貌及晶粒尺寸几乎保持不变.
图9 不同有机模板剂合成ZSM-22分子筛的晶化机制示意图

Figure 9 Proposed mechanism for the crystallization of ZSM-22 zeolites with different organic template agent in the synthesis gel

2.6 ZSM-22分子筛形貌和酸性的可控调控

如上所述, 不同的有机模板剂会显著改变ZSM-22分子筛的晶化行为, 使其粒径和酸性表现出较大差异,因此采用混合有机模板剂的策略有望实现对ZSM-22分子筛粒径和酸性的可控调控. 为此, 接下来通过调变合成凝胶体系中DAH/DAO的物质的量比分别为1/2, 1/1和2/1, 得到ZSM-22-DAH/DAO-1/2, ZSM-22-DAH/DAO-1/1和ZSM-22-DAH/DAO-2/1三种ZSM-22分子筛, XRD结果(支持信息, 图S5)表明它们都为纯相.
SEM图像(支持信息, 图S6)表明ZSM-22-DAH, ZSM-22-DAH/DAO-2/1, ZSM-22-DAH/DAO-1/1, ZSM-22-DAH/DAO-1/2和ZSM-22-DAO都为棒状形貌, 平均粒径分别为1360, 424, 330, 277和163 nm. 由此可见, 增大混合有机模板剂中DAO的比例能够减小ZSM-22分子筛的粒径.
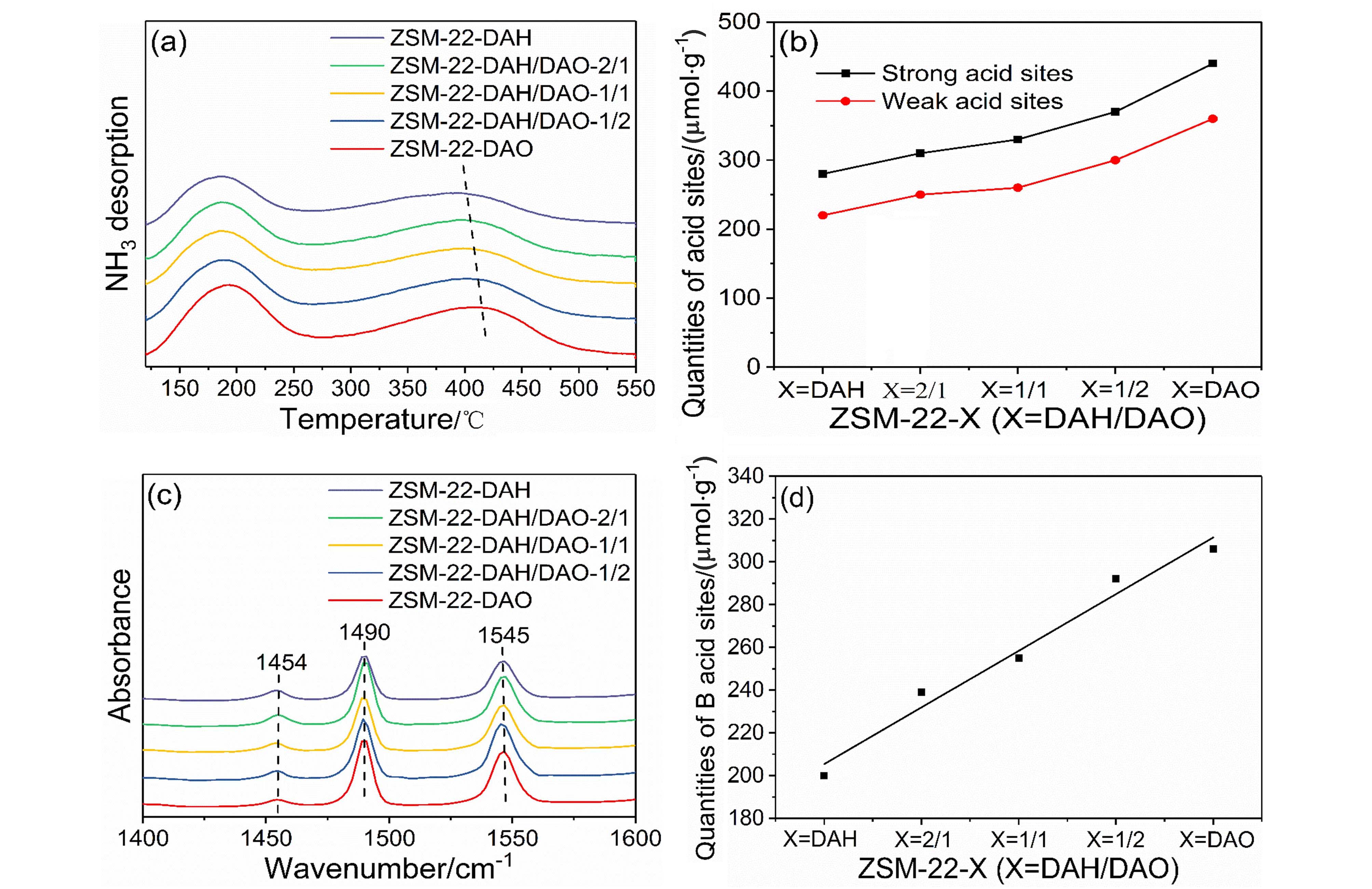
图10(a)为各种ZSM-22分子筛的NH3-TPD图, 所有样品在120~450 ℃之间都呈现出两个明显的NH3脱附峰, 分别对应分子筛的弱酸中心和强酸中心[46], 分别对两个脱附峰进行积分拟合处理后可计算得出强弱酸量, 结果如支持信息表S5和图10(b)所示. 从图10(a)看出, ZSM-22-DAH, ZSM-22-DAH/DAO-2/1, ZSM-22-DAH/DAO-1/1, ZSM-22-DAH/DAO-1/2和ZSM-22-DAO的强酸脱附峰中心逐渐向高温方向偏移, 这是由于酸密度的增大使得NH3在脱附过程中再次在酸性位点上吸附的程度变大导致的[47]. 从图10(b)可以看到, 随着混合有机模板剂中DAO的比例增大, ZSM-22分子筛的强、弱酸量逐渐越多.
图10 各种ZSM-22分子筛的NH3-TPD曲线(a)和相应的强弱酸量变化(b)、Py-IR谱图(c)和相应的B酸量变化(d)

