Article

Three-Component Tandem Cyclization for the Synthesis of Chromone Derivatives from ortho-Hydroxyaryl Enaminones

  • Kai Yang a ,
  • Longhui Wu a ,
  • Xinlei Fu a ,
  • Shen Shan a ,
  • Hanqing Wu , b, * ,
  • Jiuzhong Huang , a, *
Expand
  • a College of Pharmacy, Gannan Medical University, Ganzhou 341000, China
  • b School of Materials Science and Engineering, Guangdong University of Petrochemical Technology, Maoming 525000, China

Received date: 2025-07-16

  Online published: 2025-09-12

Supported by

Natural Science Foundation of Jiangxi Province(20224BAB203010)

Science and Technology Projects of Ganzhou(2023CYZ17866)

Abstract

Chromone derivatives are widely found in natural products and biologically active molecules, and serve as important building blocks in organic synthesis. Although significant progress has been made in the synthesis of chromone-based molecular frameworks, exploring new synthetic methods for chromone derivatives using a building-block chemistry strategy remains of great importance. The ortho-hydroxyaryl enaminones cyclization cascade has become the preferred method for constructing chromones (especially C3 substituted chromones), offering efficient and selective access to these valuable scaffolds. Hexafluoroisopropanol (HFIP) has emerged as a versatile solvent and promoter in organic synthesis, owing to its unique combination of high ionization ability, low nucleophilicity, and strong hydrogen bond donor capacity. The strategic incorporation of morpholine and other cyclic amine motifs into heterocyclic frameworks significantly enhances bioactive compounds' drug-like properties, accelerating the discovery of novel therapeutic candidates. In light of this, we developed a streamlined three-component tandem cyclization of ortho-hydroxyaryl enaminones, morpholine, and aryl glyoxals in HFIP, enabling efficient synthesis of C3-functionalized chromones. This metal-free protocol leverages HFIP's dual role as solvent/promoter at room temperature, offering operational simplicity, broad substrate scope, and excellent functional group tolerance with commercially available starting materials. The results demonstrated that the target C3-functionalized chromone derivatives containing cyclic amine were obtained with moderate to excellent yields. The optimized reaction conditions of one pot synthesis of chromone derivatives are as follows: into a dry 10 mL reaction flask were sequentially added a magnetic stir bar, morpholine 2 (0.9 mmol), phenylglyoxal monohydrate 3 (0.45 mmol), and 1.5 mL of HFIP. The mixture was stirred at room temperature for 30 min. Subsequently, enaminone 1 (0.45 mmol) was evenly added portion wise in five equal portions (with 20-min intervals between additions). The reaction was stirred at room temperature for 12 h. The reaction progress was monitored by thin layer chromatography (TLC). After completion, the reaction mixture was concentrated under reduced pressure. The crude product was purified by column chromatography to afford the desired product 4.

Cite this article

Kai Yang , Longhui Wu , Xinlei Fu , Shen Shan , Hanqing Wu , Jiuzhong Huang . Three-Component Tandem Cyclization for the Synthesis of Chromone Derivatives from ortho-Hydroxyaryl Enaminones[J]. Acta Chimica Sinica, 2026 , 84(1) : 86 -92 . DOI: 10.6023/A25070255

1 引言

有机含氧杂环在有机化学、药物化学等各领域有着广泛的研究和应用, 一直受到化学工作者的广泛关注[1]. 其中, 色酮衍生物一类含有苯并γ-吡喃酮骨架的有机含氧杂环化合物, 因其独特的物理性质和化学性质, 被广泛应用于有机合成、药物化学等领域[2]. 色酮类化合物常具有潜在生物活性, 如抗病毒、抗炎、抗糖尿病、抗肿瘤和抗菌等(图1)[3]. 因此, 各种特征官能团化色酮衍生物的有效合成构建方法备受关注[4].
图1 具有生物活性的色酮衍生物

