ARTICLES

Design, Synthesis and Biological Activity Study of Chalcone Derivatives Based on the Inhibitory Activities of Monoamine Oxidase and Cholinesterase Containing Indole Ring and Benzothiophene Ring

  • Min Tang ,
  • Bin Zhang ,
  • Qiushi Wang ,
  • Chaohua Fang ,
  • Liwei Hu ,
  • Liping Guan , *
Expand
  • Food and Pharmacy College, Zhejiang Ocean University, Zhoushan, Zhejiang 316022

These authors contributed equally to this work.

Received date: 2025-01-27

  Revised date: 2025-02-27

  Online published: 2024-05-10

Supported by

National Natural Science Foundation of China(21964017)

Key Laboratory of Innovative Drug Target Research of Fujian Province(FJ-YW-2023KF04)

Copyright

© 2025 Shanghai Institute of Organic Chemistry, Chinese Academy of Sciences

Abstract

31 chalcone derivatives containing indole and benzothiophene rings were designed and synthesized. Their biological activities in inhibiting cholinesterase (ChE) and monoamine oxidase (MAO) were subsequently investigated. The cholinesterase test results indicated that all compounds exhibited minimal inhibitory effects on acetylcholinesterase (AChE). However, certain compounds demonstrated notable inhibitory effects on butyrylcholinesterase (BuChE), with (E)-3-(1H-indol-3-yl)-1- (m-tolyl)prop-2-en-1-one (1a) and (E)-3-(1H-indol-3-yl)-1-(2-nitrophenyl)prop-2-en-1-one (1h) showing the strongest inhibition rates of 85.55% and 76.43%, respectively. These findings from the monoamine oxidase experiments indicated that some of compounds exhibited specific inhibitory effects on monoamine oxidase. Compounds exhibiting inhibitory activity exceeding 50%, specifically (E)-1-(3,4-dimethylphenyl)-3-(1H-indol-3-yl)prop-2-en-1-one (1c), (E)-3-(1H-indol-3-yl)-1-(3-methoxy- phenyl)prop-2-en-1-one (1f), (E)-3-(1H-indol-3-yl)-1-(4-methoxyphenyl)prop-2-en-1-one (1g), (E)-1-(4-hydroxyphenyl)-3- (1H-indol-3-yl)prop-2-en-1-one (1v), and (E)-3-(benzo[b]thiophen-3-yl)-1-(4-nitrophenyl)prop-2-en-1-one (1aa), were further evaluated for their effects on MAO-A and MAO-B enzymatic activities. It was observed that compounds 1c, 1f, and 1aa displayed comparatively superior inhibitory activity against both MAO-A and MAO-B. Results from cytotoxicity assays indicated that the compounds demonstrating enhanced inhibitory activity did not exhibit cytotoxic effects on L929 cells. Additionally, the results of molecular docking of compounds 1a, 1c and 1f showed significant interaction between compounds 1a and 1f with BuChE and between compounds 1c and 1f with MAO-A and MAO-B.

Cite this article

Min Tang , Bin Zhang , Qiushi Wang , Chaohua Fang , Liwei Hu , Liping Guan . Design, Synthesis and Biological Activity Study of Chalcone Derivatives Based on the Inhibitory Activities of Monoamine Oxidase and Cholinesterase Containing Indole Ring and Benzothiophene Ring[J]. Chinese Journal of Organic Chemistry, 2025 , 45(8) : 2989 -3003 . DOI: 10.6023/cjoc202412024

阿尔茨海默症(Alzheimer’s disease, AD)也被称为痴呆, 是一种以记忆力下降为首要症状的常见神经退行性疾病. 患者可能会出现精神行为异常和社会生活功能下降, 严重者甚至可导致死亡[1-3]. 由于该疾病的发病率持续上升, 社会上出现了多种治疗方法. 目前认为AD的发病机制是缺乏一种重要的神经递质——乙酰胆碱(Acetylcholine, ACh), 乙酰胆碱酯酶抑制剂(AChEIs)可用于缓解AD的症状[4-6]. AChEIs的作用各有不同, 有些侧重于阻断乙酰胆碱酯酶(AChE), 防止自由基毒性和β-淀粉样蛋白诱导的细胞毒性, 有些则阻断小胶质细胞和单核细胞释放细胞因子[7-11].
尽管AD的主要特征是记忆障碍和认知领域的缺陷, 但在整个疾病进展过程中, 也会经常出现焦虑和抑郁等症状[12]. 据统计30%的AD患者同时患有抑郁症, 专家们长期将抑郁与AD联系在一起[13-16]. 抑郁症是一种常见的精神疾病, 主要表现为情绪低落、兴趣缺乏、注意力不集中以及失眠等[17], 严重者可能会有强烈的自杀倾向. 神经精神疾病可能由多种复杂因素诱发, 单胺氧化酶(Monoamine oxidase, MAO)可能是神经精神疾病发病的关键原因和治疗的重要靶点. 针对MAO的研究靶点, 社会上研究了多种类型的单胺氧化酶抑制剂(MAOIs), 如司来吉兰、雷沙吉兰等, 它们在抑郁症的治疗中显示出良好的效果[18-20]. 因此, 将MAOIs作为神经精神疾病的关键治疗药物或与其他密切相关靶点的抑制剂联合应用, 似乎有望显著提升神经精神疾病的治疗效果[21]. 抑郁症患者通常还会伴有其他病症, 例如发炎、生理性疼痛等症状, 也可称之为并发症. 倘若治疗AD或者抑郁症的药物仅针对一个治疗靶点, 那么这些药物将难以预防其并发症. 因此, 多靶点药物的设计和合成是非常必要的[22-24], 既能够治疗AD或者抑郁症, 同时也能够更好地预防其并发症.
近年来, 一种基于多靶点定向配体(MTDLs)的杂交方法在开发多靶点AD治疗药物方面备受关注[25]. Asif等[26]成功利用分子杂交技术将不同药物的药效特征转化为一个分子, 以增强香豆素衍生物与ChE催化位点的结合效率. 香豆素偶联物能够有效提升ChE和MAO-B水平. 据报道, 香豆素杂交体在AD病理过程中对多个靶点发挥作用[27]. Singh等[28]发现香豆素-N-苄基吡啶杂交体能够有效抑制ChE和MAO-B活性, 香豆素-二硫代氨基甲酸酯和香豆素-他克氨酸偶联物抑制ChE和Aβ聚集. 其中一些杂交体甚至在纳摩尔范围内就能够抑制ChE, 并表现出比标准药物多奈哌齐更强的活性. 此外, 由香豆素-三唑与多奈哌齐、羟基吡啶酮以及他克林环等构成的杂交体展现出了神经保护效应. 香豆素-聚乙二醇杂交体具备优良的血脑屏障透过性与神经保护功效, 并且被证实是有效的AChE、MAO-B和Aβ1-42聚集抑制剂.
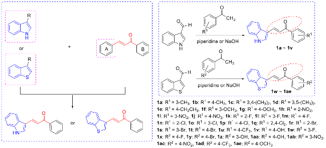
研究表明, 查尔酮衍生物在神经系统疾病中起着重要的作用[29-30]. 如药物卡巴拉汀(C8H12N2O)含有一种特殊的类黄酮结构(CO-C=C), 可用于轻、中度阿尔茨海默型痴呆(AD)的治疗[31-32]. 多奈哌齐(C21H26ClN3O2)是一种可逆的中枢乙酰胆碱酯酶抑制剂, 对轻至中度AD均有效[33-35]. 基于上述讨论, 本文结合已报道的治疗性AD和抗抑郁化合物的构象关系, 合成了31个含有吲哚和苯并噻吩环的查尔酮衍生物, 并研究了它们抑制ChE和MAO的生物活性(见图12). 此外, 利用噻唑蓝(MTT)法和AO/EB染色法进行细胞毒性实验, 以评估部分查尔酮衍生物的安全性. 最后, 利用分子对接进一步研究具有较高抑制活性的化合物与BuChE、MAO-A及MAO-B之间的相互作用.
图1 具有单胺氧化酶和胆碱酯酶抑制作用的衍生物1a~1v的设计实例

Figure 1 Examples of the design of derivatives 1a~1v with inhibitory effects on MAO and ChE

图2 具有单胺氧化酶和胆碱酯酶抑制作用的衍生物1w~1ae的设计实例

Figure 2 Examples of the design of derivatives 1w~1ae with inhibitory effects on MAO and ChE

