Article

Highly Efficient Semi-transparent Organic Solar Cells based on a New Near-infrared Acceptor

  • Yuanyuan Li a ,
  • Yunfan Yang a ,
  • Qingya Wei b ,
  • Xiang Xu c ,
  • Jun Yuan a ,
  • Ruisong Wang d ,
  • Yingping Zou , a, *
Expand
  • a College of Chemistry and Chemical Engineering, Central South University, Changsha 410083
  • b School of Electronics and Information, Hangzhou Dianzi University, Hangzhou 310018
  • c 21C LAB, Contemporary Amperex Technology Co., Limited, Ningde 352102, China
  • d Hunan Xingxiang Investment Holding Group Co., Ltd, Changsha 410029

† contributed equally to this work

Received date: 2025-07-05

  Online published: 2025-09-01

Supported by

National Natural Science Foundation of China(52125306)

National Natural Science Foundation of China(U24A2081)

National Natural Science Foundation of China(22379167)

Abstract

In this work, we designed and synthesized a new near-infrared (NIR) acceptor material W-4Cl featuring a narrow bandgap of 1.25 eV. W-4Cl exhibits a maximum absorption peak (λmax) at 892 nm and an absorption edge (λonset) at 990 nm, outperforming classical NIR acceptors (e.g., Y6: λmax 836 nm). Blending with the donor PTB7-Th, conventional organic solar cells (OSCs) and semi-transparent organic solar cells (ST-OSCs) were fabricated. By employing 1-chloronaphthalene (CN) as an additive and optimizing its content to 4% (φ), the OSCs based on PTB7-Th:W-4Cl obtained a power conversion efficiency (PCE) of 14.10%, with a high JSC of 26.59 mA• cm−2, VOC of 0.764 V, and FF of 68.44%, which is one of the highest reported values for PTB7-Th-based OSCs. In order to improve the light utilization efficiency (LUE) of ST-OSCs, the donor dilution strategy was adopted using a PTB7-Th:W-4Cl mass ratio of 1∶2, reducing the content of the strongly visible-absorbing PTB7-Th donor to balance PCE and average visible transmittance (AVT). Subsequently, the thickness of top electrode consisting of ultra-thin Ag layer and Cu seed layer was finely tuned to 3 nm Cu/8 nm Ag for optimal conductivity-transparency compromise. Besides, the MoO3 cover layer was employed with optimized film thickness of 35 nm. Consequently, the optimized ST-OSCs achieved a high color rendering index (CRI) of 86.53, an AVT of 44.45%, and an LUE of 3.81%. Charge dynamics analysis confirmed enhanced exciton dissociation (95.4%) and balanced carrier mobility (μh/μe=1.079) in optimized devices. This performance meets the requirements for applications such as building windows and automotive sunroofs, positioning the work among top-reported ST-OSCs in LUE-AVT-CRI synergy.

Cite this article

Yuanyuan Li , Yunfan Yang , Qingya Wei , Xiang Xu , Jun Yuan , Ruisong Wang , Yingping Zou . Highly Efficient Semi-transparent Organic Solar Cells based on a New Near-infrared Acceptor[J]. Acta Chimica Sinica, 2025 , 83(10) : 1157 -1165 . DOI: 10.6023/A25070248

