ARTICLES

Synthesis of Pyrazolo(iso)quinoline Derivatives from Aryl Alkynes and N-Imine(iso)quinoline Ylides Catalyzed by Bisphosphonium Salt

  • Yinsheng Miao ,
  • Lei Zhang ,
  • Jianqi Chen ,
  • Lili Wang , * ,
  • Zheng Duan , *
Expand
  • International Phosphorus Laboratory, College of Chemistry, Zhengzhou University, Zhengzhou 450001

Received date: 2025-01-10

  Revised date: 2025-03-27

  Online published: 2025-04-17

Supported by

National Natural Science Foundation of China(22101262)

National Natural Science Foundation of China(22171245)

Key Scientific and Technological Project of Henan Province(242102230166)

Copyright

© 2025 Shanghai Institute of Organic Chemistry, Chinese Academy of Sciences

Abstract

Recent studies have demonstrated that 2,2'-bis(diphenylphosphino)-1,1'-binaphthyl (Binap) based bisphosphonium salts Binap(OTf)2 exhibit excellent catalytic performance in visible light photoredox catalysis, holding promise as a competitive class of visible-light catalysts. Binap(OTf)2 was successfully utilized to catalyze the cyclization of aryl alkynes with N-imine(iso)quinoline ylides under blue light, addressing the limitations of substrate availability or accessibility in the current synthesis of β-aryl-substituted pyrazolo(iso)quinoline compounds. This approach provides a new strategy for the construction of pyrazolo(iso)quinoline compounds.

Cite this article

Yinsheng Miao , Lei Zhang , Jianqi Chen , Lili Wang , Zheng Duan . Synthesis of Pyrazolo(iso)quinoline Derivatives from Aryl Alkynes and N-Imine(iso)quinoline Ylides Catalyzed by Bisphosphonium Salt[J]. Chinese Journal of Organic Chemistry, 2025 , 45(8) : 2876 -2884 . DOI: 10.6023/cjoc202501005

近些年来, 光氧化还原反应[1]得到了快速的发展, 在有机合成化学中扮演了重要角色[2], 其中, 过渡金属配合物, 如钌和铱的配合物[Ru(bpy)3]2+ (PC1)和fac- Ir(ppy)3 (PC2)等被广泛应用(图1)[3]. 然而, 由于这些催化剂的价格昂贵且可能对环境造成污染, 研究者开始探索发展更环保的非金属有机光催化剂. 其中, 吖啶盐衍生物[4](PC3)和咔唑取代的苯腈衍生物[5]等因其优异的催化性能而受到广泛的关注. 磷杂多环芳烃化合物同样具有在可见光区有强吸收、稳定性好等特点, 最新的一些研究表明多环芳烃季鏻盐在可见光催化反应中表现出优异的性能. 例如单季鏻盐[6](PC4)以及双季鏻盐Binap(OTf)2 (PC5)催化的乙烯基醚的聚合反应[7]和分子内氢化烷氧基化[8-9] (Scheme 1)等. 尤其是在烯基醚的阳离子聚合反应中, 双季鏻盐PC5参与的催化体系可以通过光照控制反应进程, 且其活性远高于单季鏻盐. Binap(OTf)2可由2,2'-双(二苯基膦)-1,1'-联萘(Binap)在铜盐作用下制备[10], 但是一直存在合成收率低、重复性差的问题. 最近我们课题组[11]对其合成方法进行了改进, 大大提高了合成收率, 基于Binap(OTf)2的这些优势, 开发其在光氧化还原反应中的新应用, 有望建立一些新的高效合成路线, 具有重要的研究价值.
图1 有机光氧化还原催化剂