Figure 10 NH3-TPD profiles (a) and the corresponding variations in the quantities of strong/weak acid sites (b), Py-IR spectra (c) and the corresponding variations in the quantities of Brønsted acid sites (d) of various ZSM-22 zeolites

图10(c)为各种ZSM-22分子筛的Py-IR谱图, 其中1545和1454 cm-1处的吸收峰分别对应于吡啶在B酸和L酸位点上的化学吸附, 1490 cm-1处的吸收峰对应于吡啶在两种类型酸位点上共同的化学吸附[48]. 根据Madeira等[49]报道的计算方法可得B和L酸量, 结果如支持信息表S5和图10(d)所示, 该结果表明ZSM-22分子筛中B酸量与混合有机模板剂中DAO的比例呈线性递增关系.

2.7 ZSM-22分子筛的甲醇制丙烯催化性能

ZSM-22分子筛一维十元环孔道具有较强的限域效应, 能够显著抑制MTP反应中芳烃循环的发生, 促进烯烃循环的运行, 从而提高产物中丙烯和丁烯等长链烯烃选择性. 为此, 在 0.1 MPa, 400 ℃和空速为0.95 h-1的条件下评价了上述ZSM-22分子筛催化MTP的反应性能, 结果如支持信息图S7和表S6所示. 采用混合有机模板剂合成的ZSM-22-DAH/DAO-1/1分子筛(9.1 h)具有比ZSM-22-DAH (2.1 h)和ZSM-22-DAO (6.3 h)更长的MTP催化寿命; 相反, ZSM-22-DAH/DAO-1/1 (0.069 h-1)的积碳速率低于ZSM-22-DAH (0.23 h-1)和ZSM-22-DAO(0.094 h-1). 此外, 它们的产物分布也存在差异: ZSM-22-DAH/DAO-1/1具有更高的丙烯(37.5%)和丁烯(24.7%)选择性, 更低的乙烯(5.1%)和C1~C5烷烃(7.8%)选择性; 相比之下, ZSM-22-DAH和ZSM-22-DAO具有更高的乙烯(6.0%, 5.2%)和C1~C5烷烃(9.4%, 8.8%)选择性, 更低的丙烯(35.9%, 37.0%)和丁烯(22.5%, 23.7%)选择性. 一般认为, MTP反应稳定期的产物分布与芳烃循环和烯烃循环的相对贡献有关. 烯烃循环路径主要生成丙烯和丁烯等长链烯烃, 而芳烃循环路径主要生成乙烯、芳烃和烷烃. 通常可以借助[丙烯-乙烯)(P-E)/乙烯(E)]比值来衡量两个循环的相对贡献大小. 如支持信息表S6所示, 相比于ZSM-22-DAH (5.0)和ZSM-22-DAO (6.1), ZSM-22-DAH/DAO-1/1具有更高的(P-E)/E值(6.4), 这表明在具有适当酸量和较小粒径的ZSM-22-DAH/DAO-1/1分子筛上烯烃循环路线被强化. 值得注意的是, ZSM-22-DAH的芳烃选择性(1.5%)低于ZSM-22-DAH/DAO-1/1 (2.1%)和ZSM-22-DAO (2.2%), 这可能是由于芳烃物种在具有微米级晶粒尺寸的ZSM-22-DAH上受到较大的扩散阻力而被限制在分子筛晶体内部.
为此, 以对二甲苯为模型分子, 考察了其在上述ZSM-22分子筛上的扩散传质能力, 结果如支持信息图S8所示. 可以看出, 对二甲苯在ZSM-22-DAH分子筛上的吸附速率和吸附饱和容量均明显低于ZSM-22-DAH/DAO-1/1和ZSM-22-DAO, 这表明对二甲苯在ZSM-22-DAH上的扩散阻力要比在ZSM-22-DAH/DAO-1/1和ZSM-22-DAO上更大. 较大的扩散阻力容易导致烃池物种向积炭前躯体演变, 进而加速催化剂失活. 接下来, 通过微型反应实验进一步考察上述ZSM-22分子筛在不同反应时间后碳质物种的含量变化, 结果如支持信息图S9所示. 可以看到, ZSM-22-DAH分子筛上碳质物种的生成速率明显大于ZSM-22-DAO和ZSM-22-DAH/DAO-1/1, 且在20 min后碳质物种的含量开始逐渐高于后两者. 此外, 可以看出在整个MTP反应过程中, ZSM-22-DAH/DAO-1/1分子筛展现出较低的碳质物种生成速率, 这使得其具有较好的催化稳定性.

3 结论

综上所述, 调变有机模板剂的种类对ZSM-22分子筛的晶化行为具有重要影响, 并且能够显著改变其形貌和酸性质. 以DAH为有机模板剂合成的ZSM-22-DAH分子筛具有微米级晶粒尺寸和较少数量的酸性位点; 相比之下, DAO为有机模板剂合成的ZSM-22-DAO分子筛雏晶具有较多数量的外表面铝原子, 诱使针状纳米颗粒在晶体熟化期发生侧向融合生长, 使得ZSM-22-DAO分子筛具有纳米级晶粒尺寸和较多数量的酸性位点. 采用混合DAH和DAO作为有机模板剂的合成策略可以同步实现对ZSM-22分子筛粒径和酸性的可控调控, 即增大混合有机模板剂中DAO的占比, 能使ZSM-22分子筛粒径减小, 同时Brønsted酸性位点数量线性增加. 相比于传统使用单一有机模板剂合成的ZSM-22分子筛, 采用混合有机模板剂合成的ZSM-22-DAH/DAO-1/1分子筛对MTP反应具有更长的催化寿命以及更高的丙烯和丁烯选择性. 此外, 该合成策略也有望提升ZSM-22分子筛在烷烃加氢异构化以及低级芳烃烷基化等反应中的催化性能.