1 引言

高性能的太阳能电池技术能够解决当前面临的环境问题与能源挑战. 在过去的数十年中, 得益于受体材料和器件工艺[1-5]的突破, 有机太阳能电池(OSCs)的器件性能得以快速提高. 其中, 半透明有机太阳能电池(ST-OSCs)在多功能发电窗、温室大棚等领域展现出巨大的商业化应用前景[6]. 与无机太阳能电池不同, OSCs活性层材料的分子结构可设计性强, 便于精准调控其物理化学性质, 实现对太阳光谱的选择性吸收, 有助于实现高可见光透过率(AVT). 近年来快速发展的A-DA'D-A型小分子受体(SMAs), 通过其多重分子内D-A相互作用, 显著拓宽了材料的近红外吸收范围. 这种可见光透过性与近红外光捕获的结合, 为兼顾高AVT和高光电转换效率(PCE)提供了可能, 是制备高性能ST-OSCs的有效策略[7]. 目前ST-OSCs的PCE超过14%, AVT超过20%, 光利用率(LUE=PCE×AVT)超过6%[8-10], 显色指数(CRI)>90[11]. 平衡ST-OSCs的PCE和AVT, 是得到高LUE的关键[12]. 同时, CRI反映了透过ST-OSCs观察到的颜色与真实颜色之间的差距, 是评估ST-OSCs显色能力的重要参数. 通过协同材料设计与器件工艺开发具有高LUE和CRI的ST-OSCs器件十分重要.
目前高效给/受体材料的吸收范围大多集中在400~900 nm之间(给体: 400~700 nm, 受体: 600~900 nm), 在可见光区域(400~780 nm)仍具有较强的吸收, 导致器件AVT降低; 而在近红外区(>780 nm)的吸收能力有限, 制约了PCE的提升. 为平衡ST-OSCs的AVT与PCE以实现高LUE, 通常采用的策略包括以下三方面: (1)通过分子设计开发吸收红移至近红外区(800~1100 nm)的新型受体材料[13-14], 通过与近红外给体(如PTB7-Th[15-16])形成互补吸收增强光捕获; (2)通过稀释给体策略[17-18]降低强可见光吸收的给体材料的含量以提升AVT, 但需优化界面结构以避免因给/受体界面减少导致的激子解离与电荷传输损失, 从而影响PCE; (3)通过设计合理的光学工程策略, 例如选择具有高导电率的透明金属电极、导电聚合物以及导电玻璃等作为电极材料, 调节透明电极厚度、构建光子晶体和增反射层等调整ST-OSCs的透射光谱.
随着材料设计、器件工艺和光学工程等多方面的深入研究, ST-OSCs 经历了系列发展. 其中, 光伏材料的创新仍是 ST-OSCs 取得快速提升的关键. 因此, 我们在高效低成本A-DAD-A型并五环SMAs[19]的基础上, 以噻吩烷氧链单元作为π桥连单元, 连接并五稠环中心骨架以及2-(5,6-二氯-3-氧代-2,3-二氢-1H-茚-1-亚基)丙二腈(IC-2Cl)端基, 合成得到受体材料W-4Cl, 该受体具有1.25 eV的窄带隙. 本工作将新型近红外材料W-4Cl作为受体, 与理想的ST-OSCs近红外给体PTB7-Th搭配制备半透明器件. 通过优化添加剂氯萘(CN)含量, 基于PTB7-Th:W-4Cl的不透明器件实现了14.10%高PCE, 开路电压(VOC)为0.764 V, 电流密度(JSC)为26.59 mA•cm−2, 填充因子(FF)为68.44%, 是目前基于给体PTB7-Th的最高PCE之一. 随后, 我们探究了器件的激子解离和电荷传输性能, 研究了优化后器件实现高PCE的原因. 进一步对给/受体比例、顶电极和覆盖层进行优化, 当给/受体质量比为1∶2, 顶电极为3 nm Cu/8 nm Ag、以35 nm三氧化钼(MoO3)作为覆盖层时, ST-OSCs获得了3.81%的LUE和86.53的CRI.

2 结果与讨论

2.1 活性层材料的光电特性

聚合物给体材料PTB7-Th以及近红外小分子受体材料W-4Cl的结构式如图1(a)所示. PTB7-Th是最常用的近红外给体材料之一. W-4Cl在并五环受体的基础上, 以支链烷氧噻吩作为π桥连单元, 并以IC-2Cl封端合成得到[20-23]. W-4Cl的合成参考已报道文献[4], 核磁共振氢谱和质谱见支持信息图S1和S2. 近红外给体PTB7-Th与近红外受体W-4Cl的薄膜紫外-可见吸收光谱如图1(b)所示, 相关性能参数列于表1. 一些常见的给/受体材料的薄膜吸收性质列于支持信息表S1. 与其他材料相比(Y6, BTP-eC9, L8-BO等), W-4Cl吸收明显红移, 展现了独特的光学特性.
图1 (a)聚合物给体材料PTB7-Th; (b)近红外小分子受体材料W-4Cl的分子结构式; (c) PTB7-Th和W-4Cl薄膜的紫外-可见吸收光谱; (d)半透明有机太阳能电池的结构示意图

Figure 1 (a) Polymer donor material PTB7-Th; (b) Molecular structure of NIR small molecule acceptor material W-4Cl; (c) UV-visible absorption spectra of PTB7-Th and W-4Cl thin films; (d) Device structure of semi-transparent organic solar cell

表1 PTB7-Th和W-4Cl薄膜的吸收特性

Table 1 Absorption properties of PTB7-Th and W-4Cl films

Donor/Acceptor λmax/nm λonset/nm Eopt/eV
PTB7-Th 698 770 1.61
W-4Cl 892 990 1.25
PTB7-Th薄膜在698 nm具有最大吸收峰(λmax), 其吸收边带(λonset)延伸至770 nm, 相比于大多数常见的给体材料, 具有更加红移的吸收和更窄的带隙, 有利于透过可见光, 进而提升ST-OSCs器件的AVT. 窄带隙受体可高效捕获近红外光, W-4Cl的λmaxλonset分别为892 nm和990 nm, 相较Y6受体的λmax(836 nm)和λonset(930 nm)具有明显的红移. W-4Cl在800~1000 nm表现出强的吸收, 能够与给体PTB7-Th吸收互补, 有利于光子的收集, 展示出W-4Cl作为近红外受体在ST-OSCs中的应用潜力.

