Review

Application of Michael/Aldol Cascade Cyclization Reactions in Natural Product Synthesis

  • Zhao Yachen a ,
  • Yu Biao , a, b, *
Expand
  • a School of Chemistry and Materials Science, Hangzhou Institute for Advanced Study, University of Chinese Academy of Sciences, Hangzhou 310024
  • b State Key Laboratory of Chemical Biology, Shanghai Institute of Organic Chemistry, University of Chinese Academy of Sciences, Chinese Academy of Sciences, Shanghai 200032
*E-mail:

Received date: 2025-07-05

  Online published: 2025-08-25

Supported by

Shanghai Science and Technology Plan Project(22YS1401000)

Abstract

In modern natural product synthesis, chemists are often able to execute two or even multiple chemical reactions to occur in one pot by designing substrate structures and screening reaction conditions, thus to synthesize target molecules in a concise and efficient manner. Such a reaction sequence is termed a cascade reaction. Michael addition and aldol reaction are the two most applied classic reactions in organic synthesis. By regulating the reaction conditions and designing the substrates, they can occur successively in the same system to form complex cyclic systems. This cascade reaction is termed Michael/aldol cascade cyclization reaction, which can effectively improve the atomic and step economy of a synthesis. This review comprises more than 40 reported studies on natural product synthesis as examples to summarize nine common types of Michael/aldol cascade cyclization reactions, to demonstrate their applications as key steps in complex natural product synthesis, and to outlook on the direction of further developments of this methodology.

Cite this article

Zhao Yachen , Yu Biao . Application of Michael/Aldol Cascade Cyclization Reactions in Natural Product Synthesis[J]. Acta Chimica Sinica, 2025 , 83(11) : 1397 -1413 . DOI: 10.6023/A25070247

1 引言

在天然产物合成中, 如何以简洁高效的路线规模化地合成目标分子是化学家们长期关注的核心问题. 通过对底物结构的设计和反应促进剂、溶剂、温度及浓度等反应要素的筛选, 有望使两个甚至多个化学反应在一锅中有序发生, 以得到复杂官能团化的产物. 这一过程被称为串联反应或级联反应[1-2], 往往可以提高合成效率.
Michael加成[3-5]是多种亲核试剂对π电子体系(共轭烯酮等)的1,4-加成反应. Aldol反应[6-9]是烯醇(盐)对醛和酮的加成反应. 二者均围绕“羰基”这一重要官能团发生, 故常适合被设计为串联反应, 以提高合成效率, 简化步骤. 例如: Michael加成中间体可进一步与分子内的醛、酮位点发生aldol反应, 构建复杂环系(Michael- aldol串联反应, Scheme 1); 亦或是, aldol产物中的共轭烯酮可通过进一步的Michael加成引入新的所需原子, 构建新的手性中心(aldol-Michael串联反应, Scheme 1). 其中, 最著名的经典应用案例莫过于利用环酮与共轭烯酮反应得到环烯酮的Robinson环化反应[10-11]. 这些反应在针对结构复杂、来源稀缺及具有重要生理活性的天然产物的全合成工作中应用广泛, 但尚未有过系统性的综述报道. 基于上述两种串联反应, 本文在Michael加成方面, 按照不同的亲核试剂类型进行分类; 在aldol反应方面, 侧重关注分子内aldol反应, 以介绍Michael/aldol串联环化反应作为关键步骤在天然产物合成中的应用.
图式1 两类Michael/aldol串联环化反应

Scheme 1 Two types of Michael/aldol cascade cyclization reactions

2 Michael-aldol串联反应

2.1 C-Michael-aldol串联反应

C-Michael-aldol串联反应多用于构建复杂的环系结构. 可通过有机小分子胺催化醛酮生成烯胺或碱攫取醛酮α-H生成烯醇盐的途径原位制备高活性C-亲核试剂, 对共轭体系或其它醛酮位点进行加成. 其中, 有机小分子胺多见脯氨酸及其衍生物和金鸡纳碱及其衍生物, 包括奎尼丁(quinidine)衍生物和奎宁(quinine)衍生物. 它们在控制反应的立体选择性方面发挥重要作用.
2010年, Alonso团队[12]利用酮1衍生的四氢吡咯型烯胺与烯醛2的C-Michael-aldol串联反应, 合成了钠离子通道阻断剂河鲀毒素(tetrodotoxin)的高氧化态环己烷骨架3, 进而完成了其消旋形式合成(Scheme 2). 从结果来看, 酮1两侧α位发生了两次不同的亲核加成; 反应结束后, 生成的亚胺正离子被水解回羰基. 该反应在酸性条件下发生, 室温时反应较好; 在0 ℃时, 反而会通过双C-Michael-去甲酰化-Henry(硝基aldol)-缩醛化的串联副反应生成八元环副产物3'.
图式2 Alonso团队的工作(2010)

Scheme 2 Work from the Alonso group (2010)

2007年, Yamamoto团队[13]利用分子内C-Michael- aldol串联反应合成了抗生素platensimycin的核心笼状四环骨架5, 进而完成了天然产物的形式合成(Scheme 3). 由于立体和电子因素, 醛1衍生的proline型烯胺中间体倾向从烯酮的Si面发生Michael加成. 其中, L-proline给出更高的非对映选择性. 随后, NaOH水溶液促进了分子内aldol缩合.
图式3 Yamamoto团队的工作(2007)

Scheme 3 Work from the Yamamoto group (2007)

2012年, Hong团队[14]在探究木脂素类天然产物(+)-galbulin的全合成中, 利用D-脯氨酸衍生物8促进的动力学拆分型C-Michael-C-Michael-aldol串联反应, 构建了该分子的核心并环骨架(Scheme 4). 其中, 只有(S)-6可以发生该反应; 而(R)-6受限于其烯胺过渡态的位阻因素, 无法发生第一步的分子间Michael加成.
图式4 Hong团队的工作(2012)

Scheme 4 Work from the Hong group (2012)