Figure 1 Biologically active chromone derivatives

同时, 作为一种同时含有氮和氧原子的六元杂环,吗啉(1,4-四氢噁嗪)因其物理化学、生物和代谢特性而在药物化学领域被广泛应用[5]. 特别是, 一些吗啉衍生物具有广泛的生物作用, 包括抗炎、抗菌和抗癌活性等[6]. 许多已批准的药物、临床候选药物和生物活性分子, 都含有吗啉的结构单元(图2)[7]. 因此, 在色酮等杂环骨架中引入吗啉等结构单元以赋予所需化合物的类药性, 在寻找新的生物活性候选物方面具有重要意义[8].
图2 含吗啉结构单元的药物分子

Figure 2 Some drugs containing morpholine unit

近年来, 通过邻羟基芳基烯胺酮环化引发的串联反应已经发展成为合成3-取代色酮的常见策略(图3a)[9].因强氢键供体能力、低亲核性和温和的酸性等独特的性质, 六氟异丙醇(HFIP)在有机合成中得到广泛应用[10]. HFIP作为促进剂也可用于邻羟基芳基烯胺酮构建色酮衍生物的合成研究[11]. 例如, 以HFIP为溶剂, 常温下即可实现邻羟基芳基烯胺酮和二氟乙醛缩半乙醇的串联环化合成含二氟甲醇的色酮衍生物(图3b)[12]. 余斌课题组[13]以HFIP和甲苯(体积比1∶3)为溶剂, 实现吲哚等富电子芳烃与乙醛酸乙酯、吗啉的三组分Friedel-Crafts反应(图3c). 该反应巧妙地通过吗啉与乙醛酸乙酯原位生成亚胺中间体和富电子芳烃的亲核加成而实现.
图3 色酮合成衍生化及HFIP在有机合成中的应用示例

Figure 3 Examples of synthesis and derivatization of chromones and HFIP applications in organic synthesis

上述研究为HFIP介导的色酮及相关杂环合成奠定了基础, 但在底物拓展与产物结构多样性方面仍有探索空间. 受此启发, 本工作聚焦新三组分反应体系, 以HFIP为溶剂, 常温下实现邻羟基芳基烯胺酮、吗啉和芳基乙二醛的串联环化, 合成C3官能团化的色酮衍生物(图3d). 相较于先前工作, 本次研究引入芳基乙二醛作为新反应底物, 其活性羰基结构参与串联环化, 赋予色酮C3位独特的官能团化修饰. 在产物结构上高效构建含吗啉等环胺结构单元的C3官能团化的色酮衍生物, 为后续生物活性研究提供新颖分子结构, 为潜在生物活性分子的合成提供新的策略与方法.

2 结果与讨论

2.1 反应条件的优化

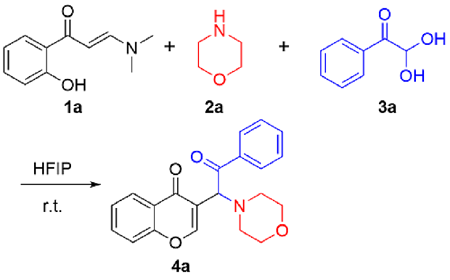
表1所示, 本研究首先以邻羟基苯基烯胺酮1a (0.3 mmol), 吗啉2a (0.45 mmol)和苯乙二醛水合物3a (0.45 mmol)为反应底物, 合成目标产物4a为模版反应, 进行反应条件优化.
表1 反应条件的优化a