2.2 不透明器件光伏性能

首先, 我们制备了不透明OSCs, 并优化其器件性能. 不透明器件的器件结构为氧化铟锡(ITO)/聚(3,4-乙烯基二氧噻吩):聚(苯乙烯磺酸盐)(PEDOT:PSS) (40 nm)/活性层/PDINN (5 nm)/Ag. 活性层以氯仿作为加工溶剂, 给体/受体质量比为1∶1.2, 浓度为16 mg•mL−1. 以CN为添加剂, 并通过改变CN含量调控器件性能. 结果表明(图2表2), 随着CN含量的增加, 器件VOC逐渐下降, 当CN含量(体积分数)由0%增加至5%时, VOC由0.780 V下降至0.762 V. 虽然添加CN的器件VOC略有下降, 但CN的添加对提升器件JSCFF具有显著作用, OSCs的JSC由0% CN添加的25.31 mA•cm−2可增加至4% CN添加的26.59 mA•cm−2, FF由0% CN添加的57.65%可增加至5% CN添加的70.33%. 在4% CN添加含量时, 器件VOC (0.764 V)、JSC (26.59 mA•cm−2)和FF (68.44%)实现平衡, 获得了14.10%的PCE, 是目前PTB7-Th基器件的最优PCE之一. 已报道的基于给体PTB7-Th的OSCs光伏性能参数如表3所示.
图2 不同添加剂含量的PTB7-Th:W-4Cl基不透明器件的(a) J-V曲线和(b) EQE曲线

Figure 2 (a) J-V curve and (b) EQE curve of PTB7-Th:W-4Cl-based opaque device with different additive content

表2 不同添加剂含量的PTB7-Th:W-4Cl基不透明器件光伏参数

Table 2 Photovoltaic parameters of the PTB7-Th:W-4Cl-based opaque device with different additive content

φ(CN)/% VOC/V JSC/(mA•cm−2) FF/% Jcal/(mA•cm−2) PCE/%
0 0.780 25.31 57.65 24.11 11.23
1 0.769 25.33 64.11 24.29 12.50
2 0.768 25.93 66.81 25.01 13.32
3 0.764 25.87 69.33 24.90 13.73
4 0.764 26.59 68.44 25.39 14.10
5 0.762 24.50 70.33 23.68 13.15
表3 已报道的PTB7-Th基OSCs性能参数

Table 3 Photovoltaic parameters of the previously reported OSCs based on PTB7-Th

Blend film VOC/V JSC/(mA•cm−2) FF/% PCE/% Ref.
PTB7-Th:PC71BM 0.79 16.92 71.5 9.54 [24]
PTB7-Th:MDCzM-4H 1.03 15.87 62.2 10.17 [25]
PTB7-Th:MDCzM-4F 0.965 20.92 69.8 14.09 [25]
PTB7-Th:L8-BO 0.72 23.4 62.4 10.5 [26]
PTB7-Th:BTPSV-4F 0.66 28.4 69.5 13.0 [27]
PTB7-Th:BTPSeV-4F 0.66 30.1 71.4 14.2 [27]
PTB7-Th: BZO-4Cl 0.706 28.33 70.62 14.12 [11]
PTB7-Th:COTIC-4F 0.551 24.95 61 8.41 [28]
PTB7-Th:ATT-9 0.663 30.0 67.2 13.35 [29]
PTB7-Th:DTC-T-F 0.78 17.46 65 8.8 [30]
PTB7-Th:F-BTA5 1.03 15.29 65.78 10.36 [31]
PTB7-Th:3TT-FIC 0.66 25.89 71.20 12.21 [32]
PTB7-Th:O-IDTBR 1.00 15.2 63.0 9.57 [33]
PTB7-Th: FOIC 0.734 22.94 65.33 11.01 [34]
器件的外量子效率(EQE)曲线和积分电流如图2b所示, EQE图谱在400~950 nm处均存在较高的响应值, 这和给体材料PTB7-Th和受体材料W-4Cl的吸收光谱相一致. 其中, 无添加剂和4% CN添加剂含量的EQE图谱在0~400 nm处存在较大差异, 这是由于使用的不同ITO玻璃片造成的, 未对最终结果产生影响. 积分电流的参数见表2 (Jcal), 0% CN至5% CN器件的积分电流值分别为24.11、24.29、25.01、24.90、25.39、23.68 mA•cm−2, 与实际测试得到的JSC误差均在5%以内, 反映了J-V测试的准确性.

2.3 激子解离、电荷传输和电荷复合

图3所示, 为了研究PTB7-Th:W-4Cl器件的激子解离性能, 测试了器件的Jph-Veff曲线. 分别测试1个太阳光照下和暗态下不同偏压下的J-V曲线, 光电流密度Jph由不同偏压对应的电流值相减得到, V0为当Veff=0 V时对应的电压值, 有效电压VeffV0减去外加偏压Vb. 当Veff=2.5 V时, 对应饱和光电流密度Jsat. 利用激子解离效率(ηdiss)分析器件的激子解离性能, ηdissJSCJsat的比值. 无添加剂处理的器件ηdiss较低, 为93.9%, 经4% CN处理的器件ηdiss增加至95.4%. 同时相比于未经CN处理的PTB7-Th:W-4Cl器件, 添加4% CN的器件更快到达饱和并获得更高的Jsat.
图3 PTB7-Th:W-4Cl器件的Veff -Jph曲线