Figure 1 Organic photoredox catalysts

图式1 双季鏻盐催化的光氧化还原过程

Scheme 1 Photoredox process catalyzed by bisphosphonium salt

吡唑并[5,1-a]异喹啉和吡唑并[1,5-a]喹啉是两类具有重要生物活性的化合物, 已经出现在多种生物活性化合物中, 例如Aurora A抑制剂[12]、CB1大麻素受体拮抗剂[13]、多巴胺D4受体拮抗剂[14]. 此类化合物常见的一个合成方法是由吡唑衍生物出发, 通过Sonogashira偶联[15]和C—H/N—H官能团化构建[16-19](Scheme 2a). 另一方法是以N-亚胺(异)喹啉叶立德为起始原料, 随后与多种不饱和烃发生反应得到目标产物. 这些反应所使用的不饱和碳氢化合物原料涵盖炔酸甲酯[20]、2-(三甲基硅基)乙烯酮[21]、芳基乙炔[22]、碳酸亚乙烯酯[23]和烯酰胺[24]等(Scheme 2b). 最近, 我们课题组[11]报道了双季鏻盐PC5催化的芳基烯烃与N-亚胺(异)喹啉叶立德反应合成吡唑并(异)喹啉衍生物的方法, 结果表明, Binap(OTf)2可以在可见光诱导下发生单电子转移(SET)过程, 实现有效活化N-亚胺(异)喹啉叶立德产生高活性N-中心自由基前体(Scheme 2b)[25]. 因此我们设想该物种既然可以与芳基烯烃发生反应[26-27], 也应该可以与芳基炔烃发生反应构建吡唑并(异)喹啉衍生物, 并且考虑到减少了脱氢的个数, 反应很可能不需要脱氢试剂的使用. 我们的实验结果证实了上述设想, 本研究建立了双季鏻盐在可见光诱导下催化芳基炔烃与N-亚胺(异)喹啉叶立德的环化反应用于构建吡唑并喹啉衍生物的方法, 为该类型化合物的合成提供了新的路径. 相较于传统反应路径, 该反应通过光照驱动, 不仅减少了对化学试剂的依赖, 而且降低了反应过程中的能耗, 显著提升了反应的绿色性, 克服了合成此类化合物底物受限或不易得的问题, 为吡唑并(异)喹啉衍生物的应用研究奠定了基础.
图式2 合成吡唑(异)喹啉的一些方法

Scheme 2 Methods for synthesizing pyrazolo(iso)quinolines

1 结果与讨论

首先考察了N-亚胺异喹啉叶立德作为底物时的反应情况, 结果显示与芳基烯烃的反应相比, 该反应无需添加四氯苯醌(TCQ)即可得到中等及以上收率的产物(表1). 1a与苯乙炔无需TCQ的参与就能以76%的产率得到4. 当苯乙炔上苯基邻位带有供电子基团甲基(1b)和甲氧基(1c)时, 得到的产物56产率均有提高, 分别为85%和95%, 但当取代基为电负性大的氟取代基时, 产率下降. 苯环邻位氟取代(1d)所得到的产物7的产率为27%, 而对位氟取代(1e)所得到的产物8的产率为63%, 这表明苯环上氟取代位置的不同对反应结果产生了显著影响, 邻位取代氟的位阻效应或电子效应更为显著, 从而导致产率较低. 给电子基在苯环对位取代时也产生同样的结果, 苯乙炔的苯基对位带有供电子基团甲基(1f)和甲氧基(1g)时, 得到的产物910的产率分别为60%和86%. 苯环对位被酯基(1h)和苯基(1i)取代时得到的产物1112的产率中等, 分别为45%和57%. 内炔为底物时反应同样可以进行, 二苯乙炔(1j)和甲基苯乙炔(1k)为底物时, 产物1314的收率分别为70%和56%, 杂芳烃取代的炔, 如噻吩炔(1l)也能适用于该反应, 其产物15的产率为84%. 随后考察了N-亚胺喹啉衍生物的适用范围, 结果表明, N-亚胺异喹啉的8位上连接给电子性能的甲基(2b)和甲氧基(2c), 以及有吸电子性能的卤素取代基溴(2d)和氟(2e)时, 可以以44%~57%的中等产率得到相应的产物16~19. 7位溴取代的N-亚胺异喹啉化合物2f同样可以以中等产率得到产物20 (45%), 6位上氟取代的2g能以31%的较低产率得到21, 通过添加TCQ, 其收率可以提高到49%. 上述结果表明该反应对N-亚胺异喹啉叶立德和芳基炔烃均具有较好的适用性, 芳基上带有给电子基团时更利于反应, 而带有强吸电子基团时不利于该反应.
表1 PC5催化的以N-亚胺异喹啉叶立德和芳炔为底物合成吡唑并[5,1-a]异喹啉的底物范围a