Table 1 Optimization of the reaction conditionsa

Entry Catalyst/Promoter Solvent 4a yieldb/%
1 DCM trace
2 Toluene 45
3 IPA 40
4 1,4-Dioxane 37
5 HFIP 55
6 DMF 43
7 Toluene/HFIP
(1∶1)
51
8c HFIP 61
9d HFIP 70
10d TFA (20 mmol%) HFIP 66
11d Y(OTf)3 (20 mmol%) HFIP 68
12d Sc(OTf)3 (20 mmol%) HFIP 62
13d TfOH (20 mmol%) HFIP 65
14d,e HFIP 75
15d,f HFIP 85
16d,g HFIP 84

a Reaction conditions: 1a (0.3 mmol, 1.0 equiv.), 2a (0.45 mmol, 1.5 equiv.), 3a (0.45 mmol, 1.5 equiv.), solvent (1.5 mL), r.t., 12 h; b Isolated yields based on 1a; c 0.60 mmol of 2a; d 0.90 mmol of 2a; e added 2a, 3a, r.t., 30 min, then added 1a; f 1a was evenly added in five portions at 20-min intervals; g 50 ℃.

在不添加任何催化剂的条件下, 分别使用不同的溶剂, 如二氯甲烷(DCM), 甲苯(Toluene), 异丙醇(IPA), 1,4-二氧六环(1,4-Dioxane), HFIP, N,N-二甲基甲酰胺(DMF), 常温反应12 h, 则以HFIP为溶剂时, 得到相应的产物4a产率较高, 为55% (Entries 1~6). 若HFIP与其他溶剂(如甲苯)组成的混合溶剂进行反应, 不如单独使用HFIP的效果好(Entry 5 vs. Entry 7). 同时, 研究还发现, 若提高吗啉2a的投料比例至3 equiv.时, 4a产率显著提高, 可达70% (Entry 9). 鉴于HFIP当溶剂时, 有作为布朗斯特酸促进反应的效果, 我们尝试在反应体系中分别加入20 mmol%的路易斯酸Sc(OTf)3或Y(OTf)3、质子酸三氟乙酸(TFA)、三氟甲磺酸(TfOH), 4a的产率没有提高(Entry 9 vs. Entries 10~13). 研究发现, 调整投料顺序, 先加入2a3a搅拌反应0.5 h, 再加入1a反应12 h, 4a的产率可提高至75% (Entry 14). 若2a3a一起加入室温反应0.5 h后, 再将烯胺酮1a均分五次添加(每次添加量相等), 相邻两次添加间隔20 min, 则4a的收率可提高至85% (Entry 15). 提高温度并不能提高反应收率(Entry 16). 因此, 本研究选用表1, Entry 15中的条件作为该反应的最优条件.

2.2 反应底物扩展

在上述最佳反应条件下, 探究不同官能团取代的邻羟基芳基烯胺酮1、吗啉2a和苯乙二醛水合物3a的反应, 结果如表2所示.
表2 邻羟基芳基烯胺酮的底物扩展

Table 2 Substrate scope of various ortho-hydroxyaryl enaminones

a Reaction conditions: 1 (0.3 mmol, 1.0 equiv.), 2a (0.9 mmol, 3 equiv.), 3a (0.45 mmol, 1.5 equiv.), HFIP (1.5 mL), r.t., 12 h; b Isolated yields based on 1.

反应对邻羟基苯基烯胺酮1的苯环不同位置上的各种取代基(如甲基、甲氧基、卤素等)都具有较好的官能团耐受性, 都能取得较好的产率. 例如, 当邻羟基苯基烯胺酮1的苯环不同位置存在供电子取代基(甲基和甲氧基)时, 都以非常好的收率得到相应的产物4b~4e (77%~83%). 此外, 使用各种卤素取代的邻羟基芳基烯胺酮参与该反应, 都能以良好的产率得到相应的产物4f~4k (74%~82%). 需要指出来的是, 当使用含有硝基取代基的邻羟基芳基烯胺酮1l参与反应时, 反应产率相对较低, 只有60% (4l). 强吸电子基团硝基的存在, 可能影响烯胺酮1l对亚胺离子中间体的亲核性, 从而导致产率偏低.
随后, 探究不同的环胺2和不同的α-酮醛衍生物3的反应普适性, 结果如表3所示.
表3 环胺和苯基乙二醛的底物扩展

Table 3 Substrate scope of various cyclic amine substrates 2 and phenylglyoxal hydrates

a Reaction conditions: 1a (0.3 mmol, 1.0 equiv.), 2 (0.9 mmol, 3 equiv.), 3 (0.45 mmol, 1.5 equiv.), HFIP (1.5 mL), r.t., 12 h; b Isolated yields based on 1a.