Figure 3 Veff -Jph curves of the PTB7-Th:W-4Cl-based device

此外, 器件的电荷收集性能可通过电荷收集效率ηcoll, 即1个太阳光照下测试得到的最大电流(Jmax)与Jsat的比值来评价. 如表4所示, 添加4% CN的PTB7-Th:W-4Cl器件对应的ηcoll为81.4%, 高于未经添加剂处理器件的ηcoll值(73.8%), 反映了添加剂CN对器件电荷收集性能的提升作用, 这与含4% CN器件的高JSCFF结果一致.
表4 含0%和4% CN的PTB7-Th:W-4Cl器件的电荷传输性能参数

Table 4 Detailed charge transport performance for PTB7-Th:W-4Cl devices with 0% and 4% CN

Blend film Pdiss Pcoll α nkT/q μh/(cm2•V−1•s−1) μe/(cm2•V−1•s−1) μe/μh
0% CN 93.9% 73.8% 0.995 1.20 6.6×10−5 5.3×10−5 0.803
4% CN 95.4% 81.4% 0.999 1.19 7.6×10−5 8.2×10−5 1.079
通过探究器件的J-V曲线与光强(Plight)的关系, 进一步揭示器件的电荷复合情况, 如图4a图4b所示. 图4a反映JSCPlight的关系, 同时JSCPlightα成正比, 若α越接近于1, 表明具有更少的双分子复合. 未掺杂CN的PTB7-Th:W-4Cl器件的α为0.995, 而添加4% CN的PTB7-Th:W-4Cl器件的α为0.999, 表明添加剂CN可减少器件双分子复合. 图4b反映VOCPlight的关系, VOCPlight的关系描述为VOC=(nkT/q)•ln(Plight), 0% CN与4% CN添加的PTB7-Th:W-4Cl器件的斜率分别为1.20kT/q和1.19kT/q. 有添加剂CN的器件对应更小的n值, 反映了器件更少的单分子复合或陷阱辅助复合.
图4 基于0% CN和4% CN的PTB7-Th:W-4Cl器件: (a) JSC-Plight特性曲线; (b) VOC-Plight特征曲线; (c)电子迁移率曲线; (d)空穴迁移率曲线

Figure 4 PTB7-Th:W-4Cl device with 0% CN and 4% CN content: (a) Characteristic curve of JSC-Plight; (b) Characteristic curve of VOC-Plight; (c) Electron mobility curve; (d) Hole mobility curve

图4c4d所示, 利用空间电荷限制电流(SCLC)测试方法探究了PTB7-Th:W-4Cl器件的电荷传输性能, 得到了器件的电子和空穴迁移率(μeμh), 具体的性能参数列于表4. 未添加CN器件的μeμh分别为5.3×10−5和6.6×10−5 cm2•V−1•s−1, 对应的μe/μh值为0.803, 与平衡值1偏离较远, 表明电池具有不平衡的电荷传输. 而添加4% CN器件具有更高的μeμh值, 分别为8.2×10−5和7.6×10−5 cm2•V−1•s−1, 对应的μe/μh值为1.079. 添加4% CN的器件更高且更平衡的迁移率值反映了更加优异的电荷传输性能, 因此添加4% CN的PTB7-Th:W-4Cl器件的JSCFF值更佳. 以上的数据测试及分析结果表明添加剂对于优化器件激子解离、电荷传输以及载流子复合的重要作用.

2.4 高效半透明器件

与不透明器件不同, ST-OSCs的关键性能指标还包括CRI、AVT以及LUE. CRI反映了器件对物体真实颜色的还原能力. AVT是指380~780 nm波长范围内透射率与人眼敏感度曲线的加权平均值, 表达式见支持信息公式S1-a, T(λ)为器件的透射光谱, V(λ)使用CIE标准人眼敏感度曲线. AVT通常与器件的PCE呈负相关. LUE为PCE与AVT的乘积, 反映了器件在特定透光条件下将光能转化为电能的综合性能. 要想实现高性能ST-OSCs器件, PCE与AVT之间的权衡十分重要. 给体PTB7-Th的吸收光谱集中在600~800 nm区域, 与可见光区域(380~780 nm)存在重叠的区域, 因此适当降低给体PTB7-Th在器件中的含量, 将有利于提升器件的AVT.
具有不同D/A质量比的PTB7-Th:W-4Cl器件的J-V曲线以及透射光谱曲线如图5a5b所示. 不同D/A比的ST-OSCs器件性能参数列于表5. PTB7-Th含量降低后, VOCJSC略有下降, AVT和CRI有显著提升. 当D/A比从1∶1.2调整为1∶2时(受体比例增加), AVT由30.44%增加至33.51%, CRI由69.84增加至75.55, PCE虽稍有降低, 由8.67%降至8.32%, 但LUE由2.63%增加至2.81%. 当给体含量降低, D/A为1∶3时, 器件的AVT虽稍有提升, 但PCE显著降低, 因此, D/A比为1∶3器件LUE为2.48%, 低于1∶1.2的LUE (2.81%). 综合而言, 当PTB7-Th:W-4Cl的D/A比为1∶2时, 器件的LUE最佳, 因此后续优化过程中, PTB7-Th:W-4Cl质量比均选择1∶2.
图5 (a)不同D/A比值PTB7-Th:W-4Cl半透明器件的J-V曲线; (b)透射曲线