2014年, McNulty团队[15]利用有机小分子催化的C-Michael-aldol串联反应构建了具有抗癌活性的石蒜科生物碱(+)-trans-dihydrolycoricidine的核心六元碳环12, 进而完成了其全合成(Scheme 5). 该反应必须在碱存在的条件下才能发生; 常规的手性催化剂L-脯氨酸在Michael加成一步给出了较低的ee值; 碱二异丙基乙基胺(DIPEA)在aldol反应一步给出了较低的dr值. 他们同样改用催化剂8, 并加入大位阻碱奎尼丁作为共催化剂, 大幅提高了立体选择性.
图式5 McNulty团队的工作(2014)

Scheme 5 Work from the McNulty group (2014)

2020年, 韩福社团队[16]在具有抗癌活性的吲哚生物碱chippiine-dippinine家族中的(+)-tronocarpine的合成研究中, 使用奎尼丁衍生的手性相转移催化剂(PTCs)季铵盐15, 促进了丙烯醛14参与的C-Michael-aldol串联反应, 构建了重要的氮杂[3.3.1]-桥环结构16, 进而完成了天然产物首次全合成, 并明确了其绝对构型(Scheme 6). 作者就PTCs的芳基取代基、抗衡阴离子、烯烃部分、C(10)和C(11)位的手性和官能团以及喹啉环上取代基进行了全面考察, 认为适当的双功能离子对/氢键相互作用对反应至关重要.
图式6 韩福社团队的工作(2019)

Scheme 6 Work from the Han group (2019)

2020年, 韩福社团队[17]在对chippiine-dippinine家族的其它4个成员(+)-demethoxychippiine、(-)-dippinine B、(+)-dippinine C和(-)-demethoxychippiine的全合成中, 发现碱四甲基胍(TMG)亦可促进上述相同反应的发生, 再次合成了桥环结构16; 在对该家族的其它3个成员(-)-demethoxychippiine、(-)-3-O-methyldemethoxy- chippiine和(-)-3-hydroxy-3,4-secocoronaridine的全合成中, 再次利用了催化剂15以构建桥环结构18 (Scheme 7).
图式7 韩福社团队的工作(2020)

Scheme 7 Work from the Han group (2020)

2012年, 姚祝军团队[18]在可治疗阿兹海默症的乙酰胆碱酯酶抑制剂(-)-huperzine A的形式合成中, 利用奎宁衍生物22催化的C-Michael-aldol串联反应以及后续的消除、烯烃迁移反应, 高对映选择性地、克级规模地合成了该分子的核心并环骨架24 (Scheme 8).
图式8 姚祝军团队的工作(2012)

Scheme 8 Work from the Yao group (2012)

2020年, Soos团队[19]在单萜吲哚生物碱aspido- sperma家族成员(-)-minovincine和(-)-aspidofractinine的全合成中, 利用新颖的奎宁方酰胺催化剂27促进的C-Michael-aldol串联反应完成了该类分子核心C环结构28的高效构筑(Scheme 9). 值得一提的是, 该反应可放大至80 g规模. 基于此, 该团队进一步实现了(-)-mino- vincine的克级合成.
图式9 Soos团队的工作(2020)

Scheme 9 Work from the Soos group (2020)

2025年, 韩福社团队[20]在aspidosperma家族其它5个成员C(11)-demethoxymelotenine、3-oxotabersonine、voacafrine I、3α-acetonyltabersonine和3β-acetonyl- tabersonine的全合成中, 使用奎宁衍生物30催化了丙烯醛14参与的C-Michael-aldol串联反应, 构建了关键的手性[3.3.1]-桥连双环骨架31 (Scheme 10).
图式10 韩福社团队的工作(2025, aspidosperma)

Scheme 10 Work from the Han group (2025, aspidosperma)

2016年, Baran团队[21]在pallambins C和D的全合成中, 利用乙基乙烯酮32 (EVK)参与的C-Michael- aldol串联反应, 构筑了该分子A环结构34 (Scheme 11).
图式11 Baran实验室的工作(2016)

Scheme 11 Work from the Baran group (2016)

2022年, Kigoshi团队[22]在具有广谱抗菌活性的天然产物(-)-nemorosonol的消旋全合成中, 利用双三甲基硅基胺基锂(LiHMDS)促进的C-Michael-aldol串联反应, 构建了目标分子的三环骨架37, 进而完成了该分子的全合成(Scheme 12).
图式12 Kigoshi团队的工作(2022)

Scheme 12 Work from the Kigoshi group (2022)

2025年, 韩福社团队[23]在具有良好抗肿瘤和昆虫拒食活性的萜烯cryptoquinonemethide家族中的(+)- chamaecydin和(+)-isochamaecydin的全合成中, 利用氢氧根类碱苄基三甲基氢氧化铵(Triton B)促进的C- Michael-aldol串联反应, 构建了该类分子的核心C/D环结构39 (Scheme 13). 因C环后续将发生芳构化, 此时脱水产物40较差的dr值无关紧要.
图式13 韩福社团队的工作(2025, cryptoquinonemethide)

Scheme 13 Work from the Han group (2025, cryptoquinonemethide)

2025年, 陈小明团队[24]在对二萜(-)-calidoustene进行全合成时发现以传统方法合成烯酮42效果不佳, 而先后采用碱Zr(n-PrO)4和甲醇钠在甲苯中处理E-41异构体时, 成功诱导了所需的C-Michael-aldol串联反应, 形成了两个连续的立体中心(Scheme 14). 2023年, 丁寒锋团队[25]在对angular triquinane家族成员(-)- retigeranic acid A的全合成中, 也曾利用上述反应(Scheme 14); 不同的是, 他们使用碱氢氧化锂而非甲醇钠促进后续的分子内aldol缩合.
图式14 陈小明团队(2025)和丁寒锋团队(2023)的工作

Scheme 14 Work from the Chen group (2025) and the Ding group (2023)