Table 1 Substrate range for the synthesis of pyrazolo[5,1-a]isoquinoline from N-imino(iso)quinoline ylides and aromatic alkynes catalyzed by PC5

a Reaction conditions: 1a (0.25 mmol), 2a (0.1 mmol), PC5 (5 mol%), CHCl3 (1 mL), 6 W blue LED 430 nm, room temperature for 12~24 h, detected by TLC. b TCQ (0.05 mmol).

随后考察了N-亚胺喹啉叶立德作为底物时的反应情况, 结果表明在相同的条件下以1a3a为底物时产物的产率较以N-亚胺异喹啉2a为底物时显著下降, 更换为具有更大光强的光源, 也仅以16%的收率得到目标产物22(表2, Entry 1). 接着对该反应的条件进行了优化. 乙腈和二氯甲烷为溶剂时, 分别以16%和11%的收率分别得到产物22 (Entries 2~3), 而甲苯、乙醇、甲醇、四氢呋喃和丙酮等溶剂均不适用于该反应(Entries 4~8). 随后考察了底物1a的量的影响, 当1a的量降低到1.5 equiv.时, 产物22的收率更低, 仅8% (Entry 9), 增大1a的量到4.0 equiv.时, 22的收率(17%)并没有明显增加(Entry 10). 为了提高反应效率, 尝试通过调节反应环境或添加氧化剂来促进反应进行. 结果显示, 添加碳酸钠对反应结果没有影响(Entry 11), 添加氧化剂2,3-二氯-5,6-二氰对苯醌(DDQ)时, 22的收率增加到21% (Entry 12), 添加TCQ作为氧化剂时, 22的收率提高到73% (Entry 13).
表2 PC5催化1a和3a环化反应的条件优化a

Table 2 Optimization of conditions for the cyclization reactions of 1a and 3a catalyzed by PC5

Entry 1a/equiv. Solvent Additive Yield/%
1 2.5 CHCl3 16
2 2.5 MeCN 16
3 2.5 DCM 11
4 2.5 PhMe N.D.
5 2.5 EtOH N.D.
6 2.5 MeOH Trace
7 2.5 THF Trace
8 2.5 Acetone Trace
9 1.5 CHCl3 8
10 4 CHCl3 17
11 2.5 CHCl3 Na2CO3 16
12 2.5 CHCl3 DDQ 21
13 2.5 CHCl3 TCQ 73

a Reaction conditions: 3a (0.1 mmol), PC5 (5 mol%), solvent (1 mL), 10 W blue LED 427 nm×2, room temperature for 12~24 h, detected by TLC.

在优化的条件下研究了反应的适用性. 首先考察了苯乙炔衍生物的适用情况(表3), 以N-亚胺喹啉叶立德3a为底物时, 苯乙炔的苯基上邻位带有供电子取代基甲基(1b)、甲氧基(1c)的衍生物可以67%和76%分别得到相应的目标产物2324. 苯环上带有电负性大的氟时, 与N-亚胺异喹啉叶立德的情况类似, 反应转化率明显降低, 仅以38%的收率得到产物2526. 内炔也可以有效地发生反应. 二苯乙炔(1j)为底物时, 可以45%的中等收率得到产物27. 此外, 噻吩炔(1l)或者吡啶炔(1m)等杂芳环炔也适用于该反应, 相应的产物2829的收率分别为32%和62%. 另外, 喹啉环4位上带有供电子基团甲基时(3b), 以93%的高收率得到产物30, 同样, 喹啉环上带有吸电子基溴(3c)和氯(3d)时, 产物的产率显著下降, 产物3132的收率分别为20%和49%.
表3 PC5催化的以N-亚胺喹啉叶立德和芳基炔烃为底物合成吡唑并[1,5-a]喹啉的底物范围a

Table 3 Substrate range for the synthesis of pyrazolo[1,5-a]quinoline from N-iminoquinoline ylides and aromatic alkynes catalyzed by PC5

a Reaction conditions: 1a (0.25 mmol), 3a (0.1 mmol), PC5 (5 mol%), CHCl3 (1 mL), TCQ (0.05 mmol), 10 W blue LED 427 nm×2, room temperature for 12~24 h, detected by TLC. b No TCQ.