Figure 5 (a) J-V curves of PTB7-Th:W-4Cl semi-transparent devices with different D/A ratios; (b) Transmittance curve

表5 不同D/A比的PTB7-Th:W-4Cl半透明器件性能

Table 5 Photovoltaic performance of PTB7-Th:W-4Cl semi-transparent devices with different D/A ratios

D/A Ratio VOC/V JSC/(mA•cm−2) FF/% PCE/% CRI AVT/% LUE/%
1∶1.2 0.757 19.92 57.4 8.67 69.84 30.44 2.63
1∶2 0.756 18.33 60.3 8.38 75.55 33.51 2.81
1∶3 0.755 16.76 57.7 7.32 76.21 33.90 2.48
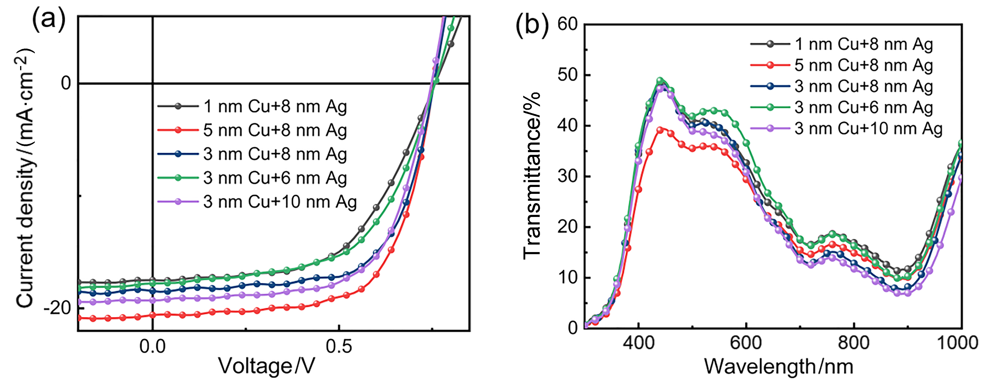
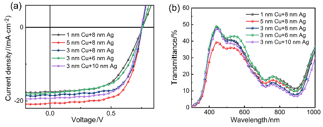
不透明电池通常使用约100 nm的Ag电极作为顶电极, 以确保Ag电极能够有效地捕获光活性层产生的载流子. 然而金属Ag的高反射能力使得有机太阳能电池的透明性降低. 因此ST-OSCs通常会降低Ag厚度, 来提升ST-OSCs的AVT. 然而, 当Ag电极厚度过薄时, 载流子的传输与收集性能受限, 造成器件性能的损失, 因此调控Ag的厚度对于ST-OSCs十分重要. 与此同时, 为了不影响器件的电荷传输性能, 本工作引入超薄Cu作为Ag电极的种子层, 以在确保超薄Ag的高AVT同时增加超薄Ag的导电性, 减少器件PCE的损耗[35].
不同Ag和Cu厚度对应的ST-OSCs的J-V曲线和透射率曲线如图6所示, 具体性能参数列于表6. 当ST-OSCs的Cu厚度为3 nm, Ag厚度为8 nm时, LUE最佳为3.28%. 随着Cu和Ag厚度的增加, ST-OSCs的JSC和PCE显著提升, 但AVT下降明显. 当Cu和Ag厚度降低时, 器件的PCE受到较大影响, 因此得到的LUE值均低于3 nm Cu和8 nm Ag制备的器件.
图6 (a)不同顶部电极结构的PTB7-Th:W-4Cl半透明器件J-V曲线; (b)透光率曲线

Figure 6 (a) J-V curves of PTB7-Th:W-4Cl semi-transparent devices with different top electrode structures; (b) Transmittance curve

表6 不同顶部电极结构PTB7-Th:W-4Cl半透明器件的性能参数

Table 6 Photovoltaic performance parameters of PTB7-Th:W-4Cl semi-transparent devices with different top electrode structures