路易斯酸亦可促进C-Michael-aldol串联反应. 2016年, Nagorny团队[26]在甾体类心肌细胞钠/钾ATP酶抑制剂cardiotonic家族中的19-hydroxysarmentogenin和trewianin aglycone的全合成中, 以C-Michael-aldol-aldol串联反应为模型反应, 在未添加手性配体的情况下, 高立体选择性地构建了该类分子的核心骨架(±)-45 (Scheme 15). 其中, Cu(OTf)2诱导了Michael加成, 原料(±)-44中的γ-OBz手性中心高效控制了Michael加成的立体选择性. 不足的是, 在1,8-二氮杂双环[5.4.0]十一碳-7-烯(DBU)促进的两步aldol环化反应中, 其中一步构建的C(13)和C(14)位立体中心与天然产物所需相反, 迫使作者后续需要通过双三甲基硅基胺基钠(NaHMDS)促进的retro aldol-aldol反应进行调整.
图式15 Nagorny团队的工作(2016)

Scheme 15 Work from the Nagorny group (2016)

除了原位制备烯胺、烯醇等亲核中间体外, 直接采用商品化的烷基亲核试剂引发此类反应, 亦有报道. 2013年, 刘波团队[27]在具有多种重要生理活性的sesterterpenoid类天然产物leucosceptroid B的全合成中, 利用MeMgBr参与的C-Michael-aldol串联反应, 构建了该分子的核心B环结构47 (Scheme 16). 此反应中, CuI与MeMgBr原位生成了大位阻烷基铜试剂, 确保了分子间1,4-加成(而非1,2-加成)的发生; CuI与MeLi组合给出了较低的产率和较差的烯烃顺反选择性.
图式16 刘波团队的工作(2012)

Scheme 16 Work from the Liu group (2012)

类似地, 2012年, Greaney团队[28]在倍半萜merrilactone A的形式合成中, 为了避免retro aldol反应, 设计了以缩酮为aldol亲电体的C-Michael-aldol串联反应. 他们通过氰基铝试剂对烯酮48进行Michael加成, 原位产生烯醇盐; 再以TiCl4活化缩酮部分, 形成氧鎓离子, 进而引发分子内aldol反应, 构建了该分子的B环结构49 (Scheme 17).
图式17 Greaney团队的工作(2012)

Scheme 17 Work from the Greaney group (2012)

2.2 H-Michael-aldol串联反应(还原aldol反应)

虽然, 负氢试剂作为亲核试剂对共轭烯酮的1,4-加成反应通常被称为“1,4-还原”或“共轭还原”, 而非传统意义上的Michael加成; 但其亦可原位生成烯醇负离子, 进而与醛酮发生aldol反应——这一串联反应又被成为“还原aldol反应”. 这类反应具有传统aldol反应不具有的一些优点: (1)体系温和, 酸碱性弱, 可避免包括retro aldol、β-消除在内的一系列副反应; (2)反应位点可控, 可区域选择性地生成烯醇负离子. 因而在天然产物合成中应用广泛.
1998年, Chiu团队[29]在具有抗癌、抗真菌活性和小鼠避孕效用的二萜pseudolaric acid A的合成研究(Scheme 18)中, 尝试使用传统的碱促进的分子内aldol反应构筑目标分子的并环骨架. 然而, 由于体系的碱性, aldol产物会直接生成retro aldol产物51β-消除产物52, 导致其无法被成功制备. 为了避免碱性体系, 他们开创性地提出了负氢试剂对共轭烯酮1,4-还原以原位产生烯醇负离子, 进而发生分子内aldol反应的思路. 他们使用非常温和的、具有极佳区域选择性和化学选择性的铜氢类试剂——Stryker试剂, 在低温下处理烯酮53, 顺利得到具有pseudolaric acid A核心骨架的aldol产物54'54, 且完全未观察到副产物5152; 将溶剂从四氢呋喃改为非配位溶剂甲苯, 可以提高所需构型产物54的比例. 基于此, 2001年, 他们对这类还原aldol反应进行了系统性的方法学研究(Scheme 18)[30], 并成功利用该反应为关键步骤完成了倍半萜lucinone (57)的全合成(Scheme 18)[31].
图式18 Chiu团队的工作(1998~2001)

Scheme 18 Work from the Chiu group (1998~2001)

倍半萜内酯furanoheliangolides和eremantholides具有许多重要的生理活性, 如杀虫、抗菌、抗炎和抗肿瘤等. 生源合成假说认为后者经由前者转化而成. 2008~2011年, Constantino团队[32-33]利用Stryker试剂促进的还原aldol反应, 一步实现了furanoheliangolides家族成员15-deoxygoyazensolide (58)向eremantholide C (59)的仿生转化(Scheme 19).
图式19 Constantino团队的工作(2008)

Scheme 19 Work from the Constantino group (2008)

2011年, White团队[34]在二萜phomactins的合成研究中, 利用Stryker试剂促进的还原aldol反应, 构建了该类分子的四取代环己烷核心61 (Scheme 20).
图式20 White团队的工作(2011)

Scheme 20 Work from the White group (2011)

2011年, Stoltz团队[35]在具有白血病细胞抑制活性、抗疱疹和脊髓灰质炎病毒活性的天然产物hamigeran B的形式合成中, 利用Stryker试剂促进的还原aldol反应, 构建了目标分子的三环骨架64, 伴随着少量还原后未发生aldol反应的副产物63 (Scheme 21). 他们也曾通过氢化烯酮62直接合成63, 尝试在一系列传统aldol条件下将63转化为64. 然而, 归咎于63烯醇化时较差的区域选择性, 他们得到了多种aldol产物的混合物, 体系复杂. 这再次体现了还原aldol反应在面对特定底物时, 相较传统aldol反应的优势.
图式21 Stoltz团队的工作(2011)

Scheme 21 Work from the Stoltz group (2011)