为了深入了解反应过程, 进行了荧光猝灭实验(图2). 结果显示, 随着3a浓度的增加, PC5的荧光发射强度逐渐降低, 并且1a与激发的PC5没有明显的相互作用, 这表明激发的PC5首先与3a发生SET过程, 验证了可见光诱导双季鏻盐与N-亚胺(异)喹啉叶立德发生PET过程产生高活性N中心自由基前体的猜想.
图2 荧光猝灭实验

Figure 2 Fluorescence quenching experiments

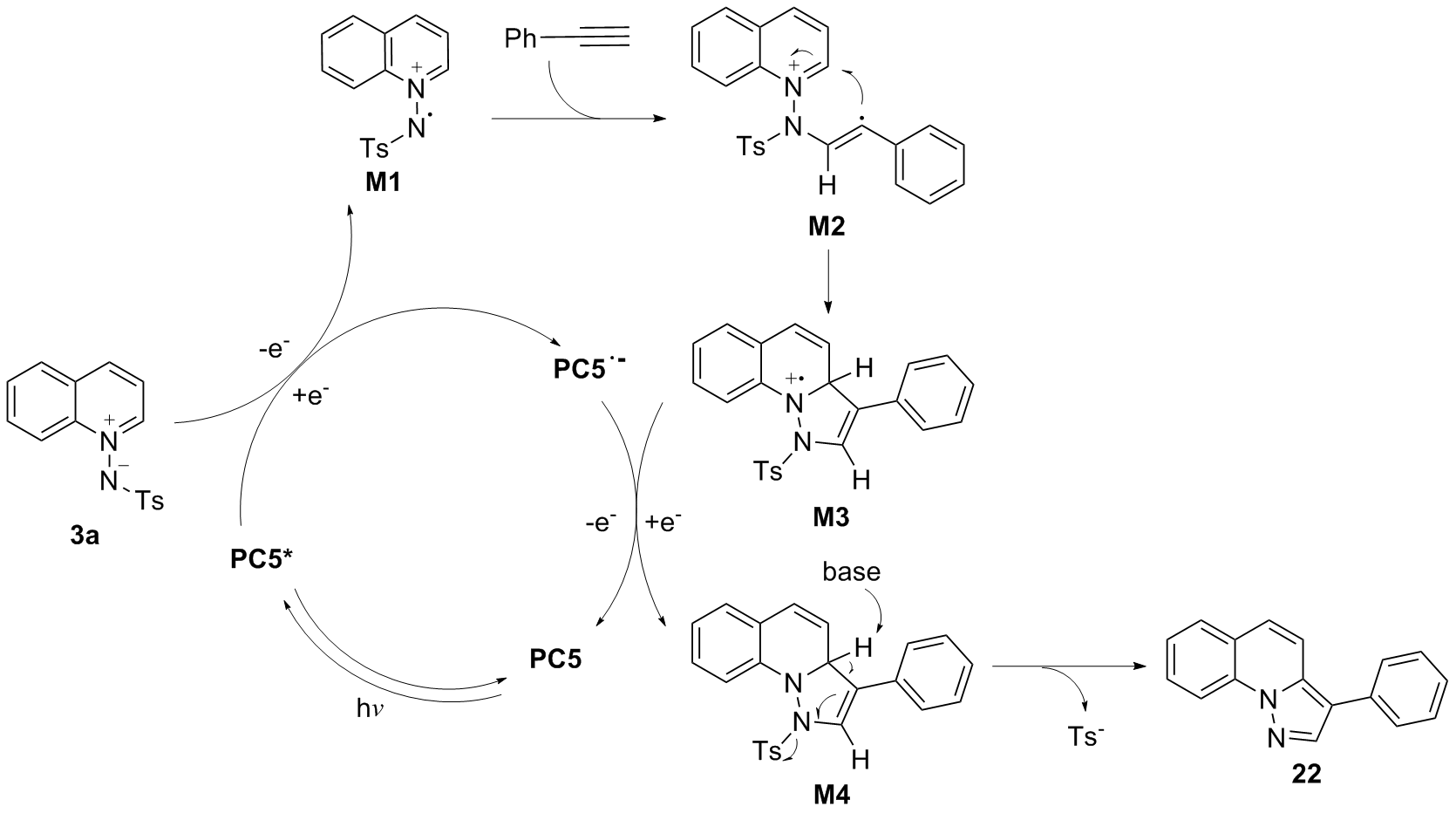
基于上述实验结果, 提出了一种双季鏻盐催化炔烃与N-亚胺喹啉构建吡唑并喹啉衍生物的可能机理途径, 用430 nm LED照射催化剂PC5将产生PC5*的光激发态, PC5*3a发生SET, 得到相应的自由基阳离子M1, M1与炔烃发生自由基加成得到M2, 其通过分子内环化得到自由基阳离子中间体M3. 随后, M3通过单电子转移被还原为M4, PC5•-被氧化回PC5, 完成光催化循环. M4在碱的作用下失去质子, 再发生芳构化脱去Ts得到最终产物4 (Scheme 3). 对比中间体M3N-亚胺异喹啉衍生物相应的中间体结构可以发现, N-亚胺异喹啉衍生物相应的中间体下一步所脱除的质子在苄位, 其脱除更容易, 这也解释了N-亚胺异喹啉叶立德为底物时反应条件更温和的实验事实.
图式3 PC5催化炔烃与N-亚胺喹啉叶立德构建吡唑并[1,5-a]喹啉衍生物的反应机理