研究表明, 当使用2-甲基吗啉和3-甲基吗啉作为反应原料时, 分别能以58%和54%的收率得到相应的产物4m4n. N-取代的哌嗪同样适用于反应体系. 例如, 当N-甲基哌嗪和N-乙基哌嗪作为反应底物时, 可分别以50%和57%的产率得到相应的产物4o4p. 非常遗憾的是, 标准条件下以4-甲基哌啶或四氢吡咯为底物时, 只通过质谱检测到痕量的产物分子离子峰, 未能分离得到相应的目标化合物4q4r. 体系中观察到大量1a和苯二醛3a的两组分环化副产物5a(详情见控制实验图4a), 未能转换为相应的产物. 通过α-酮醛衍生物的底物普适性研究表明, 氟、氯和溴等卤素取代苯乙二醛水合物适用于反应体系, 都能以良好的产率得到相应的产物4s~4v (70%~78%). 当使用乙醛酸乙酯为底物时, 可以73%的产率得到相应的产物4w.
图4 控制实验

Figure 4 Control experiments

2.3 反应机理研究

在标准反应条件下, 邻羟基芳基烯胺酮1a与苯乙二醛水合物3a发生反应, 可以高达90%的产率得到产物5a(图4a). 为验证5a是否为反应中间体, 在标准条件下, 将化合物5a与吗啉2a反应, 遗憾地发现未能得到预期的产物4a(图4b). 这一结果暗示了在该反应体系中, 产物4a的转化可能不需要经过5a, 非反应中间体. 因此, 可能存在其他关键的反应步骤或者中间体. 在标准条件下, 将色酮62a3a共同进行反应, 未得到目标产物4a(图4c), 结果显示色酮6也非反应中间体. 最后在标准条件下, 将吗啉2a和苯乙二醛水合物3a反应, 经电喷雾电离结合高分辨质谱(ESI-HRMS)检测2 h后的反应液, 检测到亚胺离子A的离子峰(图4d). 将底物1a和HFIP等物质的量混合以后得到的核磁氢谱与不加入HFIP的氢谱相比, 在δ 14.0处的酚羟基氢位置, 之前的尖峰钝化为馒头峰, 暗示酚羟基与HFIP有较强的相互作用(图5).
图5 核磁检测实验

Figure 5 NMR detection experiments

最后, 根据控制实验结果和相关文献报道[14-15], 提出了可能的反应机理(图6). 首先, 在HFIP的参与下, 苯乙二醛水合物失去一分子水, 生成苯乙二醛B, 进而与吗啉2a生成亚胺离子中间体A. 随后, 底物邻羟基芳基烯胺酮1a与HFIP的络合物引入反应体系, 与中间体化合物B相互反应, 生成中间体C. 紧接着中间体C通过互变异构化过程, 转变为中间体D. 随着反应的进一步推进, 中间体D发生分子内环化反应, 从而得到环状中间体E, 同时将释放出一分子HFIP. 最后, 环状中间体E脱去二甲胺, 顺利获得相应的目标化合物4a.
图6 可能的反应机理

Figure 6 Proposed mechanism

3 结论

我们以HFIP为溶剂, 通过邻羟基芳基烯胺酮、吗啉和芳基乙二醛的三组分串联环化反应, 在室温条件下实现含环胺的色酮衍生物的合成. 该反应体系无需过渡金属催化剂, 在室温下反应, 原料易得, 反应体系简洁明了, 具有良好的官能团兼容性. 本方法为邻羟基芳基烯胺酮制备色酮衍生物, 提供了一种温和、简便、高效、有潜在制备应用价值的新方法. 鉴于含有吗啉的色酮具有的潜在生物活性, 课题组正在对其进行进一步的药理学应用探究.