2014年, Frontier团队[36]在脂肪氧化酶抑制剂(±)-tetrapetalone A-Me aglycon的全合成中, 利用Stryker试剂促进的还原aldol反应, 构建了目标分子的D环结构66 (Scheme 22). Aldol产物66为四种异构体的混合物, 但随后, 草酰氯参与的Swern氧化-氯代反应将其转化为了单一产物67.
图式22 Frontier团队的工作(2014)

Scheme 22 Work from the Frontier group (2014)

2018年, Trauner团队[37]在norhasubanan型生物碱(+)-stephadiamine的全合成中, 发现硅烷类试剂四甲基二硅氮烷(TMDS)在适当的条件下亦可发挥和Stryker试剂类似的作用, 促进烯酮68的还原aldol反应(Scheme 23). Aldol中间体直接经酸处理后, 进一步发生氰基水解-内酯化的反应, 得到产物69.
图式23 Trauner团队的工作(2018)

Scheme 23 Work from the Trauner group (2018)

类似地, 2024年, 陆平团队[38]在偕二甲基环丁烷型天然产物如(+)-β-caryophyllene, (-)-raikovenal等的全合成中, 发现甲基二乙氧基硅烷可以作为氢源促进高张力环丁烯酮70的还原aldol反应, 得到手性环丁酮71 (Scheme 24).
图式24 陆平团队的工作(2024)

Scheme 24 Work from the Lu group (2024)

2013年, Evans团队[39]在具有多种重要生理活性的tigliane和daphnane型二萜家族天然产物的合成研究中, 从十四元大环烯酮72出发, 利用两步跨环aldol反应, 构建了该类分子的核心三环骨架结构76 (Scheme 25). 其中, 第一步跨环aldol反应是由常用的铝氢类还原剂三仲丁基硼氢化锂(L-Selectride)促进的还原aldol反应, 在区域选择性、化学选择性和立体选择性方面均给出良好的控制结果.
图式25 Evans团队的工作(2013)

Scheme 25 Work from the Evans group (2013)

2.3 O-Michael-aldol串联反应

2004年, Bräse团队[40]利用三乙烯二胺(DABCO)促进的O-Michael-aldol串联反应, 构建了tetrahydroxan- thenones类天然产物的核心三环骨架79 (Scheme 26). 2005年, 他们[41]将该反应应用在了针对具有镇痛效用的cannabinoids类天然产物的合成研究中(Scheme 26).
图式26 Bräse团队的工作(2003, 2005)

Scheme 26 Work from the Bräse group (2003, 2005)

2008~2009年, Nicolaou和Chen团队[42-43]在可抑制人脐静脉内皮细胞(HUVECs)活性的甾体类生物碱cortistatins A和J的全合成中, 利用分子内的O-Michael- aldol串联反应, 构建了目标分子的B/C环结构83 (Scheme 27).
图式27 Nicolaou和Chen团队的工作(2008)

Scheme 27 Work from the Nicolaou and Chen group (2008)

2020年, 雷晓光团队[44]利用羟基酮酯85参与的O-Michael-aldol-酯交换串联反应, 实现了具有抗癌活性的rhytidenone家族天然产物之间的仿生转化(Scheme 28). 该反应高效形成了两个环, 构建了一根碳碳键、两根碳氧键和三个连续的立体中心.
图式28 雷晓光团队的工作(2019)

Scheme 28 Work from the Lei group (2019)

2019年, Kuwahara团队[45]利用苯基锂试剂处理烯酯88, 再酸化, 原位生成了氧鎓离子型烯酮中间体; 该中间体进而与二羟基丙酮(DHA)发生O-Michael-aldol-缩酮化串联反应, 高效实现了具有抗癌活性的天然产物diocollettines A (89)的全合成(Scheme 29).
图式29 Kuwahara团队的工作(2019)

Scheme 29 Work from the Kuwahara group (2019)

2020年, 高栓虎团队[46]在对映-贝壳杉烯(ent-kau- rane)二萜farnesin的全合成中, 利用烯醛90的分子内aldol反应构建了目标分子的D环结构91 (Scheme 30). 由于反应体系为碱性甲醇溶液, 实际发生了甲醇负离子参与的O-Michael-aldol串联反应. 酮92中多余的β-甲氧基后经E1CB消除反应被剔除.
图式30 高栓虎团队的工作(2020)

Scheme 30 Work from the Gao group (2020)

2.4 N-Michael-aldol串联反应

虽然N-Michael加成反应在合成中应用广泛, 但相比于其他种类原子的Michael-aldol串联反应, N- Michael-aldol串联反应却鲜有报道, 这是因为N原子本身性质特殊. 2013年, 孙建伟团队[47]在发展用于合成aminoindanol类化合物的N-Michael-aldol串联反应方法学时指出: 对于大多数胺, 由于其较强的亲核性和醛酮较强的亲电性, 将存在优先进攻醛酮而非烯烃, 形成半胺醛, 并进一步发生分子内O/N-Michael加成的竞争反应(Scheme 31, path a); 因此, 若想确保N-Michael-aldol串联反应顺利发生, 应选用亲核性较弱的N类亲核试剂, 如磺酰胺等(Scheme 31, path b).
图式31 N-Michael-aldol串联反应与其竞争反应

Scheme 31 N-Michael-aldol cascade reaction and its competitive reactions

2008年, Chavan团队[48]在具有强效抗肿瘤活性的生物碱喜树碱(camptothecin)的合成研究中, 利用苯胺参与的N-Michael-酰化-aldol串联反应, 构建了目标分子的D环结构94 (Scheme 32). 由于高张力因素, Michael产物并未以可能的四元半胺醛形式存在, 为后续的酰 化-aldol反应提供了基础.
图式32 Chavan实验室的工作(2008)

Scheme 32 Work from the Chavan group (2008)

2.5 S-Michael-aldol串联反应

2001年, Tomioka团队[49]S-腺苷同型半胱氨酸水解酶抑制剂——碳核苷(-)-neplanocin A的全合成中, 利用苄基硫醇锂试剂参与的S-Michael-aldol串联反应, 构建了目标分子的核心碳环结构96a96b及其异构体97 (Scheme 33). 其中, 96b经由96a发生碱性下的顺式邻二醇的硅基迁移副反应生成; 二者经去硅基化被转化为了三醇98.
图式33 Tomioka团队的工作(2001)