1 结果与讨论

1.1 目标化合物的合成

Scheme 1是目标化合物的合成路径. 目标化合物均通过1H NMR、13C NMR和HPLC进行结构和纯度的表征. 1a~1v目标化合物的1H NMR数据证实, 吲哚环上存在δ 11.97 (s, 1H, NH)和8.09 (s, 1H, NCH=C)两个峰, ArC=O和COCH=CH分别在δ 7.76和7.90处存在一个单信号峰. 13C NMR显示, 在δ 187.34~194.34处出现查尔酮羰基峰. 1w~1ae目标化合物的1H NMR数据显示, 苯并噻吩环在δ 8.65 (s, 1H, SCH=C)处有一个峰, Ar-C=O和COCH=CH分别在δ 7.55和8.06处存在一个单信号峰. 13C NMR显示, 在δ 187.57~189.53处出现查尔酮羰基峰. 实验部分包含进一步的合成途径和光谱细节.
图式1 衍生物1a~1ae合成路线

Scheme 1 Synthetic route to derivatives 1a~1ae

1.2 生物活性

1.2.1 胆碱酯酶抑制活性分析(包括AchE和BuchE)

以多奈哌齐和他克林为阳性对照, 采用改良Ellman法评价衍生物1a~1ae对AChE和BuChE的体外抑制活性. 在100 µmol/L的浓度下, 测试结果显示大部分化合物不具有AChE抑制活性(图3), 但部分化合物表现出一定的BuChE抑制作用(图4), 其抑制活性明显低于阳性对照他克林[99.53%, IC50=(36.38±0.23) µmol/L](表1).
图3 衍生物1a~1ae对AChE的抑制活性

Figure 3 Inhibitory effects of AChE by derivatives 1a~1ae

图4 衍生物1a~1ae对BuChE的抑制活性

Figure 4 Inhibitory effects of BuChE by derivatives 1a~1ae

表1 部分化合物BuChE抑制活性的IC50测试结果

Table 1 Results of the IC50 test of BuChE inhibitory activity of some compounds

Compound R IC50/(µmol•L-1)
BuChE
1a 3-CH3 0.48±0.34
1f 3-OCH3 24.56±0.12
1h 2-NO2 47.81±0.92
1k 2-F 41.48±1.45
1l 3-F 36.38±0.23
1ab 3-OH 87.67±3.27
Tacrine 36.38±0.23

1.2.2 单胺氧化酶抑制活性分析(包括MAO、MAO-A和MAO-B)

研究新制备的查尔酮衍生物1a~1ae对MAO、MAO-A和MAO-B的抑制作用. 首先, 筛选了31个衍生物1a~1ae, 在100 µmol/L的浓度下具有初步的MAO抑制活性. 如图5所示, 大部分化合物对MAO表现出显著的抑制活性. 值得注意的是, 其中两个化合物(1c, 1v)的MAO抑制活性大于60%, 三个化合物(1f, 1g, 1aa)的MAO抑制活性大于50%. 此外, 化合物(1c, 1f, 1aa) 对MAO-A和MAO-B均有较强的抑制活性, 抑制活性均大于50%. 与前3个化合物相比, 化合物1g1v对MAO-A和MAO-B的抑制活性较低(抑制活性为30~40%).
图5 化合物1a~1ae的MAO抑制活性

Figure 5 MAO inhibition activity of compounds 1a~1ae

从构象关系来看, 当苯环上有供电子基时, 吲哚查尔酮衍生物对单胺氧化酶的抑制活性强弱顺序依次为4-OH>3,4-(CH3)2>3-OCH3>4-OCH3>4-CH3>3- CH3>4-CH2CH3>3,5-(CH3)2. 其中, 单胺氧化酶对4-OH取代查尔酮化合物1v的抑制作用最高, 在100 µmol/L时达到63.56% (>50%), 但仍低于阳性对照雷沙吉兰(72.41%). 当吲哚查尔酮衍生物在苯环上含有两个甲基取代基时, 取代基的位置显著影响其活性. 抑制活性强弱顺序为3,4-(CH3)2>3,5-(CH3)2, 当两个甲基位于相邻位置时抑制活性最高. 从苯并噻吩查尔酮衍生物的构象关系来看, 当苯环上有供电子基时, 其对单胺氧化酶的抑制活性强弱顺序为4-OH>4-OCH3>3-OH. 其中, 4-OH取代的查尔酮化合物1ab对单胺氧化酶的抑制活性最高, 在100 µmol/L时达到43.64% (<50%), 但远低于阳性对照利血平(72.41%). 此外, 当苯并噻吩查尔酮衍生物在苯环上含有羟基取代基时, 取代基的位置显著影响其活性. 抑制活性强弱顺序为4-OH>3-OH, 当羟基位于对位时活性最高, 其次为间位. 因此, 从上述两类查尔酮衍生物的构象关系分析可以初步推断, 苯环上的供电子基的取代活性顺序为: 对位>间位, 羟基>甲氧基.
对于苯环上有卤素取代的吲哚查尔酮衍生物, 其对单胺氧化酶的抑制活性强弱顺序为2-F>3-Cl>3-F>2-Br>4-F. 当吲哚查尔酮衍生物在苯环上含有氟取代基时, 取代基的位置显著影响其活性. 活性顺序为2-F>3-F>4-F, 邻位活性最高, 间位次之, 对位活性最低. 对于苯环上带有卤素取代基的苯并噻吩查尔酮衍生物, 其对单胺氧化酶的抑制活性强弱顺序为3-F>4-F. 值得注意的是, 当吲哚查尔酮衍生物在苯环上含有氟取代基时, 取代基的位置显著影响其活性. 活性顺序为3-F>4-F, 间位活性最高, 其次为对位. 因此, 从上述对两类查尔酮衍生物构象关系的分析可以初步推断, 苯环上的卤素取代活性顺序为: 间位>对位.
图5可以看出, 在31个查尔酮衍生物1a~1ae中, 其中5个化合物(1c, 1f, 1g, 1v, 1aa)在100 µmol/L时对MAO表现出显著的抑制活性(>50%), 进一步研究了这5个化合物对MAO-A和MAO-B的抑制活性. 从表2可以看出, 在这5个化合物(1c, 1f, 1g, 1v, 1aa)中, 有3个化合物(1c, 1f, 1aa)对MAO-A和MAO-B表现出较强的抑制活性(>50%), 但它们的抑制活性明显低于其阳性对照氯吉林[89.35%, IC50=(47.82±2.74) µmol• L-1]和帕吉林[87.65%, IC50=(5.40±0.21) µmol•L-1]. 在苯环上有供电子取代基的吲哚查尔酮衍生物对MAO-A的抑制活性强弱顺序为: 3,4-(CH3)2>3-OCH3>4- OCH3>4-OH, 间位取代比对位取代抑制作用更强. 此外, 在苯环上具有供电子取代基的吲哚查尔酮衍生物对MAO-B的抑制活性强弱顺序为: 3-OCH3>3,4-(CH3)2>4-OCH3>4-OH, 这一结果也表明, 间位取代优于对位取代. 因此, 可以初步推断苯环上吸电子取代基活性强弱顺序为: 间位>对位, 甲氧基>羟基. 研究结果为开发针对苯环特定位置的高效、选择性MAO-A和MAO-B抑制剂提供了坚实的理论基础.
表2 化合物1c, 1f, 1g, 1v, 1aa对MAO-A、MAO-B的抑制活性

Table 2 Inhibitory activity of compounds 1c, 1f, 1g, 1v, and 1aa against MAO-A and MAO-B

Compound R Inhibition rate/% IC50/(µmol•L-1)
MAO-A MAO-B MAO-A MAO-B
1c 3,4-(CH3)2 52.46 51.11 77.85±1.36 24.96±2.33
1f 3-OCH3 51.88 52.97 120.15±5.87 81.07±2.41
1g 4-OCH3 46.07 48.89 53.74±0.95 104.95±3.46
1v 4-OH 30.16 32.80 49.38±1.23 >150
1aa 4-NO2 64.37 57.22 >150 51.99±0.76
Clorgiline 89.35 47.82±2.74
Pargyline 87.65 5.40±0.21

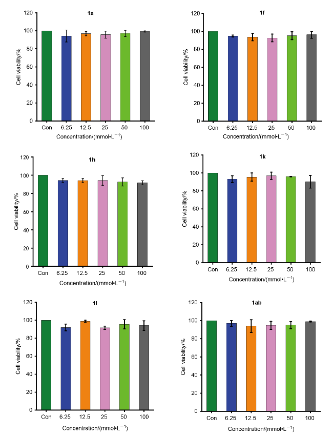
1.2.3 细胞毒性实验结果分析

化合物毒性是合成过程中最常见的副作用之一, 6个活性较好的化合物(1a, 1f, 1h, 1k, 1l, 1ab)用于进一步的细胞毒性测试. 噻唑蓝(MTT)测定的结果显示, 与空白对照组相比, 化合物在0~100 mmol/L范围内均显示90%以上的细胞存活率, 没有明显的细胞毒性(图6).
图6 化合物1a, 1f, 1h, 1k, 1l和1ab对L929细胞增殖的影响(MTT法)