4 实验部分

以化合物4a制备为例. 向干燥的10 mL的反应瓶依次加入搅拌磁子, 吗啉2a (0.9 mmol)和苯乙二醛水合物3a (0.45 mmol)和1.5 mL HFIP, 先室温搅拌30 min. 随后, 分五次加入烯胺酮0.45 mmol 1a(每次间隔20 min). 再室温搅拌反应12 h, 薄层层析(TLC)跟踪反应进程, 反应完毕, 反应液减压旋干, 经柱层析分离, 得到预期产物4a.
(Cheng, B.)
[1]
(a) Yang, L.; Liang, X.; Ding, Y.; Li, X.; Li, X.; Zeng, Q. Chem. Rec. 2023, 23, e202300173.

DOI

(b) Yang, S.; Wang, N.; Hang, Q.; Zhang, Y.; Shi, F. Acta Chim. Sinica 2023, 81, 793. (in Chinese)

DOI

(杨爽, 王宁宜, 杭青青, 张宇辰, 石枫, 化学学报, 2023, 81, 793.)

[2]
(a) Reis, J.; Gaspar, A.; Mihazes, N.; Borges, F. J. Med. Chem. 2017, 60, 7941.

DOI

(b) Song, S.; Zhang, Z.; Peng, M.; Xia, X.; Dong, S.; Wang, Y.; Yu, F. Org. Chem. Front. 2024, 11, 3906.

DOI

(c) Sun, J.; Wei, Y.; Wang, W.; Lin, W.; Wang, C.; Zhou, J.; Wang, G.; Li. J. Adv. Synth. Catal. 2025, 367, e202401396.

DOI

(d) Gaspar, A.; Garrido, E. M. P. J.; Borges, F.; Garrido, J. M. P. J. ACS Omega 2024, 9, 21706.

DOI

(e) Xu, Q.; Sun, R.; Wang, J.; He, X. Chin. J. Org. Chem. 2025, 45, 2416. (in Chinese)

DOI

(许秋玲, 孙瑞芬, 王均亮, 何晓山, 有机化学, 2025, 45, 2416.)

[3]
(a) Jia, Z.-T.; Li, Y.; Shi, W.; Qian, J.-Q.; Xu, Y.-Y.; Fan, H.-R.; Hu, X.-L.; Wang, H. Med. Chem. Res. 2025, 34, 720.

DOI

(b) Serry, A. M.; Abdelhafez, O. M.; Khalil, W. K. B.; Hamed, K. A.; Mabrouk, M. I.; Shalaby, M. B.; Ahmed, E. Y. Bioorg. Chem. 2025, 159, 108338.

DOI

(c) Han, S.; Fang, C.; Zhang, Y.; Li, S.; Huang, M.; Wang, T.; An, B.; Cheng, B. Eur. J. Org. Chem. 2024, e202400401.

[4]
(a) Liu, M.; Zhang, Z.; Xu, Y.; Wang, X.; Wang, Y.; Peng, M.; Zhang, M.; Wang, Y.; Yu, F. Adv. Synth. Catal. 2025, 367, e202500172.

DOI

(b) Liu, J. P.; Yu, D.; Yang, Y.; You, H.; Sun, M.; Wang, Y.; Shen, X.; Liu, Z.-Q. Org. Lett. 2020, 22, 4844.

DOI

[5]
(a) Tzara, A.; Xanthopoulos, D.; Kourounakis, A. P. ChemMedChem 2020, 15, 392.

DOI

(b) Lenci, E.; Calugi, L.; Trabocchi, A. ACS Chem. Neurosci. 2021, 12, 378.

DOI

[6]
(a) Kumar, R.; Srinivasa, R. V.; Kapur, S. Int. J. Chem. Sci. 2016, 14, 1777.