Scheme 33 Work from the Tomioka group (2001)

2016年, 赵刚团队[50]在钩吻类单萜吲哚生物碱gelsedilam的全合成中, 试图利用负氢试剂参与的还原aldol反应构建目标分子的高张力笼状[3.2.2]桥环骨架101, 并未成功. 他们认为, 原料99结构特殊——其烯烃部分为烯酮与烯醇醚共享, 导致了该烯烃较弱的亲电性, 因此很难被亲核性本就较差的负氢试剂进攻, 以引发还原aldol反应. 于是, 他们改用亲核性更强的乙硫 醇/碳酸铯组合, 成功引发了所需的S-Michael-aldol串联反应. 其产物100经还原脱硫, 进一步转化为所需的骨架结构101 (Scheme 34). 该案例说明, S-Michael-aldol串联反应与脱硫反应的组合可被视为还原aldol反应的替代反应, 具有借鉴意义.
图式34 赵刚团队的工作(2016)

Scheme 34 Work from the Zhao group (2016)

2021年, Lee团队[51]在强效的胆碱乙酰转移酶(ChAT)诱导剂杂萜(+)-garsubellin A的全合成中, 利用乙二硫醇参与的S-Michael-S-Michael-aldol-氧化串联反应, 合成了目标分子的核心[3.3.1]并环骨架结构103 (Scheme 35). 由于double Michael产物在碱性下存在较为复杂的互变平衡关系, 作者直接向体系内加入氧化剂, 得到了稳定的产物酮103. 作者通过double Michael反应引入两个硫原子, 兼顾了对该位点氧化态的调整; 该硫缩酮结构后续被进一步转化为目标分子中的烯醇醚结构.
图式35 Lee团队的工作(2021)

Scheme 35 Work from the Lee group (2021)

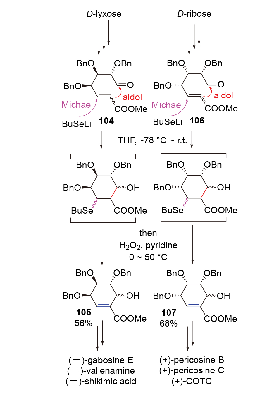
2.6 Se-Michael-aldol串联反应

2019年, Buda团队[52]在具有多种重要生理活性的carbasugar类天然产物(-)-gabosine E, (-)-valiena- mine和(-)-shikimic acid的合成研究中, 从D-来苏糖出发, 利用硒基锂试剂引发的Se-Michael-aldol-氧化消除串联反应, 合成了该类分子的环己烯骨架105 (Scheme 36). 2020年, 他们[53]又利用该反应, 从D-核糖出发, 合成了carbasugar类天然产物(+)-pericosine B, (+)- pericosine C和(+)-COTC的环己烯骨架107, 进而完成了它们的全合成(Scheme 36).
图式36 Buda团队的工作(2019, 2020)

Scheme 36 Work from the Buda group (2019, 2020)

2.7 I-Michael-aldol串联反应

2018年, 高栓虎团队[54]发表了综述《Halo-Michael/ Aldol串联反应及其在合成中的应用》. 该综述中, 虽然Cl原子和Br原子参与的此类反应有被提及, 但在涉及天然产物合成的应用部分, 仅有五个I-Michael-aldol串联反应的应用案例被介绍.
2011年, Porco团队[55]在具有广谱抗癌活性的聚酮天然产物kibdelone C的全合成中, 利用碘化镁促进的I-Michael-aldol串联反应, 合成了该分子的碘代F环结构109 (Scheme 37). 反应的立体选择性由镁离子与醛基氧原子、α-苄氧基氧原子之间的螯合作用控制. 后续, 他们巧妙地利用衍生产物111和酚112之间的O- Michael-retro I-Michael反应, 合成了五环结构113. 这不仅实现了目标分子F环和A/B/C/D环之间的组装, 同时完成了对碘原子的拆卸, 也保留了目标分子F环中所需的烯烃官能团. E环可进一步通过分子内Friedel- Crafts酰化反应形成.
图式37 Porco团队的工作(2011)

Scheme 37 Work from the Porco group (2011)

2012年, Greaney团队[28]在倍半萜merrilactone A的形式合成中, 利用四丁基碘化铵为碘源的I-Michael- aldol串联反应, 构建了该分子的B环结构115 (Scheme 38). 然而, 一方面, 所需构型产物115所占比例较小; 另一方面, 两种产物115116在后续诸多反应条件下不稳定, 极易发生retro aldol副反应. 为避免此副反应, 他们设计了以缩酮为aldol亲电体的结构117以进行Michael-aldol串联反应, 也成功实现了所需转化, 并大幅提升了所需构型产物118所占比例. 遗憾的是, 由于围绕产物118中碘官能团的后续转化均宣告失败, 他们最终改用氰基铝试剂参与的Michael-aldol串联反应(Scheme 17), 完成了目标分子的形式合成.
图式38 Greaney团队的工作(2012)

Scheme 38 Work from the Greaney group (2012)

2013年, Frontier团队[56]在血小板活化因子(PAF)拮抗剂phomactin A的合成研究中, 利用碘化镁为碘源的I-Michael-aldol串联反应, 构建了该分子的A环结构121 (Scheme 39). 反应的立体选择性由镁离子与两个羰基氧原子之间的螯合作用控制. 后续, 在完成羟基立体中心的构型反转后, 他们利用路易斯酸促进的分子内O-Michael加成反应, 构建了目标分子的核心A/B/D多环骨架结构123124.
图式39 Frontier团队的工作(2013)

Scheme 39 Work from the Frontier group (2013)