Figure 6 Effect of compounds 1a, 1f, 1h, 1k, 1l and 1ab on the proliferation of L929 cells (MTT assay)

AO/EB荧光染色结果如图7所示(放大倍数为 10×、20×). 与空白对照组比较, 6种化合物(1a, 1f, 1h, 1k, 1l, 1ab)在100 mmol/L浓度时对L929细胞未表现出明显的毒性, 无细胞凋亡.
图7 化合物1a, 1f, 1h, 1k, 1l和1ab对AO/EB荧光染色的细胞毒性

Figure 7 Cytotoxicity of compounds 1a, 1f, 1h, 1k, 1l and 1ab on AO/EB fluorescence staining

1.3 分子对接结果分析

为了进一步研究化合物1a, 1c, 1f与BuChE, MAO- A和MAO-B的相互作用, 使用AutoDockTools 1.5.6软件进行了分子模拟研究. 如图8所示, 化合物1a共轭链上的羰基氧原子通过氨基酸残基SER-198和HIS-438与BuChE配合物形成氢键, 苯环与PHE-329、TRP-231和GLY-116发生π-π相互作用. 化合物1a与BuChE的对接能为-32.93 kJ/mol. 上述结果表明, 配体与靶蛋白具有良好的结合和匹配性.
图8 (A) 1a与BuChE分子对接(3D); (B) 1a与BuChE分子对接(2D)

Figure 8 (A) 3D molecular docking model of compound 1a with BuChE; (B) 2D molecular docking model of compound 1a with BuChE

图9所示, 化合物1c共轭链上的羰基氧原子与MAO-B活性中心TYR-435形成氢键, 吲哚环上的五元环碳原子与活性中心PHE-168形成氢键. 两个氢键的存在表明化合物1c能与MAO-B活性位点形成稳定的构象. 此外, 化合物1c的吲哚环通过氨基酸残基LEU-171与MAO-B存在Pi-Sigma相互作用, 苯环与TYR-398存在π-π相互作用. 化合物1c与MAO-B的对接能为-33.76 kJ/mol. 结果表明, 两者均具有较高的结合活性和稳定的结构.
图9 (A) 1c与MAO-B分子对接(3D); (B) 1c与MAO-B分子对接(2D)

Figure 9 (A) 3D molecular docking model of compound 1c with MAO-B; (B) 2D molecular docking model of compound 1c with MAO-B

图10所示, 化合物1f共轭链上的羰基氧原子通过氨基酸残基GLY-116和SER-198与BuChE配合物形成氢键, 吲哚环上的氮原子所携带的氢原子与活性中心PRO-285形成氢键. 吲哚环与PHE-329和TRP-231发生π-π叠加. 化合物1f与BuChE的对接能为-32.01 kJ/mol. 对接结果表明, 该配体与活性位点结合活性高, 结构稳定.
图10 (A) 1f与BuChE分子对接(3D); (B) 1f与BuChE分子对接(2D)

Figure 10 (A) 3D molecular docking model of compound 1f with BuChE; (B) 2D molecular docking model of compound 1f with BuChE

图11所示, 在与MAO-A配合物的分子对接中, 化合物1f共轭链上的羰基氧原子与ARG-51形成氢键, 吲哚环上的五元环氮原子所携带的氢原子与TYR-69形成氢键, 吲哚苯环与ALA-68形成氢键. 此外, 吲哚环与TYR-407形成π-π叠加作用, 苯环与TYR-444形成π-π叠加作用, 表明化合物1f与MAO-A络合物稳定结合. 化合物1f与MAO-A的对接能为-31.80 kJ/mol.
图11 (A) 1f与MAO-A分子对接(3D); (B) 1f与MAO-A分子对接(2D)

Figure 11 (A) 3D molecular docking model of compound 1f with MAO-A; (B) 2D molecular docking model of compound 1f with MAO-A

图12所示, 化合物1f与MAO-B对接后, 化合物1f共轭链上的羰基氧原子与CYS-172形成氢键, 甲氧基上的碳原子与ILE-199和PRO-102形成氢键, 吲哚环上的碳原子与ILE-198形成氢键. 吲哚环部分与LEU-171形成π-π叠加作用, 吲哚环部分也与CYS-172形成Pi-Sulfur相互作用. 化合物1f与MAO-B的对接能为-33.64 kJ/mol. 该配体通过π-π和氢键力与蛋白活性位点稳定结合, 匹配良好.
图12 (A) 1f与MAO-B分子对接(3D); (B) 1f与MAO-B分子对接(2D)

Figure 12 (A) 3D molecular docking model of compound 1f with MAO-B; (B) 2D molecular docking model of compound 1f with MAO-B

2 结论

本研究设计合成了22个吲哚查尔酮衍生物和9个苯并噻吩查尔酮衍生物, 并对这些化合物在体内外的潜在作用靶点进行了总结和分析. ChE实验结果表明, 所有化合物对AChE的抑制效果较弱, 而部分化合物对BuChE的抑制效果较好. MAO研究结果显示, 部分化合物对MAO具有较强的抑制作用. 进一步针对化合物(MAO抑制活性大于50%) MAO-A和MAO-B的抑制活性展开探究, 发现化合物1c1f1aa均表现出较强的MAO-A、MAO-B抑制作用, 而化合物1g1v对MAO-A、MAO-B的抑制活性相对较低. MTT实验结果显示, 化合物1a, 1f, 1h, 1k, 1l, 1ab对L929细胞并未呈现出显著的细胞毒性. 此外, 分子对接结果显示化合物1a, 1f与丁酰胆碱酯酶(BuChE)以及化合物1c, 1f与MAO-A和MAO-B之间存在着显著的相互作用. 上述成果为识别潜在的治疗阿尔茨海默病的靶点以及开发治疗神经精神性药物提供了坚实的理论基础.

3 实验部分

3.1 仪器与试剂

熔点仪(WRS-2,上海申光仪器仪表有限公司); 傅立叶变换红外光谱仪(TENSOR II, 瑞士布鲁克光谱仪器公司); 高分辨率质谱仪(ESI-HRMS, 布鲁克道尔顿仪器公司); 核磁共振仪(AV-300, 瑞士布鲁克光谱仪器公司); 酶标仪(Burton Instruments, USA); 紫外分析仪(ZF-I, 上海古村光电仪器厂); 恒温磁力搅拌器(Feb- 85-2, 巩义予华仪器责任有限公司); 电子天平(MA110, 上海良平仪器仪表有限公司); 远红外双快速干燥箱(WS70-1, 沪粤科学仪器厂); 恒温水浴锅(HH-S, 巩义予华仪器责任有限公司).
吲哚-3-甲醛购自Adamas公司; 石油醚、乙酸乙酯购自Macklin公司; NaOH、哌啶、冰醋酸购自九鼎化学; 无水Na2SO4、无水Na2CO3、二氯甲烷、乙腈、三氯甲烷购自Aladdin公司; 不同取代基的苯乙酮购自国药试剂有限公司; 薄层层析板和硅胶购自青岛海洋硅胶厂; 二甲基亚砜(DMSO-d6)、四氢呋喃(THF)、无水乙醇、甲醇、KBr、酪胺、香草酸、4-氨基替比林、辣根过氧化物酶、氯己定、对乙酰氨基酚、利血平购自阿拉丁试剂有限公司; BCA蛋白定量检测试剂盒和AO/EB双荧光染色试剂盒购自上海远物野生生物科技有限公司.