Scheme 3 Mechanism of PC5 catalyzed reaction between alkynes and N-iminoquinoline ylides to construct pyrazolo[1,5-a]quinoline derivatives

2 结论

在本研究中, 我们发现双季鏻盐可以作为一种有效的有机光氧化还原催化剂, 用于炔烃与N-亚胺(异)喹啉的分子间环化反应. 通过优化反应条件, 成功实现了多种具有不同取代基的吡唑并(异)喹啉化合物的合成. 这一发现不仅为双季鏻盐的应用提供了新的思路和方法, 也为吡唑并(异)喹啉化合物的合成提供了新的途径.

3 实验部分

3.1 仪器与试剂

Bruker Avance 300型核磁共振仪; Bruker Avance 400型核磁共振仪(以TMS为内标); Agilent 1290-6540 UHPLC Q-T高分辨质谱仪; X-4显微熔点仪; Hitachi F-4600荧光光谱仪. 所用试剂均为国产分析纯, 使用前未经处理.

3.2 实验方法

3.2.1 吡唑并[5,1-a]异喹啉及其衍生物的合成[20]

2a (0.1 mmol), 苯乙炔(0.25 mmol), Binap(OTf)2 (0.5% mmol)和CHCl3 (1 mL)置于10 mL光催管中, 在430 nm, 6 W的光照下常温搅拌12~24 h. 全部产物均通过薄层色谱[V(石油醚)∶V(乙酸乙酯)=10∶1]分离得到.
1-苯基吡唑并[5,1-a]异喹啉(4): 黄色油状物, 产率76%. 1H NMR (CDCl3, 300 MHz) δ: 8.28 (d, J=7.4 Hz, 1H), 8.06 (d, J=8.2 Hz, 1H), 7.94 (s, 1H), 7.71 (d, J=7.8Hz, 1H), 7.59 (d, J=4.2 Hz, 2H), 7.54~7.44 (m, 4H), 7.37~7.32 (m, 1H), 7.01 (d, J=7.4 Hz, 1H); 13C NMR (CDCl3, 75 MHz) δ: 142.0, 134.1, 133.7, 120.0, 129.4, 128.7, 127.8, 127.4, 127.3, 127.2, 126.6, 125.2, 123.4, 116.8, 112.4; HRMS (ESI) calcd for C17H13N2 [M+H]245.1074, found 245.1085.
1-(2-甲基苯基)-吡唑并[5,1-a]异喹啉(5): 黄色油状物, 产率85%. 1H NMR (CDCl3, 300 MHz) δ: 8.30 (d, J=7.4 Hz, 1H), 7.88 (s, 1H), 7.71 (d, J=7.8 Hz, 1H), 7.56 (d, J=8.1 Hz, 1H), 7.50~7.45 (m, 1H), 7.41~7.37 (m, 3H), 7.35~7.28 (m, 2H), 7.03 (d, J=7.4 Hz, 1H), 2.17 (s, 3H); 13C NMR (CDCl3, 75 MHz) δ: 141.6, 138.0, 134.1, 133.4, 131.2, 130.3, 129.3, 128.1, 127.7, 127.5, 127.1, 126.6, 126.1, 125.3, 123.2, 115.3, 112.3, 20.3; HRMS (ESI) calcd for C18H15N2 [M+H] 259.1230, found 259.1237.