3 Aldol-Michael串联反应

3.1 Aldol-O-Michael串联反应

2008年, Woggon团队[57]在具有自由基断链抗氧化功能的vitamin E家族chromanol类天然产物α-toco- pherol的全合成中, 利用脯氨酸衍生物127催化的插烯aldol-O-Michael-缩醛化串联反应, 构建了目标分子的核心骨架结构128 (Scheme 40). 在机理方面, 该反应经历了烯醛126衍生烯胺中间体对醛125的插烯aldol反应; 随之生成的共轭烯亚胺与酚发生分子内Michael加成; 最后, aldol产物醇与亚胺水解得到的醛生成半缩醛128. 2010年, 该团队[58]再次利用该反应, 完成了具有强效抗HIV活性的chromene类天然产物daurichromenic acid和具有人香草酸受体VR1拮抗活性的chromene类天然产物confluentin的全合成(Scheme 40).
图式40 Woggon团队的工作(2008, 2009)

Scheme 40 Work from the Woggon group (2008, 2009)

2009年, Bräse团队[59]同样利用上述反应, 完成了天然产物4-dehydroxydiversonol的形式合成(Scheme 41). 他们发现, 常用碱三乙胺(TEA)比催化剂127效果更好.
图式41 Bräse团队的工作(2009)

Scheme 41 Work from the Bräse group (2009)

2013年, Frontier团队[56]在phomactin A的合成研究中(Scheme 39), 也曾设计了三氟化硼乙醚促进的I-Michael-aldol-O-Michael串联模型反应, 一步构建了该分子的AB并环结构136 (Scheme 42). 使用金属类路易斯酸, 如TiCl4和MgI2, 最后的O-Michael反应无法发生, 只能生成I-Michael-aldol产物137. 作者认为, 这是由于Ti4+和Mg2+等离子会通过螯合作用与分子内羟基和羰基两个氧原子结合, 形成了不利于O-Michael反应发生的六元过渡态.
图式42 Frontier团队的工作(2013)

Scheme 42 Work from the Frontier group (2013)

2015年, 丁寒锋团队[60]在二萜steenkrotin A的全合成中, 利用三酮138的分子内aldol缩合反应, 构建了全合成中目标分子的最后一个六元环, 分为两条路线(Scheme 43). 由于反应体系为碱性的甲醇溶液, 分子内aldol缩合反应还伴随着C(11)位甲基部分差向异构化-去苯甲酰化-O-Michael加成的串联反应. 与高栓虎的工作(Scheme 29)类似, 产物139140中的甲氧基是多余的, 需要后续通过E1CB消除反应来剔除. 在路线1中, 所需的产物140占比较低, 需要进一步通过用碱DBU异构化主产物139来大量制备. 随后, 他们通过氧化-还原策略, 翻转了C(7)位的羟基立体中心, 以线性4步, 合成了化合物143. 然而, 在最后一步碱性下的E1CB消除反应中, 他们意外发现, 刚刚被修正的C(7)位立体中心会再通过插烯型retro aldol-aldol串联反应发生消旋, 导致生成一部分C(7)-epi-steenkrotin A. 受此现象启发, 在路线2中, 他们巧妙设计出了三酮138的分子内aldol缩合-C(11)位甲基完全差向异构化-去苯甲酰化-插烯型retro aldol-aldol-O-Michael串联反应, 将化合物143的合成路线从之前的4步缩短到了1步.
图式43 丁寒锋团队的工作(2015)

Scheme 43 Work from the Ding group (2015)

2022年, 阳铭团队[61]在具有潜在治疗炎症性肠病作用的grayanoid类天然产物mollanol A的全合成中, 利用甲基烯酮145的插烯aldol-MOM去保护-O-Michael串联反应, 构建了目标分子的B/E环结构146 (Scheme 44).
图式44 阳铭团队的工作(2022)

Scheme 44 Work from the Yang group (2022)

2024年, 贾彦兴团队[62]利用基于仿生aldol反应的骨架多样化策略, 完成了八个苍白球菌(pallavicinia)二萜的多样性全合成(Scheme 45). 他们先是在碱性条件下实现二酮147的C(2)-C(8)跨环aldol反应, 构建了桥环骨架148; 148经一系列转化得到非对映异构体烯酯149150; 149150在碱性下发生O-Michael-双键迁移串联反应, 并进一步被氧化, 得到了二萜(-)-pal- lavicinin (153)和(+)-neopallavicinin (154). 随后, 他们通过引入C(2)双键改变了aldol反应位点——在酸性下, 二酮155发生C(4)-C(8)跨环aldol-O-Michael串联反应, 得到了二萜(+)-pallambin C (157)和(+)-pallambin D (158). 其中, 跨环aldol反应在温和弱酸磷酸二苯酯条件下收率较高; 然后, 在一锅中直接加入对甲苯磺酸(PTSA)可引发O-Michael反应. 该串联反应亦可直接由对甲苯磺酸引发, 但收率较低. 作者将此归咎于原料155对强酸的敏感性. (+)-pallambin C (157)和(+)- pallambin D (158)在光照下被进一步转化为了其它四种二萜(+)-pallambin A (159)、(+)-pallambin B (160)、(+)-pallaviambin A (161)和(+)-pallaviambin B (162). 该工作体现了仿生合成策略在天然产物全合成中的巨大潜力.
图式45 贾彦兴团队的工作(2024)

Scheme 45 Work from the Jia group (2024)

3.2 Aldol-N-Michael串联反应

2011年, Bräse团队[63]在具有抗癌活性的marmycins类天然产物的合成研究中, 利用利用二异丙胺促进的插烯aldol-N-Michael-缩醛化串联反应, 构建了目标分子的核心骨架结构164 (Scheme 46).
图式46 Bräse团队的工作(2011)

Scheme 46 Work from the Bräse group (2011)

2018年, Trauner团队[37]在norhasubanan型生物碱stephadiamine的全合成(Scheme 23)中, 意外发现, 用甲醇钠的甲醇溶液处理酮酯165, 可引发aldol-氰基加成- retro O-Michael-N-Michael串联反应, 构建了目标分子的氮杂[4.3.3]螺桨烷母核166 (Scheme 47). 该反应形成了两个环、一根C—C键、一根C—N键和两个立体中心.
图式47 Trauner团队的工作(2018)