3.2 化合物的制备

3.2.1 吲哚查尔酮衍生物1a~1v的合成

取哌啶1.3 g (1.5 mmol)和不同取代基的苯乙酮(3 mmol)于装有15 mL无水乙醇的圆底烧瓶中. 常温条件下搅拌4 h后, 加入0.435 g吲哚-3-甲醛(3 mmol), 待其全部溶解并反应稳定后, 加热回流过夜. 使用薄层色谱(TLC)监测反应进展, 待反应完成后, 冷却至室温, 将溶液倒入冰水中进行淬灭, 析出黄色固体. 过滤使固液分离, 用冷无水乙醇或正己烷洗涤漏斗中的滤饼2~3次, 洗涤后的滤饼用无水乙醇或甲醇进行重结晶以获得黄色固体产物.
(E)-3-(1H-吲哚-3-基)-1-(间甲苯基)丙-2-烯-1-酮 (1a): HPLC/Purity: 99.56% (tR=8.020 min), yield 41.13%. m.p. 143.2~144.5 ℃; 1H NMR (300 MHz, DMSO-d6) δ: 11.92 (s, 1H, NH), 8.13 (s, 1H, NCH=C for indol ring), 8.06 (d, J=15.0 Hz, 1H, COCH=CH), 7.91~8.08 (m, 3H, C6H3), 7.61 (s, 1H, C6H1), 7.49 (d, J=15.0 Hz, 1H, COCH=CH), 7.22~7.55 (m, 4H, C6H4), 2.44 (s, 3H, CH3); 13C NMR (75 MHz, DMSO-d6) δ: 189.42, 139.36, 139.03, 138.51, 137.97, 133.62, 133.48, 129.04, 128.96, 125.86, 125.64, 123.17, 121.63, 120.82, 115.99, 113.24, 112.92, 21.46; HRMS calcd for C18H15NNaO [M+Na] 284.1051, found 284.1154.
(E)-3-(1H-吲哚-3-基)-1-(对甲苯基)丙-2-烯-1-酮 (1b): HPLC/Purity: 96.93% (tR=8.074 min), yield 53.13%. m.p. 167.3~167.4 ℃; 1H NMR (300 MHz, DMSO-d6) δ: 11.90 (s, 1H, NH), 8.33 (s, 1H, NCH=C for indol ring), 8.10 (d, J=15.0 Hz, 1H, COCH=CH), 8.03~8.12 (m, 4H, C6H4), 7.49 (d, J=15.0 Hz, 1H, COCH=CH), 7.21~7.46 (m, 4H, C6H4), 2.41 (s, 3H, CH3); 13C NMR (75 MHz, DMSO-d6) δ: 188.80, 143.10, 139.12, 137.97, 136.39, 133.51, 129.73, 128.73, 125.63, 123.15, 121.60, 120.82, 115.87, 113.25, 112.91, 21.63; HRMS calcd for C18H16NO [M+H] 262.1232, found 262.1234.
(E)-1-(3,4-二甲基苯基)-3-(1H-吲哚-3-基)丙-2-烯-1-酮(1c): HPLC/Purity: 97.31% (tR=10.642 min), yield 66.84%. m.p. 167.9~168.1 ℃; 1H NMR (300 MHz, DMSO-d6) δ: 11.94 (s, 1H, NH), 8.53 (s, 1H, NCH=C for indol ring), 8.10 (d, J=15.0 Hz, 1H, COCH=CH), 7.82~8.13 (m, 3H, C6H3), 7.70 (d, J=15.0 Hz, 1H, COCH=CH), 7.25~7.51 (m, 4H, C6H4), 2.37 (s, 3H, CH3), 2.33 (s, 3H, CH3); 13C NMR (75 MHz, DMSO-d6) δ: 188.98, 141.92, 138.93, 137.96, 137.15, 136.79, 133.33, 130.18, 129.54, 126.35, 125.68, 123.13, 121.58, 120.80, 116.02, 113.27, 112.90, 20.04, 19.88; HRMS calcd for C19H18NO [M+H] 276.1388, found 276.1390.
(E)-1-(3,5-二甲基苯基)-3-(1H-吲哚-3-基)丙-2-烯-1-酮(1d): HPLC/Purity: 98.86% (tR=9.708 min), yield 38.55%. m.p. 167.7~172.1 ℃; 1H NMR (300 MHz, DMSO-d6) δ: 11.92 (s, 1H, NH), 8.14 (s, 1H, NCH=C for indol ring), 8.07 (d, J=15.0 Hz, 1H, COCH=CH), 7.73~8.13 (m, 3H, C6H3), 7.64 (d, J=15.0 Hz, 1H, COCH=CH), 7.24~7.53 (m, 4H, C6H4), 2.51 (s, 3H, CH3), 2.39 (s, 3H, CH3); 13C NMR (75 MHz, DMSO-d6) δ: 189.53, 139.17, 138.30, 137.96, 134.21, 133.43, 126.30, 125.68, 123.14, 121.60, 120.79, 116.14, 113.25, 112.90, 21.36; HRMS calcd for C19H17NNaO [M+Na] 298.1208, found 298.1205.
(E)-1-(4-乙基苯基)-3-(1H-吲哚-3-基)丙-2-烯-1-酮 (1e): HPLC/Purity: 98.86% (tR=18.944 min), yield 52.10%. m.p. 165.4~165.5 ℃; 1H NMR (300 MHz, DMSO-d6) δ: 11.91 (s, 1H, NH), 8.43 (s, 1H, NCH=C for indol ring), 8.06 (d, J=15.0 Hz, 1H, COCH=CH), 7.51~7.95 (m, 4H, C6H4), 7.55 (d, J=15.0 Hz, 1H, COCH=CH), 7.21~7.55 (m, 4H, C6H4), 2.73 (q, J=7.0 Hz, 2H, CH2), 1.32 (t, J=7.0 Hz, 3H, CH3); 13C NMR (75 MHz, DMSO-d6) δ: 188.90, 149.19, 139.12, 137.98, 136.69, 133.52, 128.82, 128.55, 125.63, 123.16, 121.61, 120.82, 115.96, 113.25, 112.92, 28.66, 15.76; HRMS calcd for C19H18NO [M+H] 276.1388, found 276.1393.
(E)-3-(1H-吲哚-3-基)-1-(3-甲氧基苯基)丙-2-烯-1-酮(1f): HPLC/Purity: 98.17% (tR=17.669 min), yield 79.40%. m.p. 130.5~132.4 ℃; 1H NMR (300 MHz, DMSO-d6) δ: 11.96 (s, 1H, NH), 8.37 (s, 1H, NCH=C for indol ring), 8.10 (d, J=15.0 Hz, 1H, COCH=CH), 7.76~8.16 (m, 4H, C6H4), 7.76 (d, J=15.0 Hz, 1H, COCH=CH), 7.21~7.59 (m, 4H, C6H4), 3.87 (s, 3H, OCH3); 13C NMR (75 MHz, DMSO-d6) δ: 189.10, 159.96, 140.51, 139.58, 137.98, 133.70, 130.31, 125.66, 123.20, 121.68, 121.10, 120.80, 118.78, 115.97, 113.26, 113.16, 112.94, 55.76; HRMS calcd for C18H16NO2 [M+H] 278.1181, found 278.1184.
(E)-3-(1H-吲哚-3-基)-1-(4-甲氧基苯基)丙-2-烯-1-酮(1g): HPLC/Purity: 98.12% (tR=7.872 min), yield 91.08%. m.p. 173.1~174.3 ℃; 1H NMR (300 MHz, DMSO-d6) δ: 11.91 (s, 1H, NH), 8.46 (s, 1H, NCH=C for indol ring), 8.07 (d, J=15.0 Hz, 1H, COCH=CH), 7.72~8.18 (m, 4H, C6H4), 7.57 (d, J=15.0 Hz, 1H, COCH=CH), 7.09~7.52 (m, 4H, C6H4), 3.87 (s, 3H, OCH3); 13C NMR (75 MHz, DMSO-d6) δ: 187.71, 163.15, 138.61, 137.96, 133.24, 131.72, 130.89, 125.66, 123.12, 121.54, 120.82, 115.84, 114.37, 113.27, 112.90, 55.93, 55.76; HRMS calcd for C18H16NO2 [M+H] 278.1181, found 278.1186.