1-(2-甲氧基苯基)-吡唑并[5,1-a]异喹啉(6): 黄色油状物, 产率95%. 1H NMR (CDCl3, 300 MHz) δ: 8.28 (d, J=7.4 Hz, 1H), 7.96 (s, 1H), 7.78 (d, J=8.2 Hz, 1H), 7.69 (d, J=7.8 Hz, 1H), 7.50~7.43 (m, 3H), 7.36~7.31 (m, 1H), 7.14~7.07 (m, 2H), 7.00 (d, J=7.4 Hz, 1H), 3.73 (s, 3H); 13C NMR (CDCl3, 75 MHz) δ: 157.5, 142.3, 134.5, 132.1, 129.3, 129.2, 127.5, 127.0, 126.9, 126.7, 125.6, 123.9, 122.9, 120.8, 112.3, 112.1, 111.0, 55.4; HRMS (ESI) calcd for C18H15N2O [M+H] 275.1179, found 275.1187.
1-(2-氟苯基)-吡唑并[5,1-a]异喹啉(7): 黄色油状物, 产率27%. 1H NMR (CDCl3, 300 MHz) δ: 8.29 (d, J=7.4 Hz, 1H), 7.96 (s, 1H), 7.85 (d, J=8.3 Hz, 1H), 7.72 (d, J=7.8 Hz, 1H), 7.57~7.49 (m, 2H), 7.48~7.36 (m, 2H), 7.32~7.23 (m, 2H), 7.05 (d, J=7.4 Hz, 1H); 13C NMR (CDCl3, 75 MHz) δ: 160.5 (d, J=247.0 Hz), 142.2, 134.6, 132.4 (d, J=2.8 Hz), 129.6 (d, J=8.0 Hz), 129.5, 127.9, 127.4, 127.2, 126.6, 125.1, 124.4 (d, J=3.8 Hz), 123.4, 121.8 (d, J=16.0 Hz), 116.0 (d, J=22.1 Hz), 112.6, 109.2; 19F NMR (CDCl3, 282 MHz) δ: -111.40; HRMS (ESI) calcd for C17H12FN2 [M+H] 263.0980, found 263.0980.
1-(4-氟苯基)-吡唑并[5,1-a]异喹啉(8): 黄色油状物, 产率63%. 1H NMR (CDCl3, 300 MHz) δ: 8.27 (d, J=7.4 Hz, 1H), 7.97 (d, J=8.2 Hz, 1H), 7.90 (s, 1H), 7.71 (d, J=7.8 Hz, 1H), 7.56~7.47 (m, 3H), 7.39~7.33 (m, 1H), 7.24~7.17 (m, 2H), 7.02 (d, J=7.4 Hz, 1H); 13C NMR (CDCl3, 75 MHz) δ: 162.4 (d, J=246.6 Hz), 141.9, 133.8, 131.6 (d, J=7.9 Hz), 130.0 (d, J=3.1 Hz), 129.4, 127.9, 127.4, 127.3, 126.6, 125.0, 123.2, 115.72 (d, J=21.3 Hz), 115.67, 112.5; 19F NMR (CDCl3, 282 MHz) δ: -113.58; HRMS (ESI) calcd for C17H12FN2 [M+H] 263.0980, found 263.0980.