Scheme 47 Work from the Trauner group (2018)

4 总结与展望

综上所述, 按照Michael/aldol反应发生的先后顺序和Michael加成中亲核试剂的不同原子类型进行分类, 以四十余篇已报道的天然产物合成研究为例, 介绍了九类Michael/aldol串联环化反应在天然产物合成中的应用. 一方面, 该反应在构建复杂天然产物分子的核心骨架中显示出巨大潜力; 另一方面, 该反应在复杂分子的后期修饰方面亦具有显著优势, 为天然产物的简洁合成提供了多样化的途径和灵活的操作空间. 虽然, 该类反应在合成中已被广泛应用, 成果斐然, 但在底物的适用性、官能团兼容性以及反应的选择性等方面仍旧存在一定局限. 21世纪以来新发展的有机小分子催化方法[64-67]在该反应中应用颇多, 并以优良的反应选择性著称, 但依然具有收率不高、反应时间长及转化不完全等效率方面的缺陷. 未来, 开发条件更为温和、转化效率更高及操作更为简单的合成方法学, 仍将是该反应发展历程中兼具挑战和应用价值的重要课题.
(Zhao, C.)
[1]
Tietze L. F.; Beifuss U. Angew. Chem., Int. Ed. Engl. 1993, 32, 131.

DOI

[2]
Bai L.; Jiang X. Chem Catal. 2023, 3, 1.

[3]
Huang G.; Li X. Curr. Org. Synth. 2017, 14, 568.

DOI

[4]
Hagiwara H. Nat. Prod. Commun. 2021, 16, 1.

[5]
Zhang M.; Sha F.; Wu X. Chin. J. Org. Chem. 2025, 45, 1369 (in Chinese).

DOI

(张明美, 沙风, 伍新燕, 有机化学, 2025, 45, 1369.)

DOI

[6]
Schetter B.; Mahrwald R. Angew. Chem., Int. Ed. 2006, 45, 7506.

DOI

[7]
Kalesse M.; Brodmann T.; Lorenz M.; Schäckel R.; Simsek S. Synlet. 2009, 2, 174.

[8]
Mandal S.; Mandal S.; Ghosh S. K.; Ghosh A.; Saha R.; Banerjee S.; Saha B. Synth. Commun. 2016, 46, 1327.

DOI

[9]
He Q.; Li J.; Yu S.; Wu D.; Ye J.; Huang P. Acta Chim. Sinic. 2023, 81, 1265 (in Chinese).

DOI

(何倩, 李杰, 喻思佳, 吴东坪, 叶剑良, 黄培强, 化学学报, 2023, 81, 1265.)

DOI

[10]
Liu Z.-Q. Curr. Org. Chem. 2018, 22, 1347.

DOI

[11]
Heravi M. M.; Alipour B.; Zadsirjan V.; Malmir M. Asian J. Org. Chem. 2023, 12, 1.

[12]
Cagide‐Fagín F.; Alonso R. Eur. J. Org. Chem. 2010, 2010, 6741.

DOI

[13]
Li P.; Payette J. N.; Yamamoto H. J. Am. Chem. Soc. 2007, 129, 9534.

DOI

[14]
Hong B. C.; Hsu C. S.; Lee G. H. Chem. Commun. 2012, 48, 2385.

DOI

[15]
McNulty J.; Zepeda-Velazquez C. Angew. Chem., Int. Ed. 2014, 53, 8450.

DOI

[16]
Tan D. X.; Zhou J.; Liu C. Y.; Han F. S. Angew. Chem., Int. Ed. 2020, 59, 3834.

DOI

[17]
Zhou J.; Tan D. X.; Han F. S. Angew. Chem., Int. Ed. 2020, 59, 18731.

DOI

[18]
Ding X.-H.; Li X.; Liu D.; Cui W.-C.; Ju X.; Wang S.; Yao Z.-J. Tetrahedro. 2012, 68, 6240.

DOI

[19]
Varga S.; Angyal P.; Martin G.; Egyed O.; Holczbauer T.; Soos T. Angew. Chem., Int. Ed. 2020, 59, 13547.

DOI

[20]
Tan D.-X.; Zhou J.; Gu C.-Y.; Li Z.-Y.; Shen Y.-J.; Han F.-S. Che. 2025, 102440.

[21]
Martinez L. P.; Umemiya S.; Wengryniuk S. E.; Baran P. S. J. Am. Chem. Soc. 2016, 138, 7536.

DOI

[22]
Mitsugi K.; Takabayashi T.; Ohyoshi T.; Kigoshi H. Org. Lett. 2022, 24, 4635.

DOI

[23]
Zhang Y. H.; Deng L. H.; Tan D. X.; Han F. S. Angew. Chem., Int. Ed. 2025, 64, e202423944.

[24]
Yao W.; Liu Z.; Ling H.; Wang H.; Zheng H.; Wang S. H.; Zhu D. Y.; Zhang S. Y.; Chen X. J. Am. Chem. Soc. 2025, 147, 15963.

DOI

[25]
Sun D.; Chen R.; Tang D.; Xia Q.; Zhao Y.; Liu C. H.; Ding H. J. Am. Chem. Soc. 2023, 145, 11927.

DOI

[26]
Kaplan W.; Khatri H. R.; Nagorny P. J. Am. Chem. Soc. 2016, 138, 7194.

DOI PMID

[27]
Huang X.; Song L.; Xu J.; Zhu G.; Liu B. Angew. Chem., Int. Ed. 2013, 52, 952.

DOI

[28]
Nazef N.; Davies R. D. M.; Greaney M. F. Org. Lett. 2012, 14, 3720.

DOI PMID

[29]
Chiu P.; Chen B.; Cheng K. F. Tetrahedron Lett. 1998, 39, 9229.