4 实验部分

4.1 分子筛的合成

ZSM-22-DAO分子筛合成: 将一定量的氢氧化钾(99%, KOH)、硫酸铝(99%, Al2(SO4)3•18H2O)及1,8-辛二胺(98%, DAO)依次加入到一定量的去离子水中, 搅拌15 min后向其中加入一定量的硅溶胶(JN-40), 得到物质的量比为11.9 K2O∶Al2O3∶90 SiO2∶27 DAO∶3600 H2O的凝胶体系, 室温下搅拌30 min后静置24 h, 之后于152 ℃下动态晶化60 h, 得到产物ZSM-22-DAO.
ZSM-22-DAH分子筛合成: 将一定量的KOH、Al2(SO4)3•18H2O及1,6-己二胺(98%, DAH)依次加入到一定量的去离子水中, 搅拌15 min后向其中加入一定量的硅溶胶(JN-30), 得到物质的量比为8.1 K2O∶Al2O3∶90 SiO2∶27 DAH∶3600 H2O的凝胶体系, 室温下搅拌2 h后于152 ℃下动态晶化36 h, 得到产物ZSM-22-DAH.
ZSM-22-DAH/DAO-x分子筛合成: 将一定量的KOH、Al2(SO4)3•18H2O, DAH和DAO依次加入到一定量的去离子水中, 搅拌15 min后向其中加入一定量的硅溶胶(JN-40), 得到物质的量比为9 K2O∶Al2O3∶90 SiO2m DAH∶n DAO∶3600 H2O的凝胶体系(其中mn=27), 室温下搅拌2 h后于152 ℃下动态晶化41 h. 通过调变DAH和DAO的含量, 得到一系列ZSM-22-DAH/DAO-x分子筛, 其中x为DAH和DAO物质的量比, 即x=m/n.
将上述所得产物离心、干燥后于600 ℃下焙烧15 h以除去有机模板剂, 之后用NH4NO3溶液(1 mol•L-1)于80 ℃水浴中交换8 h, 重复交换三次后离心、干燥, 将所得固体于580 ℃下焙烧6 h, 得到氢型分子筛.