(b) Huang, Z.; Yang, P.; He, B.; Ou, W.; Yuan, S. Chin. J. Org. Chem. 2024, 44, 309. (in Chinese)

DOI

(黄志友, 杨平, 何波, 欧文霞, 袁思雨, 有机化学, 2024, 44, 309.)

[7]
Kourounakis, A. P.; Xanthopoulos, D.; Tzara, A. Med. Res. Rev. 2019, 40, 709.

DOI

[8]
(a) Xu, H.; Li, Y.; Dong, H.; Meng, X.; Zhao, L.; Lv, C.; Wang, Z.; Jin, C. Chin. J. Org. Chem. 2020, 40, 69. (in Chinese)

DOI

(徐海伟, 李媛媛, 董航歧, 孟夏, 赵玲洁, 吕春涛, 王振亚, 金成允, 有机化学, 2020, 40, 69.)

(b) Zhu, Z.; Qiao, Y.; Zhang, Z.; Gu, M.; Wang, J.; Gao, Z.; Guo, W.; Liu, M.; Li, R. Chin. J. Org. Chem. 2020, 40, 1983. (in Chinese)

DOI

(朱仲珍, 乔雨, 张子豪, 顾明震, 王晋, 高志宇, 郭文昊, 刘明明, 李荣, 有机化学, 2020, 40, 1983.)

(c) Tang, S. A.; Fults, A.; Boyd, S. R.; Gattu, N.; Tran, K. A.; Fan, J. Y.; Mackenzie, K. R.; Palzkill, T.; Young, D. W.; Chamakuri, S. Org. Lett. 2024, 26, 3493.

DOI

[9]
Mao, L.; Liu, Y.; Wan, J.-P. Chin. Chem. Lett. 2025, 36, 110784.

DOI

[10]
(a) Berkessel, A.; Adrio, J. A. J. Am. Chem. Soc. 2006, 128, 13412.

PMID

(b) Motiwala, H. F.; Armaly, A. M.; Cacioppo, J. G.; Coombs, T. C.; Koehn, K. R. K.; Iv, V. M. N.; Aube, J. Chem. Rev. 2022, 122, 12544.

DOI PMID

[11]
Yang, K.; Wu, L. H.; Fu, X. L.; Chen, W. M.; Liu, Z. W.; Peng, X. P. Tetrahedron 2024, 156, 133948.

DOI

[12]
Wu, L. H.; Liu, X.; Liu, Z. W.; Chen, Z. X.; Fu, X. L.; Yang, K. Org. Biomol. Chem. 2023, 21, 9236.

DOI

[13]
Li, Z. H.; Yu, B. Chem. Eur. J. 2019, 25, 16528.

DOI

[14]
(a) Pan, S. Y.; Song, M. S.; Zuo, L. L.; Geng, X.; Wang, L. J. Org. Chem. 2023, 88, 5586.

DOI

(b) Mkrtchyan, S.; Purohit, V. B.; Iaroshenko, V. O. ACS Sustain. Chem. Eng. 2023, 11, 13877.

DOI

(c) Singh, G.; Sharma, S.; Rekha.; Pandey, R.; Singh, R.; Kumar, T.; Anand, R. V. Eur. J. Org. Chem. 2022, 2022, e202200792.

DOI

(d) Luo, T.; Wan, J.-P.; Liu, Y. Y. Org. Chem. Front. 2020, 7, 1107.

DOI

(e) Huang, J. Z.; Yu, F. C. Synthesis 2021, 587.

[15]
(a) Chen, Y. X.; Wang, Y. R.; Zhong, R.; Li, J. S. J. Org. Chem. 2020, 85, 10638.

DOI

(b) Yang, J. G.; Gui, J.; Mu, M. M.; Liu, S. M.; Li, J. S.; Ren, J.; Wang, Z. M. J. Org. Chem. 2023, 88, 4790.

DOI

Outlines

/