DOI

[30]
Chiu P.; Szeto C.-P.; Geng Z.; Cheng K.-F. Org. Lett. 2001, 3, 1901.

PMID

[31]
Chiu P.; Szeto C. P.; Geng Z.; Cheng K. F. Tetrahedron Lett. 2001, 42, 4091.

DOI

[32]
Sass D. C.; Gomes Heleno V. C.; Callegari Lopes J. L.; Constantino M. G. Tetrahedron Lett. 2008, 49, 3877.

DOI

[33]
Sass D. C.; Heleno V. C.; Morais G. O.; Lopes J. L.; Lopes N. P.; Constantino M. G. Org. Biomol. Chem. 2011, 9, 6148.

DOI

[34]
Schwartz K. D.; White J. D. Org. Lett. 2011, 13, 248.

DOI PMID

[35]
Mukherjee H.; McDougal N. T.; Virgil S. C.; Stoltz B. M. Org. Lett. 2011, 13, 825.

DOI PMID

[36]
Carlsen P. N.; Mann T. J.; Hoveyda A. H.; Frontier A. J. Angew. Chem., Int. Ed. 2014, 53, 9334.

DOI

[37]
Hartrampf N.; Winter N.; Pupo G.; Stoltz B. M.; Trauner D. J. Am. Chem. Soc. 2018, 140, 8675.

DOI PMID

[38]
Wang S.; Zhong C.; Huang Y.; Lu P. Angew. Chem., Int. Ed. 2024, 63, e202400515.

[39]
Catino A. J.; Sherlock A.; Shieh P.; Wzorek J. S.; Evans D. A. Org. Lett. 2013, 15, 3330.

DOI

[40]
Lesch B.; Brase S. Angew. Chem., Int. Ed. Engl. 2004, 43, 115.

DOI

[41]
Bräse S.; Lesch B.; Toräng J.; Nieger M. Synthesi. 2005, 11, 1888.

[42]
Nicolaou K. C.; Sun Y. P.; Peng X. S.; Polet D.; Chen D. Y. Angew. Chem., Int. Ed. 2008, 47, 7310.

DOI

[43]
Nicolaou K. C.; Peng X.-S.; Sun Y.-P.; Polet D.; Zou B.; Lim C. S.; Chen D. Y. K. J. Am. Chem. Soc. 2009, 131, 10587.

DOI PMID

[44]
Yue Z.; Lam H. C.; Chen K.; Siridechakorn I.; Liu Y.; Pudhom K.; Lei X. Angew. Chem., Int. Ed. Engl. 2020, 59, 4115.

DOI

[45]
Kawamoto M.; Sato S.; Enomoto M.; Ogura Y.; Kuwahara S. Org. Lett. 2019, 21, 10099.

DOI PMID

[46]
Que Y.; Shao H.; He H.; Gao S. Angew. Chem., Int. Ed. 2020, 59, 7444.

DOI

[47]
Qian H.; Zhao W.; Sung H. H.; Williams I. D.; Sun J. Chem. Commun. 2013, 49, 4361.

DOI

[48]
Chavan S.; Dhawane A.; Kalkote U. Synlet. 2008, 18, 2781.

[49]
Ono M.; Nishimura K.; Tsubouchi H.; Nagaoka Y.; Tomioka K. J. Org. Chem. 2001, 66, 8199.

PMID

[50]
Huang Y. M.; Liu Y.; Zheng C. W.; Jin Q. W.; Pan L.; Pan R. M.; Liu J.; Zhao G. Chem.-Eur. J. 2016, 22, 18339.

DOI

[51]
Jang D.; Choi M.; Chen J.; Lee C. Angew. Chem., Int. Ed. 2021, 60, 22735.

DOI

[52]
Banachowicz P.; Buda S. RSC Adv. 2019, 9, 12928.

DOI

[53]
Biduś N.; Banachowicz P.; Buda S. Tetrahedro. 2020, 76, 131397.

DOI

[54]
Dai Y.; Shen Y.; Gao S. Chin. J. Org. Chem. 2018, 38, 1608 (in Chinese).

DOI

(代义华, 申艳芳, 高栓虎, 有机化学, 2018, 38, 1608.)

DOI

[55]
Sloman D. L.; Bacon J. W.; Porco J. A., Jr. J. Am. Chem. Soc. 2011, 133, 9952.

DOI PMID

[56]
Ciesielski J.; Gandon V.; Frontier A. J. J. Org. Chem. 2013, 78, 9541.

DOI PMID

[57]
Liu K.; Chougnet A.; Woggon W. D. Angew. Chem., Int. Ed. 2008, 47, 5827.

DOI

[58]
Liu K.; Woggon W. D. Eur. J. Org. Chem. 2010, 2010, 1033.

DOI

[59]
Bräse S.; Volz N.; Bröhmer M.; Nieger M. Synlet. 2009, 4, 550.

[60]
Pan S.; Xuan J.; Gao B.; Zhu A.; Ding H. Angew. Chem., Int. Ed. 2015, 54, 6905.

DOI

[61]
Wang Y.; Zhao R.; Yang M. J. Am. Chem. Soc. 2022, 144, 15033.

DOI

[62]
Chen L.; Chen P.; Zhang X.; Zhang Y.; Jia Y. Che. 2024, 10, 2473.

[63]
Bourcet E.; Brohmer M. C.; Nieger M.; Brase S. Org. Biomol. Chem. 2011, 9, 3136.

DOI

[64]
Grondal C.; Jeanty M.; Enders D. Nat. Chem. 2010, 2, 167.

DOI

[65]
Pellissier H. Curr. Org. Chem. 2021, 25, 1457.

DOI

[66]
Marques-Lopez E.; Herrera R. P.; Christmann M. Nat. Prod. Rep. 2010, 27, 1138.

DOI

[67]
Parella R.; Jakkampudi S.; Zhao J. C. G. ChemistrySelec. 2021, 6, 2252.

DOI

Outlines

/