4.2 分子筛的表征

X射线衍射(XRD)在Rigaku MiniFlex II X射线衍射仪上采集. 采用Cu Kα (λ=0.154 nm)射线源, 管电压和管电流分别为30 kV和15 mA; 2θ扫描范围5°~40°, 扫描速度为4 (°)•min-1. 不同晶化时间后分子筛的相对结晶度按照2θ为20.4°, 24.3°, 24.6°和25.7°处的衍射峰的峰面积比值计算, 规定ZSM-22-DAH-36h和ZSM-22-DAO-60h的结晶度为100%. 将相对结晶度对晶化时间作图可得分子筛的晶化曲线.
分子筛的骨架振动傅里叶变换红外光谱(FT-IR)通过传统KBr压片法在Thermo Scientific Nicolet IS50型红外光谱仪上采集. 扫描范围为400~4000 cm-1, 扫描次数64次, 分辨率为4 cm-1.
紫外-拉曼光谱(UV-Raman)在Jobin Yvon Horiba型拉曼光谱仪上采集, 采用He/Cd激光器, 激发波长为325 nm, 扫描范围为200~800 cm-1.
N2物理吸附-脱附等温线在美国麦克仪器公司的Tristar II 3020型物理吸附仪上于-196 ℃下测定. 测试前, 先将分子筛样品于300 ℃下真空脱气处理10 h以除去样品表面吸附的水分及杂质. 样品的比表面积由BET方程计算得到, 微孔体积和外表面积由t-plot方法求出, 微孔表面积是比表面积与外表面积之差.
对二甲苯蒸汽吸附实验利用BELSORP-max高精度蒸汽吸附仪于25 ℃下进行测定.
分子筛样品的微观形貌及晶粒尺寸在日本电子株式会社的JSM-7900F型场发射SEM和JEM-2100F型场发射TEM上观测.
分子筛样品中各元素的含量由美国TJA公司的电感耦合等离子发射光谱仪(ICP, Autoscan16 TJA)测定.
NH3程序升温脱附(NH3-TPD)在美国麦克仪器公司的化学吸附仪(Autochem II 2920)上测定. 称取100 mg分子筛颗粒(20~40目)置于U型管中, 在氦气气氛、550 ℃下预处理2 h后降至120 ℃, 在饱和吸附NH3后用氦气吹扫1 h以去除物理吸附的NH3, 最后以10 ℃•min-1程序升温到550 ℃, 同时用热导检测器(TCD)检测升温过程中脱附的NH3.
吡啶/2,6-二叔丁基吡啶吸附红外光谱(Py-IR/dTBPy-IR)在Bruker Tensor 27型红外光谱仪上测定, 测试步骤和计算方法如之前报道的所述[50].
通过X射线光电子能谱(XPS, Thermo Scientific K-Alpha)分析分子筛外表面上的硅铝比, 激发光源为单色化Al Kα (hν=1486.6 eV), 以结合能为284.8 eV的污染碳为基准对其他测量元素进行校准.
13C/27Al/29Si MAS NMR谱图在Brucker Avance III 600-MHz Wide Bore型核磁共振仪上采集, 磁场强度为14.1 T, 参比样分别为六甲基苯、硝酸铝和四甲基硅烷.
分子筛上有机模板剂含量由Rigaku Thermo Plus Evo TG 8120型热重差热分析仪测定. 在空气气氛(30 mL•min-1)下, 将10 mg样品以10 ℃•min-1的升温速率升至800 ℃, 其中300~800 ℃之间的失重量作为有机模板剂含量. 分子筛上的积碳/碳质物种含量也由该仪器测定, 在空气气氛(30 mL•min-1)下, 将10 mg样品以10 ℃•min-1的升温速率升至900 ℃, 其中350~900 ℃之间的失重量作为积碳/碳质物种含量.

4.3 分子筛的MTP性能评价

采用固定床微型反应器评价分子筛催化剂的 MTP 催化性能. 在长度和内径分别为400和10 mm的不锈钢反应管中段部分装填0.5 g的催化剂样品(20~40目), 其余部分用酸洗焙烧后的石英砂填充. 在反应前, 催化剂先在N2(40 mL•min-1)气氛下于550 ℃处理3 h, 之后降至400 ℃进行反应. 采用柱塞微量泵对无水甲醇连续进料, 甲醇的质量空速(WHSV)为0.95 h-1, 通入的甲醇先在150 ℃下气化, 在N2 (40 mL•min-1)气氛下于常压下进行反应, 反应器出口接冷阱分离出气、液相. 用Agilent 7890A型气相色谱仪在线分析气相产物, 通过毛细管色谱柱DB-1, OxyPlot和Al2O3/KCl进行分离, 由两个FID和一个TCD检测器进行检测, 用甲烷关联的校正归一法进行数据处理. 用另外两台Agilent 7890A气相色谱仪对水相和油相产物进行离线分析, 配备的色谱柱分别为Agilent 19091N-136 (60 m×250 µm×0.25 µm)和Agilent 19091S-001 (50 m×200 µm×0.5 µm), 使用面积归一法进行数据处理.
甲醇转化率(xM)和产物选择性(Si)分别由以下公式计算:
xM=(nM,in-nM,out)/nM,in×100%
Si=(ni×ki/∑nj×kj)×100%
其中, nM,innM,out分别代表反应物和产物中甲醇的摩尔量, niki分别代表产物i的摩尔量和碳原子数; 在甲醇转化率的计算中, 二甲醚当做未反应的反应物.
微型反应实验: 在U型石英玻璃管中装入100 mg分子筛样品(20~40目), 在氩气(35 mL•min-1)气氛下于450 ℃预处理1 h后降到400 ℃, 用氩气(35 mL•min-1)携带鼓泡器(盛于冰水浴中)中的甲醇蒸汽进入U型管反应器中, 在WHSV=0.95 h-1的条件下反应不同时间后迅速用液氮淬冷, 终止反应进行.
Lu, Y.
[1]
Kokotailo G. T.; Schlenker J. L.; Dwyer F. G.; Valyocsik E. W. Zeolites 1985, 5, 349.