(E)-3-(1H-吲哚-3-基)-1-(2-硝基苯基)丙-2-烯-1-酮 (1h): HPLC/Purity: 91.17% (tR=6.053 min), yield 50.53%. m.p. 162.6~164.1 ℃; 1H NMR (300 MHz, DMSO-d6) δ: 12.00 (s, 1H, NH), 8.29 (s, 1H, NCH=C for indol ring), 8.13 (d, J=15.0 Hz, 1H, COCH=CH), 7.78~8.18 (m, 4H, C6H4), 7.74 (d, J=15.0 Hz, 1H, COCH=CH), 7.04~7.51 (m, 4H, C6H4); 13C NMR (75 MHz, DMSO-d6) δ: 191.95, 147.62, 142.00, 138.08, 136.53, 134.52, 131.41, 129.58, 125.31, 124.92, 123.40, 121.89, 120.70, 119.67, 113.06, 112.62; HRMS calcd for C17H13- N2O3 [M+H] 293.0926, found 293.0929.
(E)-3-(1H-吲哚-3-基)-1-(3-硝基苯基)丙-2-烯-1-酮 (1i): HPLC/Purity: 100.00% (tR=16.818 min), yield 76.52%. m.p. 204.7~205.1 ℃; 1H NMR (300 MHz, DMSO-d6) δ: 12.05 (s, 1H, NH), 8.76 (s, 1H, NCH=C for indol ring), 8.50 (d, J=15.0 Hz, 1H, COCH=CH), 8.13~8.62 (m, 4H, C6H4), 7.70 (d, J=15.0 Hz, 1H, COCH=CH), 7.25~7.72 (m, 4H, C6H4); 13C NMR (75 MHz, DMSO-d6) δ: 187.34, 148.59, 141.11, 140.21, 138.05, 134.84, 132.15, 130.91, 127.00, 125.62, 123.37, 122.89, 121.83, 120.95, 114.94, 113.38, 113.02; HRMS calcd for C17H12N2NaO3 [M+Na] 315.0746, found 315.0745.
(E)-3-(1H-吲哚-3-基)-1-(4-硝基苯基)丙-2-烯-1-酮 (1j): HPLC/Purity: 99.45% (tR=8.017 min), yield 81.26%. m.p. 227.1~228.4 ℃; 1H NMR (300 MHz, DMSO-d6) δ: 12.05 (s, 1H, NH), 8.76 (s, 1H, NCH=C for indol ring), 8.17 (d, J=15.0 Hz, 1H, COCH=CH), 8.07~8.39 (m, 4H, C6H4), 7.70 (d, J=15.0 Hz, 1H, COCH=CH), 7.24~7.62 (m, 4H, C6H4); 13C NMR (75 MHz, DMSO-d6) δ: 188.15, 149.82, 144.04, 141.25, 138.09, 134.91, 129.91, 125.53, 124.23, 123.41, 121.87, 121.02, 115.41, 113.40, 113.05; HRMS calcd for C17H13N2O3 [M+H] 293.0926, found 293.0925.
(E)-1-(2-氟苯基)-3-(1H-吲哚-3-基)丙-2-烯-1-酮(1k): HPLC/Purity: 98.18% (tR=8.759 min), yield 48.53%. m.p. 149.7~150.1 ℃; 1H NMR (300 MHz, DMSO-d6) δ: 11.97 (s, 1H, NH), 8.09 (s, 1H, NCH=C for indol ring), 7.63~7.92 (m, 4H, C6H4), 7.90 (d, J=15.0 Hz, 1H, COCH=CH), 7.76 (d, J=15.0 Hz, 1H, COCH=CH), 7.22~7.49 (m, 4H, C6H4); 13C NMR (75 MHz, DMSO-d6) δ: 188.75, 140.54, 138.12, 134.57, 133.94, 130.83, 128.13, 125.37, 123.34, 121.86, 120.55, 120.02, 119.96, 117.14, 116.84, 113.10, 112.90; HRMS calcd for C17H13FNO [M+H] 266.0981, found 266.0988.
(E)-1-(3-氟苯基)-3-(1H-吲哚-3-基)丙-2-烯-1-酮(1l): HPLC/Purity: 99.40% (tR=7.414 min), yield 58.27%. m.p. 177.5~178.6 ℃; 1H NMR (300 MHz, DMSO-d6) δ: 12.00 (s, 1H, NH), 8.53 (s, 1H, NCH=C for indol ring), 8.15 (d, J=15.0 Hz, 1H, COCH=CH), 7.88~8.19 (m, 4H, C6H4), 7.68 (d, J=15.0 Hz, 1H, COCH=CH), 7.24~7.65 (m, 4H, C6H4); 13C NMR (75 MHz, DMSO-d6) δ: 187.98, 164.45, 161.21, 141.38, 138.00, 134.17, 131.35, 125.62, 124.80, 123.27, 121.72, 120.99, 119.84, 115.37, 114.90, 113.32, 112.94; HRMS calcd for C17H12FNNaO [M+Na] 288.0801, found 288.0804.
(E)-1-(4-氟苯基)-3-(1H-吲哚-3-基)丙-2-烯-1-酮 (1m): HPLC/Purity: 94.68% (tR=8.118 min), yield 72.85%. m.p. 182.4~184.1 ℃; 1H NMR (300 MHz, DMSO-d6) δ: 11.97 (s, 1H, NH), 8.49 (s, 1H, NCH=C for indol ring), 8.11 (d, J=15.0 Hz, 1H, COCH=CH), 7.98~8.27 (m, 4H, C6H4), 7.68 (d, J=15.0 Hz, 1H, COCH=CH), 7.26~7.54 (m, 4H, C6H4); 13C NMR (75 MHz, DMSO-d6) δ: 187.82, 166.77, 163.45, 139.75, 138.01, 135.60, 133.91, 131.56, 125.61, 123.23, 121.66, 120.93, 116.23, 115.49, 113.69, 113.28, 112.94; HRMS calcd for C17H13FNO [M+H] 266.0981, found 266.0986.
(E)-1-(2-氯苯基)-3-(1H-吲哚-3-基)丙-2-烯-1-酮(1n): HPLC/Purity: 100.00% (tR=11.820 min), yield 41.03%. m.p. 157.1~157.4 ℃; 1H NMR (300 MHz, DMSO-d6) δ: 11.99 (s, 1H, NH), 8.35 (s, 1H, NCH=C for indol ring), 7.65 (d, J=15.0 Hz, 1H, COCH=CH), 7.58~8.05 (m, 4H, C6H4), 7.54 (d, J=15.0 Hz, 1H, COCH=CH), 7.02~7.59 (m, 4H, C6H4); 13C NMR (75 MHz, DMSO-d6) δ: 193.37, 142.11, 140.11, 138.11, 134.44, 131.62, 130.41, 130.27, 129.53, 127.79, 125.33, 123.37, 121.91, 120.74, 120.56, 113.07, 112.68; HRMS calcd for C17H12ClNNaO [M+Na] 304.0505, found 304.0508.