Top electrode structures VOC/V JSC/(mA•cm−2) FF/% PCE/% AVT/% LUE/%
3 nm Cu+6 nm Ag 0.757 17.78 58.1 7.82 38.92 3.04
3 nm Cu+8 nm Ag 0.754 18.45 65.4 9.11 36.05 3.28
3 nm Cu+10 nm Ag 0.747 19.29 64.5 9.31 31.73 2.95
1 nm Cu+8 nm Ag 0.757 17.49 56.6 7.43 36.99 2.74
5 nm Cu+8 nm Ag 0.753 20.59 66.3 10.19 27.56 2.80
光学模拟表明, 不同厚度的MoO3覆盖层能够对ST-OSCs器件的AVT产生显著的影响. 为了进一步提升半透明器件性能, 高折射率的MoO3材料被用作覆盖层来提升器件的AVT[11], 其物理机制类似于正面减反射涂层(ARC), 作为背面介质层(沉积于半透明金属电极顶部), 通过光重定向机制平衡透射光与反射回活性层的二次吸收光[36]. 未采用MoO3覆盖层、采用35 nm MoO3和45 nm MoO3覆盖层的PTB7-Th:W-4Cl半透明器件的J-V曲线、EQE曲线和透射率曲线如图7所示, 相关性能参数汇总于表7. 与未采用MoO3覆盖层的器件相比, 蒸镀了MoO3的器件的PCE稍有下降, 但CRI显著提升. ST-OSCs器件的AVT并不会随着MoO3的增加而一直提升. 相比于45 nm MoO3覆盖层的器件的AVT而言, 35 nm MoO3覆盖层器件的AVT更高, 为44.45%, 具有较高的AVT, 35 nm MoO3覆盖层器件的PCE为8.58%, 最终得到的LUE为3.81%, 高于45 nm MoO3覆盖层的器件(2.95%)与未覆盖MoO3的器件(3.28%). 较高的ST-OSCs性能能够符合多场景的应用需求. ST-OSCs CIE 1931xyz色度图如图7d所示, 所制备的器件的颜色坐标为(0.3302, 0.3609), 与白点的颜色坐标十分接近, 反映了器件良好的视觉颜色感知性能.
图7 (a)不同MoO3结构的PTB7-Th:W-4Cl半透明器件J-V曲线; (b) EQE曲线; (c)透射率曲线; (d) CIE 1931xyz色度图

Figure 7 (a) J-V curves of PTB7-Th:W-4Cl semi-transparent devices with different MoO3 structures; (b) EQE curve; (c) Transmittance curve; (d) CIE 1931xyz chromaticity diagram

表7 不同MoO3结构的半透明器件性能参数

Table 7 Photovoltaic performance parameters of semi-transparent devices with different MoO3 structures

Top electrode structures VOC/V JSC/(mA•cm−2) FF/% PCE/% CRI AVT/% LUE/%
3 nm Cu+8 nm Ag 0.754 18.45 65.4 9.11 75.52 36.05 3.28
+35 nm MoO3 0.750 17.30 66.1 8.58 86.53 44.45 3.81
+45 nm MoO3 0.750 17.73 61.0 8.12 87.11 36.27 2.95
基于上述优化策略, 我们得到了CRI为86.53, LUE为3.81%的ST-OSCs器件, 在此基础上, 通过照片更加直观的反映了器件的显色能力, 如图89所示. 以背景(图8a图9a)作为对照参考, 未使用MoO3覆盖层的器件(图8b)颜色略有失真, 使用了MoO3覆盖层制备的器件(图8c9b)能够较为真实直观地反映真实的背景颜色.
图8 (a)背景图; (b)未沉积MoO3和(c)沉积35 nm MoO3 PTB7-Th: W-4Cl半透明器件(附在相机上), 以中南讲堂为背景拍摄

Figure 8 (a) Background picture; (b) Unvaporized MoO3 and (c) Vaporized 35 nm MoO3 PTB7-Th:W-4Cl semi-transparent device attached to the camera, taken with the Central South Lecture Hall

图9 (a)背景图; (b) PTB7-Th:W-4Cl透过半透明器件拍照图片

Figure 9 (a) Background picture; (b) PTB7-Th:W-4Cl translucent device to take pictures

3 结论

本工作针对ST-OSCs的AVT和LUE难以同时提升的问题, 将λmax位于892 nm和λonset位于990 nm的新型近红外受体材料W-4Cl与近红外给体PTB7-Th匹配, 制备半透明器件. 在制备半透明器件之前, 通过调整不透明器件添加剂含量, 获得最佳的不透明器件性能: 当CN含量为4%时, 光电转换效率为14.1%, 是基于PTB7-Th的OSCs最优PCE之一, 并在此基础上研究了不同添加剂含量器件的光电性质差异. 之后通过给体稀释策略调整活性层材料D/A比, 降低对可见光区域有着较强吸收的给体PTB7-Th的含量, 平衡半透明器件AVT和PCE. 随后, 通过优化半透明器件的光学结构, 选择超薄Cu作为种子层, 从而降低超薄Ag电极表面粗糙度[11], 形成有利于器件电荷传输的界面接触. 进一步通过MoO3作为覆盖层, 提升半透明器件AVT, 实现了CRI为86.53, AVT为44.45%, LUE为3.81%的半透明器件性能, 为近红外受体在ST-OSCs中的应用提供参考.