[2]
Parmar S.; Pant K. K.; John M.; Kumar K.; Pai S. M.; Newalkar B. L. Energy Fuels 2015, 29, 1066.

[3]
Feng Z. L.; Wang W.; Wang Y.; Bai X. F.; Su X. F.; Yang L.; Wu W. Microporous Mesoporous Mater. 2019, 274, 1.

[4]
Zhang L.; Fu W. Q.; He L. W.; Cai G. R.; Chen Q.; Tang T. D. Microporous Mesoporous Mater. 2021, 313, 110834.

[5]
Teketel S.; Olsbye U.; Lillerud K. P.; Beato P.; Svelle S. Microporous Mesoporous Mater. 2010, 136, 33.

[6]
Teketel S.; Skistad W.; Benard S.; Olsbye U.; Lillerud K. P.; Beato P.; Svelle S. ACS Catal. 2012, 2, 26.

[7]
Teketel S.; Svelle S.; Lillerud K. P.; Olsbye U. ChemCatChem 2009, 1, 78.

[8]
Wang H. H.; Liu S. Y.; Zhang H. K.; Guo D. G.; Ma J.; Ren J.; Wang H. Y. J. Fuel Chem. Technol. 2016, 44, 1010 (in Chinese).

(王宏浩, 刘栗侥, 张怀科, 郭大光, 马骏, 任杰, 王海彦, 燃料化学学报, 2016, 44, 1010.)

[9]
Li X. M.; Tsai S. T.; Wu K. C. W.; Curnow O. J.; Choi J.; Yip A. C. K. Microporous Mesoporous Mater. 2021, 328, 111475.

[10]
Li S. Y.; Li J. F.; Dong M.; Fan S. B.; Zhao T. S.; Wang J. G.; Fan W. B. Chem. Soc. Rev. 2019, 48, 885.

[11]
Wang S.; Qin Z. F.; Dong M.; Wang J. G.; Fan W. B. Chem. Catal. 2022, 2, 1657.

[12]
Okamoto M.; Nishimura Y.; Takahashi M.; Chen W. H. Cryst. Growth Des. 2018, 18, 6573.

[13]
Wang L.; Niu P. Y.; Xi H. J.; Chen X. Y.;Chen, C. B.; Ma. Z. Y.; Jia, L. T.; Hou, B.; Li, D. B. Ind. Eng. Chem. Res. 2021, 60, 17006.

[14]
Zhai M.; Wu W. X.; Xing E. H.; Zhang Y. F.; Ding H. X.; Zhou J. H.; Luo Y. B.; Liu J. C.; Zhu K. K.; Zhu X. D. Chem. Eng. J. 2022, 440, 135874.

[15]
Okamoto M.; Huang L. L.; Yamano M.; Sawayama S.; Nishimura Y. Appl. Catal. A: Gen. 2013, 455, 122.