(E)-1-(3-氯苯基)-3-(1H-吲哚-3-基)丙-2-烯-1-酮 (1o): HPLC/Purity: 100.00% (tR=20.879 min), yield 88.61%. m.p. 166.8~168.0 ℃; 1H NMR (300 MHz, DMSO-d6) δ: 11.96 (s, 1H, NH), 8.38 (s, 1H, NCH=C for indol ring), 7.90 (d, J=15.0 Hz, 1H, COCH=CH), 7.83~8.18 (m, 4H, C6H4), 7.64 (d, J=15.0 Hz, 1H, COCH=CH), 7.22~7.58 (m, 4H, C6H4); 13C NMR (75 MHz, DMSO-d6) δ: 187.97, 140.90, 140.37, 137.98, 134.17, 132.55, 131.14, 128.13, 127.31, 125.64, 123.28, 121.73, 120.93, 115.31, 113.32, 112.95; HRMS calcd for C17H12Cl- NNaO [M+Na] 304.0505, found 304.0507.
(E)-1-(4-氯苯基)-3-(1H-吲哚-3-基)丙-2-烯-1-酮 (1p): HPLC/Purity: 100.00% (tR=22.183 min), yield 68.15%. m.p. 187.5~187.8 ℃; 1H NMR (300 MHz, DMSO-d6) δ: 11.99 (s, 1H, NH), 8.19 (s, 1H, NCH=C for indol ring), 7.65 (d, J=15.0 Hz, 1H, COCH=CH), 7.58~8.05 (m, 4H, C6H4), 7.54 (d, J=15.0 Hz, 1H, COCH=CH), 7.02~7.59 (m, 4H, C6H4); 13C NMR (75 MHz, DMSO-d6) δ: 188.12, 140.09, 138.03, 137.74, 137.63, 134.10, 130.53, 129.21, 125.61, 123.26, 121.70, 120.94, 115.39, 113.32, 112.97, 56.54, 19.04; HRMS calcd for C17H12ClNNaO [M+Na] 304.0505, found 304.0506.
(E)-1-(2,4-二氯苯基)-3-(1H-吲哚-3-基)丙-2-烯-1-酮 (1q): HPLC/Purity: 99.11% (tR=11.361 min), yield 53.69%. m.p. 191.7~192.8 ℃; 1H NMR (300 MHz, DMSO-d6) δ: 12.01 (s, 1H, NH), 8.38 (s, 1H, NCH=C for indol ring), 7.67 (d, J=15.0 Hz, 1H, COCH=CH), 7.58~8.07 (m, 3H, C6H3), 7.26 (d, J=15.0 Hz, 1H, COCH=CH), 7.01~7.49 (m, 4H, C6H4); 13C NMR (75 MHz, DMSO-d6) δ: 192.43, 142.71, 138.92, 138.14, 135.32, 134.80, 131.55, 130.95, 129.96, 128.04, 125.31, 123.42, 121.95, 120.68, 120.42, 113.09, 112.77; HRMS calcd for C17H11Cl2NNaO [M+Na] 338.0115, found 338.0117.
(E)-1-(2-溴苯基)-3-(1H-吲哚-3-基)丙-2-烯-1-酮(1r): HPLC/Purity: 100.00% (tR=11.913 min), yield 27.75%. m.p. 172.0~172.3 ℃; 1H NMR (300 MHz, DMSO-d6) δ: 11.99 (s, 1H, NH), 8.35 (s, 1H, NCH=C for indol ring), 7.62 (d, J=15.0 Hz, 1H, COCH=CH), 7.73~8.05 (m, 4H, C6H4), 7.54 (d, J=15.0 Hz, 1H, COCH=CH), 6.99~7.49 (m, 4H, C6H4); 13C NMR (75 MHz, DMSO-d6) δ: 194.33, 142.32, 142.16, 138.12, 134.42, 133.48, 131.64, 129.41, 128.24, 125.33, 123.38, 121.92, 120.56, 119.13, 113.07, 112.70; HRMS calcd for C17H12BrNNaO [M+ Na] 348.0000, found 348.0001.
(E)-1-(3-溴苯基)-3-(1H-吲哚-3-基)丙-2-烯-1-酮(1s): HPLC/Purity: 98.68% (tR=8.661 min), yield 78.62%. m.p. 173.4~173.6 ℃; 1H NMR (300 MHz, DMSO-d6) δ: 12.05 (s, 1H, NH), 8.36 (s, 1H, NCH=C for indol ring), 8.54 (d, J=15.0 Hz, 1H, COCH=CH), 7.59~8.05 (m, 4H, C6H4), 7.44 (d, J=15.0 Hz, 1H, COCH=CH), 7.00~7.47 (m, 4H, C6H4); 13C NMR (75 MHz, DMSO-d6) δ: 194.34, 142.35, 142.16, 138.12, 134.45, 133.48, 131.64, 129.42, 128.24, 125.33, 123.38, 121.92, 120.56, 119.14, 113.08, 112.71; HRMS calcd for C17H12BrNNaO [M+ Na] 348.0000, found 348.0003.
(E)-1-(4-溴苯基)-3-(1H-吲哚-3-基)丙-2-烯-1-酮 (1t): HPLC/Purity: 99.66% (tR=10.838 min), yield 53.70 %. m.p. 200.2~202.3 ℃; 1H NMR (300 MHz, DMSO-d6) δ: 12.00 (s, 1H, NH), 8.30 (s, 1H, NCH=C for indol ring), 8.08~8.17 (m, 4H, C6H4), 8.11 (d, J=15.0 Hz, 1H, COCH=CH), 7.66 (d, J=15.0 Hz, 1H, COCH=CH), 7.26~7.55 (m, 4H, C6H4); 13C NMR (75 MHz, DMSO-d6) δ: 188.34, 140.14, 138.03, 137.96, 134.12, 132.16, 130.67, 126.84, 125.60, 123.28, 121.72, 120.92, 115.37, 113.32, 112.98, 56.55, 19.03; HRMS calcd for C17H12BrNNaO [M+Na] 348.0000, found 348.0004.
(E)-3-(1H-吲哚-3-基)-1-(4-(三氟甲基)苯基)丙-2-烯- 1-酮(1u): HPLC/Purity: 99.57% (tR=11.230 min), yield 77.22%. m.p. 195.3~196.1 ℃; 1H NMR (300 MHz, DMSO-d6) δ: 12.01 (s, 1H, NH), 8.49 (s, 1H, NCH=C for indol ring), 7.92~8.32 (m, 4H, C6H4), 8.14 (d, J=15.0 Hz, 1H, COCH=CH), 7.66 (d, J=15.0 Hz, 1H, COCH=CH), 7.26~7.54 (m, 4H, C6H4); 13C NMR (75 MHz, DMSO-d6) δ: 188.64, 142.39, 140.82, 138.07, 134.58, 132.44, 129.36, 126.23, 126.10, 126.06, 125.55, 123.35, 122.62, 121.81, 120.97, 115.52, 113.02, 56.51; HRMS calcd for C18H12F3NNaO [M+Na] 338.0769, found 338.0773.
(E)-1-(4-羟基苯基)-3-(1H-吲哚-3-基)丙-2-烯-1-酮 (1v): HPLC/Purity: 90.54% (tR=5.619 min), yield 44.70%. m.p. 190.4~194.6 ℃; 1H NMR (300 MHz, DMSO-d6) δ: 11.88 (s, 1H, NH), 9.96 (s, 1H, OH), 8.29 (s, 1H, NCH=C for indol ring), 8.08 (d, J=15.0 Hz, 1H, COCH=CH), 7.79~8.13 (m, 4H, C6H4), 7.55 (d, J=15.0 Hz, 1H, COCH=CH), 6.92~7.70 (m, 4H, C6H4); 13C NMR (75 MHz, DMSO-d6) δ: 187.53, 185.47, 162.30, 138.11, 137.94, 132.96, 131.13, 130.19, 125.65, 123.94, 123.06, 122.61, 121.48, 120.79, 115.96, 115.82, 113.27, 112.86; HRMS calcd for C17H14NO2 [M+H] 264.1025, found 264.1030.