4 实验部分

半透明电池器件制备:
器件结构: ITO/PEDOT:PSS (40 nm)/活性层/PDINN (5 nm)/Cu(3 nm)/Ag(8 nm)/MoO3(35 nm).
ITO玻璃预处理: 将标记后的ITO玻璃分别用体积比为10∶1的去离子水和Decon90混合清洗液清洗一次, 去离子水清洗两次, 异丙醇清洗两次, 每次15 min. 在使用前用高纯氮气吹干, 放入干净的表面皿, 在紫外臭氧清洗机中处理20 min.
空穴传输层制备: 将PEDOT:PSS与去离子水按体积比1∶1混合, 经0.45 μm水系滤头过滤后, 在ITO基板上以5000 r•min−1旋转涂覆35 s, 并在150 ℃空气中烘烤15 min后, 转移至手套箱中冷却后备用.
活性层制备: 将质量比为1∶2的给体PTB7-Th和受体W-4Cl以16 mg•mL−1的浓度溶解在氯仿中, 室温搅拌1 h后, 加入4%体积比的CN, 继续搅拌15 min. 待已经旋涂有PEDOT:PSS的ITO玻璃冷却至室温后, 将混合溶液以3000 r•min−1的转速旋转涂覆在PEDOT:PSS层上, 放置于90 ℃的热台上退火10 min, 待自然冷却后制备电子传输层.
电子传输层制备: 以1 mg•mL−1的浓度比配置PDINN的甲醇溶液, 搅拌10 min. 以3000 r•min−1的转速在活性层的顶部沉积一层PDINN层, 持续30 s后. 用刮刀将需蒸镀顶电极的薄膜一侧刮去, 以便ITO作为底电极与导体Ag接触.
将已经旋涂有空穴传输层材料PEDOT:PSS、活性层材料PTB7-Th:W-4Cl、界面层材料PDINN的器件放入真空蒸镀舱中, 在1.5×10−5 kPa的真空条件下, 首先热蒸发厚度为3 nm的超薄Cu种子层, 再更换蒸发源后热蒸发8 nm的超薄Ag作为电极材料, 最后在Ag电极上热蒸发35 nm的MoO3(沉积速率为0.01 nm•s−1)作为覆盖层, 得到半透明器件.
Cheng, B.
[1]
Wang J.; Xue P.; Jiang Y.; Huo Y.; Zhan X. Nat. Rev. Chem. 2022, 6, 614.

[2]
Lin Y.; Wang J.; Zhang Z.-G.; Bai H.; Li Y.; Zhu D.; Zhan X. Adv. Mater. 2015, 27, 1170.

[3]
Feng L.; Yuan J.; Zhang Z.; Peng H.; Zhang Z.; Xu S.; Liu Y.; Li Y.; Zou Y. ACS Appl. Mater. Interfaces 2017, 9, 31985.

[4]
Yuan J.; Zhang Y.; Zhou L.; Zhang G.; Yip H.-L.; Lau T.-K.; Lu X.; Zhu C.; Peng H.; Johnson P. A.; Leclerc M.; Cao Y.; Ulanski J.; Li Y.; Zou Y. Joule 2019, 3, 1140.

DOI

[5]
Jiang X.; Qin S.; Meng L.; He G.; Zhang J.; Wang Y.; Zhu Y.; Zou T.; Gong Y.; Chen Z.; Sun G.; Liu M.; Li X.; Lang F.; Li Y. Nature 2024, 635, 860.

[6]
Zhou Z.; Yuan Z.; Yin Z.; Xue Q.; Li N.; Huang F. Green Energy Environ. 2024, 9, 992.

[7]
Li Y. K.; Guan S. T.; Li S. X.; Zuo L. J.; Chen H. Z. Acta Polym. Sin. 2024, 55, 1134 (in Chinese).

(李耀凯, 关诗陶, 李水兴, 左立见, 陈红征, 高分子学报, 2024, 55, 1134.)

[8]
Zhang Y.-F.; Chen W.-S.; Chen J.-D.; Ren H.; Hou H.-Y.; Tian S.; Ge H.-R.; Ling H.-H.; Zhang J.-L.; Mao H.; Tang J.-X.; Li Y.-Q. Adv. Energy Mater. 2024, 14, 2400970.

[9]
Guan S.; Li Y.; Yan K.; Fu W.; Zuo L.; Chen H. Adv. Mater. 2022, 34, 2205844.

[10]
Ding J.; Mou H.; Chen H.; Xu J.; Sun W.; Zhu J.; Wang Y.; Huang Y.; Li Y.; Li Y. Adv. Mater. 2025, 37, 2420439.

[11]
Xu X.; Wei Q.; Zhou Z.; He H.; Tian J.; Yip H.-L.; Fu Y.; Lu X.; Zhou Y.; Li Y.; Zou Y. Adv. Funct. Mater. 2024, 34, 2305017.

[12]
Li Y.; Huang X.; Sheriff Jr H. K.; Forrest S. R. Nat. Rev. Mater. 2022, 8, 186.

[13]
Cui Y.; Yang C.; Yao H.; Zhu J.; Wang Y.; Jia G.; Gao F.; Hou J. Adv. Mater. 2017, 29, 1703080.