[16]
Dyballa M.; Obenaus U.; Rosenberger M.; Fischer A.; Jakob H.; Klemm E.; Hunger M. Microporous Mesoporous Mater. 2016, 233, 26.

[17]
Wei F. F.; Cui Z. M.; Meng X. J.; Cao C. Y.; Xiao F. S.; Song W. G. ACS Catal. 2014, 4, 529.

[18]
Parmar S.; Pant K. K.; John M.; Kumar K.; Pai S. M.; Newalkar B. L. J. Mol. Catal. A: Chem. 2015, 404, 47.

[19]
Lu P.; Xu J. Y.; Sun Y. Q.; Guillet-Nicolas R.; Willhammar T.; Fahda M.; Dib E.; Wang B.; Qin Z. X.; Xu H. Y.; Cho J.; Liu Z. P.; Yu H. J.; Yang X. B.; Lang Q. L.; Mintova S.; Zou X. D.; Valtchev V. Nature 2024, 636, 368.

[20]
Jiang J. X.; Yu J. H.; Corma A. Angew. Chem. Int. Ed. 2010, 49, 3120.

[21]
Jensen Z.; Kwon S.; Schwalbe-Koda D.; Paris C.; Gómez-Bombarelli R.; Román-Leshkov Y.; Corma A.; Moliner M.; Olivetti E. A. ACS Cent. Sci. 2021, 7, 858.

[22]
Molino A.; Łukaszuk K. A.; Rojo-Gama D.; Lillerud K. P.; Olsbye U.; Bordiga S.; Svelle S.; Beato P. Chem. Commun. 2017, 53, 6816.

[23]
Zhang J.; Shan Y. L.; Zhang L.; Du J. P.; He H.; Han S. C.; Lei C.; Wang S.; Fan W. B.; Feng Z. C.; Liu X. L.; Meng X. J.; Xiao F. S. Appl. Catal., B 2020, 277, 119193.

[24]
Ma Y.; Tang X. M.; Hu J. Y.; Ma Y. H.; Chen W.; Liu Z. Q.; Han S. C.; Xu C.; Wu Q. M.; Zheng A. M.; Zhu L. F.; Meng X. J.; Xiao F. S. J. Am. Chem. Soc. 2022, 144, 6270.

[25]
Guo Y. X.; Wang S.; Geng R.; Wang P. F.; Li S. Y.; Dong M.; Qin Z. F.; Wang J. G.; Fan W. B. iScience 2023, 26, 107748.

[26]
Li Y.; Yu M.; Cai K.; Wang M. Y.; Lv J.; Howe R. F.; Huang S. Y.; Ma X. B. Phys. Chem. Chem. Phys. 2020, 22, 11374.

[27]
Ke Q. L. Khalil L.; Smeyers B.; Li Z.; Oliveira-Silva R. D.; Sels B.; Sakellariou D.; Dusselier M. Angew. Chem. Int. Ed. 2021, 60, 24189.

DOI PMID

[28]
Liu P.; Ren J.; Sun Y. H. Microporous Mesoporous Mater. 2008, 114, 365.

[29]
Martínez-Franco R.; Li Z. B.; Martínez-Triguero J.; Moliner M.; Corma A. Catal. Sci. Technol. 2016, 6, 2796.

[30]
Zhang D.; Zhou Y.; Chu R. Z.; Wu J. X.; Wu G. G.; Li X.; Li W. S.; Miao Z. Y.; Meng X. L. Microporous Mesoporous Mater. 2023, 349, 112428.

[31]
Yu B. Y.; Wang Y. N.; Xie S. J.; Chen F. C.; Liu W.; Li X. J.; Zhu X. X.; Xu L. Y. Fuel. 2024, 371, 131953.

[32]
Xu Q. H.; Yu Q. M. Chem. J. Chin. Univ. 1988, 9, 508 (in Chinese).