3.2.2 苯并噻吩查尔酮衍生物的合成(1w~1ae)

将不同取代基的苯乙酮(3 mmol, 0.12 g)和氢氧化钠(3 mmol)溶解于15 mL无水乙醇中, 并在室温下搅拌1 h. 称取苯并噻吩-3-甲醛(3 mmol, 0.486 g)添加到圆底烧瓶中, 待全部溶解并使反应稳定后, 将烧瓶移至65 ℃的油浴中, 加热回流过夜反应. 使用薄层色谱法监测反应进程. 当TLC完全跟踪反应后, 将圆底烧瓶从油浴中取出. 待其冷却至室温后, 将溶液倒入冰水中进行淬火, 析出黄色固体. 过滤使固液分离, 用冷无水乙醇洗涤漏斗中的滤饼2~3次, 洗涤后的滤饼用三氯甲烷或甲醇进行重结晶, 以获得干净的黄色固体.
(E)-3-(苯并[b]噻吩-3-基)-1-(3-氟苯基)丙-2-烯-1-酮(1w): HPLC/Purity: 96.60% (tR=14.74 min), yield 28.62%. m.p. 93.0~94.0 ℃; 1H NMR (300 MHz, DMSO-d6) δ: 8.26 (s, 1H, SCH=C for thiophen ring), 8.06~8.23 (m, 4H, C6H4), 8.13 (d, J=15.0 Hz, 1H, COCH=CH), 7.56 (d, J=15.0 Hz, 1H, COCH=CH), 7.47~7.96 (m, 4H, C6H4); 13C NMR (75 MHz, DMSO-d6) δ: 188.41, 164.46, 161.21, 140.38, 140.30, 137.52, 136.22, 131.99, 126.53, 125.76,124.31, 123.80, 123.62, 122.67, 120.38, 115.60, 115.30; HRMS calcd for C17H11FNaOS [M+Na] 305.0412, found 305.0414.
(E)-3-(苯并[b]噻吩-3-基)-1-(4-氟苯基)丙-2-烯-1-酮(1x): HPLC/Purity: 96.55% (tR=22.809 min), yield 69.39%. m.p. 120.4~120.5 ℃; 1H NMR (300 MHz, DMSO-d6) δ: 8.67 (s, 1H, SCH=C for thiophen ring), 8.06~8.30 (m, 4H, C6H4), 8.26 (d, J=15.0 Hz, 1H, COCH=CH), 7.50 (d, J=15.0 Hz, 1H, COCH=CH), 7.40~7.55 (m, 4H, C6H4); 13C NMR (75 MHz, DMSO-d6) δ: 188.15, 140.37, 137.52, 135.78, 132.04, 131.90, 131.35, 125.75, 125.66, 123.81, 122.67, 122.58, 116.47, 116.18; HRMS calcd for C17H11FNaOS [M+Na] 305.0412, found 305.0416.
(E)-3-(苯并[b]噻吩-3-基)-1-(4-溴苯基)丙-2-烯-1-酮(1y): HPLC/Purity: 98.07% (tR=19.586 min), yield 27.74%. m.p. 132.7~134.6 ℃; 1H NMR (300 MHz, DMSO-d6) δ: 8.67(s, 1H, SCH=C for thiophen ring), 8.10~8.25 (m, 4H, C6H4), 8.09 (d, J=15.0 Hz, 1H, COCH=CH), 7.55 (d, J=15.0 Hz, 1H, COCH=CH), 7.46~7.83 (m, 4H, C6H4); 13C NMR (75 MHz, DMSO-d6) δ: 188.74, 140.37, 137.50, 137.07, 136.10, 132.37, 132.01, 131.59, 131.00, 127.78, 125.77, 125.68, 123.82, 122.68, 122.44; HRMS calcd for C17H12BrOS [M+H] 342.9792, found 342.9787.
(E)-3-(苯并[b]噻吩-3-基)-1-(3-硝基)丙-2-烯-1-酮(1z): HPLC/Purity: 98.21% (tR=13.432 min), yield 71.8%. m.p. 147.9~148.9 ℃; 1H NMR (300 MHz, DMSO-d6) δ: 8.73 (s, 1H, SCH=C for thiophen ring), 8.52~8.83 (m, 4H, C6H4), 8.49 (d, J=15.0 Hz, 1H, COCH=CH), 7.55 (d, J=15.0 Hz, 1H, COCH=CH), 7.47~7.92 (m, 4H, C6H4); 13C NMR (75 MHz, DMSO-d6) δ: 187.85, 152.29, 147.92, 144.38, 138.41, 138.11, 133.38, 132.92, 132.32, 125.82, 125.70, 124.38, 123.65, 121.74, 124.52; HRMS calcd for C17H12NO3S [M+H] 310.0538, found 310.0529.
(E)-3-(苯并[b]噻吩-3-基)-1-(4-硝基)丙-2-烯-1-酮 (1aa): HPLC/Purity: 99.49% (tR=13.432 min), yield 73.65%. m.p. 171.7~172.7 ℃; 1H NMR (300 MHz, DMSO-d6) δ: 8.71 (s, 1H, SCH=C for thiophen ring), 8.13~8.42 (m, 4H, C6H4), 8.12 (d, J=15.0 Hz, 1H, COCH=CH), 7.54 (d, J=15.0 Hz, 1H, COCH=CH), 7.47~7.55 (m, 4H, C6H4); 13C NMR (75 MHz, DMSO-d6) δ: 188.85, 150.29, 142.92, 140.38, 137.41, 137.11, 132.38, 131.92, 130.32, 125.82, 125.75, 124.38, 123.85, 122.74, 122.52; HRMS calcd for C17H12NO3S [M+H] 310.0538, found 310.0539.
(E)-3-(苯并[b]噻吩-3-基)-1-(3-羟基苯基)丙-2-烯-1-酮(1ab): HPLC/Purity: 97.04% (tR=8.231 min), yield 65.49%. m.p. 168.5~170.9 ℃; 1H NMR (300 MHz, DMSO-d6) δ: 10.14 (s, 1H, OH), 8.65 (s, 1H, SCH=C for thiophen ring), 7.91~8.23 (m, 4H, C6H4), 8.06 (d, J=15.0 Hz, 1H, COCH=CH), 7.55 (d, J=15.0 Hz, 1H, COCH=CH), 7.08~7.67 (m, 4H, C6H4); 13C NMR (75 MHz, DMSO-d6) δ: 189.53, 158.24, 140.38, 139.54, 137.56, 135.43, 132.05, 131.08, 130.38, 125.74, 125.64, 123.81, 123.01, 122.58, 120.79, 119.99, 115.09; HRMS calcd for C17H12NaO2S [M+Na] 303.0456, found 303.0455.
(E)-3-(苯并[b]噻吩-3-基)-1-(4-羟基苯基)丙-2-烯-1-酮(1ac): HPLC/Purity: 90.90% (tR=8.231 min), yield 54.06%. m.p. 206.0~209.3 ℃; 1H NMR (300 MHz, DMSO-d6) δ: 10.07 (s, 1H, OH), 8.60 (s, 1H, SCH=C for thiophen ring), 8.07~8.23 (m, 4H, C6H4), 8.11 (d, J=15.0 Hz, 1H, COCH=CH), 7.55 (d, J=15.0 Hz, 1H, COCH=CH), 6.94~7.60 (m, 4H, C6H4); 13C NMR (75 MHz, DMSO-d6) δ: 187.57, 162.73, 140.37, 137.61, 134.38, 132.24, 131.62, 131.17, 130.36, 129.61, 125.67, 125.57, 123.77, 123.00, 122.60, 115.93; HRMS calcd for C17H12- NaO2S [M+Na] 303.0456, found 303.0454.
(E)-3-(苯并[b]噻吩-3-基)-1-(4-(三氟甲基)苯基)丙- 2-烯-1-酮(1ad): HPLC/Purity: 97.40% (tR=17.321 min), yield 31.52%. m.p. 135.5~136.3 ℃; 1H NMR (300 MHz, DMSO-d6) δ: 8.70(s, 1H, SCH=C for thiophen ring), 8.12~8.36 (m, 4H, C6H4), 8.13 (d, J=15.0 Hz, 1H, COCH=CH), 7.55 (d, J=15.0 Hz, 1H, COCH=CH), 7.47~7.58 (m, 4H, C6H4); 13C NMR (75 MHz, DMSO-d6) δ: 189.11, 141.37, 140.38, 137.45, 136.72, 133.08, 132.65, 132.04, 131.96, 129.73, 126.27, 126.22, 125.78, 125.70, 123.82, 122.70, 122.54; HRMS calcd for C18H12F3OS [M+H] 333.0561, found 333.0562.
(E)-3-(苯并[b]噻吩-3-基)-1-(4-甲氧基苯基)丙-2-烯- 1-酮(1ae): HPLC/Purity: 100.00% (tR=17.614 min), yield 53.33%. m.p. 149.1~149.7 ℃; 1H NMR (300 MHz, DMSO-d6) δ: 8.63 (s, 1H, SCH=C for thiophen ring), 7.48~8.23 (m, 4H, C6H4), 8.12 (d, J=15.0 Hz, 1H, COCH=CH), 7.55 (d, J=15.0 Hz, 1H, COCH=CH), 7.11~7.51 (m, 4H, C6H4), 3.37 (s, 3H, OCH3); 13C NMR (75 MHz, DMSO-d6) δ: 187.79, 163.73, 140.36, 137.61, 134.74, 132.17, 131.36, 130.94, 130.63, 125.70, 125.61, 123.80, 122.89, 122.61, 114.56, 56.07; HRMS calcd for C18H14NaO2S [M+Na] 317.0612, found 317.0608.

3.3 胆碱酯酶活性实验

化合物1a~1ae溶解在DMSO中, 然后用体积分数为10%的DMSO稀释以获取不同浓度的样品溶液. 每个浓度平行测试三次, 取96空板, 依次加入20 µL待测样品或阳性药物[空白对照加入体积分数为10%的DMSO]、40 µL AChE或BuChE (0.2 U/mL)、100 µL DTNB (0.001 mol/L), 混合均匀后于37 ℃恒温水浴锅孵育15 min. 孵育后添加20 µL底物ATCI或BTCI (0.001 mol/L), 再将混合液放于37 ℃恒温水浴锅中孵育3 min. 孵育结束后, 使用多功能酶标仪于412 nm处测量吸光度值, 每个浓度测量三次.

3.4 单胺氧化酶活性实验

实验所用单胺氧化酶取自ICR小鼠肝脏, 经BCA蛋白定量试剂盒测定, MAO母液蛋白浓度为26.52 mg/mL. 采用改良Holts法测定衍生物对MAO、MAO-A以及MAO-B的抑制水平. 取一块96孔板, 依次加入25 µL酶稀释液, 然后加入25 µL不同浓度的待测样品, 37 ℃孵育1 h. 随后加入120 µL底物, 再加入80 µL显色液, 37 ℃孵育40 min. 孵育结束后, 使用多功能酶标仪于490 nm处测量吸光度值, 对每个浓度进行三次测量.

3.5 细胞毒性实验

本实验选择L929细胞, 将其放置于96孔板中, 每孔2×104个细胞, 置于37 ℃、体积分数为5%的二氧化碳的细胞培养箱中培养24 h, 直至细胞完全贴壁. 然后将含有不同浓度待测化合物的培养基加入培养箱中孵育24 h. 接着向96孔板中加入20 µL、5 mg/kg的MTT溶液[由磷酸盐缓冲液(PBS)配制], 在细胞培养箱中孵育4 h. 最后, 取出96孔板, 弃去原培养基, 加入160 µL DMSO, 并在摇床中充分混合约10 min. 使用波长为490 nm的酶标准仪器对每个浓度的光密度(OD)值进行三次测量.
取L929细胞, 放置于6孔板中, 每孔加入2×105个细胞, 置于37 ℃、体积分数为5%的二氧化碳的细胞培养箱中培养12 h, 使细胞完全贴壁. 然后向每孔中加入1 mL含有不同浓度待测化合物的培养基, 继续孵育12 h, 随后用PBS洗除培养基. 在避光条件下, 缓慢加入1 mL PBS和80 µL丫啶橙(AO)溶液, 孵育5 min后再用PBS洗涤1~2次. 最后在荧光显微镜下观察细胞, 并对观察结果进行保存和分析.