[14]
Huang X.; Oh J.; Cheng Y.; Huang B.; Ding S.; He Q.; Wu F.; Yang C.; Chen L.; Chen Y. J. Mater. Chem. A 2021, 9, 5711.

[15]
Bates M.; Malhado C.; Yang C.; Herrera C. K.; Lunt R. R. Sol. RRL 2023, 7, 2200962.

[16]
Jia B.; Dai S.; Ke Z.; Yan C.; Ma W.; Zhan X. Chem. Mater. 2018, 30, 239.

[17]
Xie J.; Lin W.; Zheng K.; Liang Z. Adv. Sci. 2024, 11, 2404135.

[18]
Jing J.; Dong S.; Zhang K.; Zhou Z.; Xue Q.; Song Y.; Du Z.; Ren M.; Huang F. Adv. Energy Mater. 2022, 12, 2200453.

[19]
Wei Q.; Li Y.; Chen W.; Shi Q.; Zhu S.; Yan W.; Zou Y. J. Mater. Chem. A 2024, 12, 30558.

[20]
An N.; Cai Y.; Wu H.; Tang A.; Zhang K.; Hao X.; Ma Z.; Guo Q.; Ryu H. S.; Woo H. Y. Adv. Mater. 2020, 32, 2002122.

[21]
Liu H.; Yuan D.; Jiang H.; Li S.; Zhang L.; Chen J. Energy Environ. Sci. 2023, 16, 3474.

[22]
Shao Y.; Gao Y.; Sun R.; Zhang M.; Min J. Adv. Mater. 2022, 35, e2208750.

[23]
Wu J.; Ling Z.; Franco L. R.; Jeong S. Y.; Genene Z.; Gómez J. M.; Chen S.; Chen C.; Araujo C. M.; Marchiori C. F. N.; Kimpel J.; Chang X.; Isikgor F. H.; Chen Q.; Faber H.; Han Y.; Laquai F.; Zhang M.; Woo H. Y.; Yu D.; Anthopoulos T. D.; Wang E. Angew. Chem., Int. Ed. 2023, 62, e202302888.

[24]
Liu Q.; Mantilla-Perez P.; Montes Bajo M.; Romero-Gomez P.; Martorell J. ACS Appl. Mater. Interfaces 2016, 8, 28750.

[25]
Byrka A.; Boivin L.; d’Astous É. V.; Singhal R.; Karsenti P.-L.; Dauphin-Ducharme P.; Witulski B.; Sharma G. D.; Harvey P. D. ACS Appl. Mater. Interfaces 2025, 17, 3478.

[26]
Guo C.; Sun Y.; Wang L.; Liu C.; Chen C.; Cheng J.; Xia W.; Gan Z.; Zhou J.; Chen Z.; Zhou J.; Liu D.; Guo J.; Li W.; Wang T. Energy Environ. Sci. 2024, 17, 2492.

[27]
Jia Z.; Ma Q.; Chen Z.; Meng L.; Jain N.; Angunawela I.; Qin S.; Kong X.; Li X.; Yang Y.; Zhu H.; Ade H.; Gao F.; Li Y. Nat. Commun. 2023, 14, 1236.

[28]
He G.; Mayberry B.; Pranav M.; Shadabroo M. S.; Sun B.; Cao Y.; Shoaee S.; Stolterfoht M.; Neher D.; Lang F. ACS Energy Lett. 2023, 8, 3980.

[29]
Liu W.; Sun S.; Xu S.; Zhang H.; Zheng Y.; Wei Z.; Zhu X. Adv. Mater. 2022, 34, 2200337.

[30]
Liao J.; Zheng P.; Cai Z.; Shen S.; Xu G.; Zhao H.; Xu Y. Org. Electron. 2021, 89, 106026.

[31]
Zuo K.; Dai T.; Guo Q.; Wang Z.; Zhong Y.; Mengzhen D.; Wang H.; Tang A.; Zhou E. ACS Appl. Mater. Interfaces 2022, 14, 18764.

[32]
Gao H.-H.; Sun Y.; Wan X.; Ke X.; Feng H.; Kan B.; Wang Y.; Zhang Y.; Li C.; Chen Y. Adv. Sci. 2018, 5, 1800307.

[33]
Hoefler S. F.; Rath T.; Pastukhova N.; Pavlica E.; Scheunemann D.; Wilken S.; Kunert B.; Resel R.; Hobisch M.; Xiao S.; Bratina G.; Trimmel G. J. Mater. Chem. A 2018, 6, 9506.

[34]
Liu Q.; Toudert J.; Li T.; Kramarenko M.; Martínez-Denegri G.; Ciammaruchi L.; Zhan X.; Martorell J. Adv. Energy Mater. 2019, 9, 1900463.

[35]
Yu K.; Song W.; Ge J.; Zheng K.; Xie L.; Chen Z.; Qiu Y.; Hong L.; Liu C.; Ge Z. Sci. China Chem. 2022, 65, 1615.

[36]
Gao N.; Bin H.; Wu S.; Janssen R. A. J.; Li Y. Sci. China Chem. 2024, 67, 2248.

Outlines

/