(须沁华, 于秋明, 高等学校化学学报, 1988, 9, 508.)

[33]
Liu C. Y.; Gu W. Y.; Kong D. J.; Guo H. C. Microporous Mesoporous Mater. 2014, 183, 30.

[34]
Júnior L. V. D. S.; Silva A. O. S.; Silva B. J. B.; Alencar S. L. Mod. Res. Catal. 2014, 3, 49.

[35]
Möller K.; Bein T. Microporous Mesoporous Mater. 2011, 143, 253.

[36]
Niu P. Y.; Liu P.; Xi H. J.; Lin M. G.; Wang J. G.; Chen X. Y.; Jia L. T.; Wang P. F.; Hou B.; Li D. B. Cryst. Growth Des. 2018, 18, 6591.

[37]
Muraza O.; Abdul-lateef A.; Tago T.; Nandiyanto A. B. D.; Konno H.; Nakasaka Y.; Yamani Z. H.; Masuda T. Microporous Mesoporous Mater. 2015, 206, 136.

[38]
Zhang J.; Ding X, N.; Liu H. C.; Fan D.; Xu S. T.; Wei Y. X.; Liu Z. M. Acta Chim. Sinica 2022, 80, 590 (in Chinese).

DOI

(张瑾, 丁湘浓, 刘红超, 樊栋, 徐舒涛, 魏迎旭, 刘中民, 化学学报, 2022, 80, 590.)

[39]
Rometsch V. R.; Marxer A.; Miescher K. Helv. Chim. Acta 1951, 34, 1611.

[40]
Everett D. H.; Pinsent B. R. W. Proc. R. Soc. London, Ser. A 1952, 215, 416.

[41]
Shen Y. F.; Le T. T.; Li R.; Rimer J. D. ChemPhysChem 2018, 19, 529.

[42]
Gómez-Hortigüela L.In Insights into the Chemistry of Organic Structure-Directing Agents in the Synthesis of Zeolitic Materials, Ed.: Mingos, D. M. P., Springer International Publishing AG, Cham, Switzerland, 2017, p. 141.

[43]
Hayasaka K.; Liang D. D.; Huybrechts W.; Waele B. R. D.; Houthoofd K. J.; Eloy P.; Gaigneaux E. M.; Tendeloo G. V.; Thybaut J. W.; Marin G. B.; Denayer J. F. M.; Baron G. V.; Jacobs P. A.; Kirschhock C. E. A.; Martens J. A. Chem. Eur. J. 2007, 13, 10070.

[44]
Luo Y.; Wang Z. D.; Jin S. Q.; Zhang B.; Sun H. M.; Yuan X. H.; Yang W. M. CrystEngComm 2016, 18, 5611.

[45]
Jo D. H.; Lee K.; Park G. T.; Hong S. B. J. Catal. 2016, 335, 58.

[46]
Zhao Q.; Li F.; Zhang P. H.; Liu Y. M. Acta Chim. Sinica 2024, 82, 1013 (in Chinese).

DOI

(赵勤, 李芳, 张鹏鹤, 刘月明, 化学学报, 2024, 82, 1013.)

[47]
Park J. W.; Kim S. J.; Seo M.; Kim S. Y.; Sugi Y.; Seo G. Appl. Catal. A: Gen. 2008, 349, 76.

[48]
Gould N. S.; Xu B. J. J. Catal. 2018, 358, 80.

[49]
Madeira F. F.; Tayeb K. B.; Pinard L.; Vezin H.; Maury S.; Cadran N. Appl. Catal. A: Gen. 2012, 443-444, 171.

[50]
Yuan K.; Jia X. Y.; Wang S.; Fan S.; He S. P.; Wang P. F.; Dong M.; Qin Z. F.; Fan W. B.; Wang J. G. J. Fuel Chem. Technol. 2023, 51, 1652.

Outlines

/