3.6 分子对接

通过Pubchem数据库下载关键靶点蛋白3D结构, 使用AutoDockTools1.5.6软件对蛋白质进行去除结晶水和加氢等处理, 然后利用AutoDock vina1.1.2、Pymol 2.1和Discovery studio(Ds)V2019软件进行分子对接及可视化对接结果. 采用默认参数对BuChE、MAO-A和MAO- B蛋白晶体的初始结构进行处理, 将优化后的蛋白晶体结构与查尔酮衍生物进行分子模拟. 从分子水平上对该化合物的BuChE、MAO-A和MAO-B抑制作用进行评价, 为今后设计更好的BuChE、MAO-A和MAO-B抑制剂提供思路.
辅助材料(Supporting Information) 化合物1a~1ae1H NMR, 13C NMR, HPLC和HRMS光谱. 这些材料可以免费从本刊网站(http://sioc-journal.cn/)上下载.
(Cheng, F.)
[1]
Ramirez, S.; Koerich, S.; Astudillo, N.; Gregorio, N. D.; Lahham, R. A.; Allison, T.; Rocha, N. P.; Wang, F.; Soto, C. Int. J. Mol. Sci. 2023, 24, 17087.

[2]
Hua, K. Y.; Zhao, W. J. Folia Neuropathol. 2023, 61, 15.

[3]
Saleem, L.; Zubbair, M. M.; Debnath, P. Heliyon 2021, 7, e08502.

[4]
Li, X. T. Metab. Brain Dis. 2022, 37, 581.

[5]
Arianna, P.; Manuela, G.; Pierpaolo, S.; Francesca, J.; Maria, D. A.; Giuseppe, S. Cell. Mol. Neurobiol. 2018, 38, 817.

[6]
Tabet, N. Age Ageing 2006, 35, 336.

DOI PMID

[7]
Lina, H.; Grant, S.; Katrin, B.; Sonja, M.; Simon, Y.; Klaus, H.; Jürgen, E.; Gerald, M. Pharmacol. Ther. 2007, 113, 154.

[8]
Saleh, L.Y.; Özdemir, S.; Sağlık, B. N.; Döndaş, H. A.; Altug, C. J. Mol. Struct. 2024, 1313, 138667.

[9]
Annette, M.; Klaus, H.; Marlene, K.; Matt, S.; Ralph, M.; Jürgen, E.; David, C.; Gerald, M. Adv. Drug Delivery 2008, 60, 1463.

[10]
Kim, C. R.; Choi, S. J.; Kwon, Y. K.; Kim, J. K.; Kim, Y. J.; Park, G. G. Biol. Pharm. Bull. 2016, 39, 1130.

[11]
Mirjana, B. L.; ŠGoran, H. P. R. Prog. Brain Res. 2021, 261, 379.

DOI PMID

[12]
Wang, Q. J.; Ren, H. H.; Liu, T. Q.; Zhang, X. Y. J. Affective Disord. 2024, 351, 8.

[13]
Salwierz, P.; Thapa, S.; Taghdiri, F.; Vasilevskaya, A.; Anastassiadis, C.; Wai, D. F. T. A.; Golas, C.; Tartaglia, M. C. GeroScience 2024, 46, 783.

DOI PMID

[14]
Mayeli, M.; Shafie, M.; Shiravi, M.; Parvar, T. A.; Mirsepassi, Z.; Rahiminejad, F.; Sattarpour, R.; Aghamollaii, V. Health Rep. 2024, 7, e2106.

[15]
Zhao, Y.; Qin, Y.; Hu, X.; Chen, X.; Jiang, Y. P.; Jin, X. J.; Li, G.; Li, Z. H.; Yang, J. H.; Cui, S. Y.; Zhang, Y. H. Front. Pharmacol. 2024, 15, 1406127.

[16]
Mesa, R. R.; Barquera, J. A. O. S. D. L. D.; Medellin, G.; Garza, L. A. D. L.; Torres, G. S.; Velazquez, J. O. M.; Aviles, F. S. S.; Martinez, J. Am. J. Geriat. Psychiat. 2024, 32, S102.

[17]
Fakih, N.; Fakhoury, M. J. Psychiatr. Pract. 2024, 30, 181.

DOI PMID

[18]
Oliveira, V. M. D.; Rocha, M. N. D.; Roberto, C. H. A.; Lucio, F. N. M.; Marinho, M. M.; Marinho, E. S.; Morais, S. M. D. J. Mol. Struct. 2024, 1302, 137453.

[19]
Meghan, P.; Zhi, L.; Bing, Q.; Grace, T.; Matthew, U.; Reed, O.; Rebecca, D.; Julia, V.; Sheyum, S.; Nissim, I.; María, D. L. P. F.; Mimi, S. H. Sci. Rep. 2023, 13, 10411.

[20]
Flavia, R.; Claudio, C.; Andrea, S.; Niccolò, S.; Alessandro, V.; Nicolas, Z.; Michele, F.; Ken, G.; Ignazio, C. C.; Vincent, V. D. E.; Stephen, S.; Felice, L.; Andrea, D. B. Eur. Neuropsychopharmacol. 2023, 72, 60.

[21]
Ji, Y.; Yang, C. Y.; Pang, X. R.; Yan, Y. B.; Wu, Y.; Geng, Z.; Hu, W. J.; Hu, P. P.; Wu, X. Q.; Wang, K. Neural Regener. Res. 2024, 20, 326.

[22]
Kupershmidt, L.; Youdim, M. B. H. Cell 2023, 12, 763.

[23]
Min, P. S.; Hyun, L. S.; Yan, Z. H.; Jeongtae, K.; Young, J. J.; Jin, C. Y.; Soyeon, J.; Soyeong, S.; Kyungsook, J.; Hee, J. J. Front. Neurosci. 2023, 17, 1108371.

[24]
Daniela, M.; Sara, M.; Benjamin, M.; Joseph, B. J.; František, D. Front. Pharmacol. 2023, 14, 1196413.

[25]
Sang, Z. P.; Wang, K. R.; Wang, H. F.; Wang, H. J.; Ma, Q. W.; Han, X.; Ye, M. Y.; Yu, L. T.; Liu, W. M. Bioorg. Med. Chem. Lett. 2017, 27, 5046.

[26]
Asif, H.; Al, B. K.; Jawaid, A. M.; Alam, K. S. J. Mol. Struct. 2021.

[27]
Macklin, J. L.; Schwans, P. J. Bioorg. Med. Chem. Lett. 2020, 30, 127213.

[28]
Singh, A.; Sharma, S.; Arora, S.; Attri, S.; Kaur, P.; Gulati, H. K.; Bhagat, K.; Kumar, N.; Singh, H.; Singh, J. V.; Bedi, P. M. S. Bioorg. Med. Chem. Lett. 2020, 30, 127477.

[29]
Rialette, H.; Petzer, J. P.; Anél, P. Bioorg. Med. Chem. Lett. 2022, 77, 129038.

[30]
Jawed, A. M.; Amena, A.; Abuzer, A.; Arunkumar, T.; Bakht, M. A.; Mohammad, Y.; Salahuddin, A. ACS Omega 2022, 7, 38207.

[31]
Munir, S.; Shahid, A.; Aslam, B.; Ashfaq, U. A.; Akash, M. S. H.; Ali, M. A.; Almatroudi, A.; Allemailem, K. S.; Rajoka, M. S. R.; Khurshid, M.; Baloch, Z. J. Evidence-Based Complementary Altern. Med. 2020, 2020, 8836983.

[32]
Funahashi, R.; Matsuura, F.; Ninomiya, M.; Okabe, S.; Takashima, S.; Tanaka, K.; Nishina, A.; Koketsu, M. Bioorg. Chem. 2024, 145, 107229.

[33]
Liu, W. H.; Zhao, D. H.; He, Z. W.; Hu, Y. M.; Zhu, Y. X.; Zhang, L. J.; Jin, L. H.; Guan, L. P.; Wang, S. H. Molecules 2022, 27, 9062.

[34]
Tan, Q. W.; He, L. Y.; Zhang, S. S.; He, Z. W.; Liu, W. H.; Zhang, L.; Guan, L. P.; Wang, S. H. Chem. Biodiversity 2022, 19, e202100610.

[35]
Guan, L. P.; He, Z. W.; Jiang, K. L.; Sun, X. H.; Tang, M.; Liu, Y. W.; Wu, D. Chem. Biodiversity 2023, 20, e202301271.

Outlines

/