1-(4-甲基苯基)-吡唑并[5,1-a]异喹啉(9): 黄色油状物, 产率60%. 1H NMR (CDCl3, 300 MHz) δ: 8.27 (d, J=7.4 Hz, 1H), 8.09 (d, J=8.2 Hz, 1H), 7.91 (s, 1H), 7.70 (d, J=7.8 Hz, 1H), 7.51~7.46 (m, 3H), 7.38~7.31 (m, 3H), 7.00 (d, J=7.4 Hz, 1H), 2.48 (s, 3H); 13C NMR (CDCl3, 75 MHz) δ: 142.0, 137.2, 133.7, 131.0, 129.8, 129.5, 129.4, 127.7, 127.2, 127.2, 126.6, 125.3, 123.4, 116.8, 112.3, 21.3; HRMS (ESI) calcd for C18H15N2 [M+H]259.1230, found 259.1234.
1-(4-甲氧基苯基)-吡唑并[5,1-a]异喹啉(10): 黄色油状物, 产率86%. 1H NMR (CDCl3, 300 MHz) δ: 8.26 (d, J=7.4 Hz, 1H), 8.05 (d, J=8.2 Hz, 1H), 7.90 (s, 1H), 7.69 (d, J=7.8 Hz, 1H), 7.50~7.45 (m, 3H), 7.37~7.32 (m, 1H), 7.08~7.03 (m, 2H), 6.98 (d, J=7.4 Hz, 1H), 3.91 (s, 3H); 13C NMR (CDCl3, 75 MHz) δ: 159.1, 142.0, 133.7, 131.1, 129.3, 127.7, 127.2, 127.2, 126.6, 126.2, 125.3, 123.3, 116.4, 114.2, 112.3, 55.4; HRMS (ESI) calcd for C18H15N2 [M+H] 275.1179, found 275.1180.
1-(4-乙酰氧基苯基)-吡唑并[5,1-a]异喹啉(11): 黄色固体, 产率45%. m.p. 253.2~254.1 ℃; 1H NMR (CDCl3, 300 MHz) δ: 8.26 (d, J=7.4 Hz, 1H), 8.05 (d, J=8.1 Hz, 1H), 7.90 (s, 1H), 7.69 (d, J=7.8 Hz, 1H), 7.57 (d, J=8.5 Hz, 2H), 7.51~7.46 (m, 1H), 7.38~7.33 (m, 1H), 7.24 (d, J=8.5 Hz, 2H), 7.00 (d, J=7.4 Hz, 1H), 2.37 (s, 3H); 13C NMR (CDCl3, 75 MHz) δ: 169.6, 150.1, 141.9, 133.8, 131.6, 131.0, 129.4, 128.0, 127.4, 127.4, 126.5, 125.0, 123.4, 121.9, 115.9, 112.6, 21.2; HRMS (ESI) calcd for C19H15N2O2 [M+H] 303.1129, found 303.1128.
1-(1,1'-二苯基)-4-基-吡唑并[5,1-a]异喹啉(12): 黄色固体, 产率57%. m.p. 103.3~103.9 ℃; 1H NMR (CDCl3, 300 MHz) δ: 8.31~8.29 (m, 1H), 8.18 (d, J=8.2 Hz, 1H), 7.98 (d, J=1.0 Hz, 1H), 7.78~7.72 (m, 5H), 7.68~7.66 (m, 2H), 7.54~7.49 (m, 3H), 7.44~7.36 (m, 2H), 7.03 (d, J=7.4 Hz, 1H); 13C NMR (CDCl3, 75 MHz) δ: 142.0, 140.7, 140.2, 133.8, 133.1, 130.3, 129.5, 128.9, 127.9, 127.5, 127.4, 127.3, 127.3, 127.1, 126.7, 125.2, 123.5, 116.5, 112.5; HRMS (ESI) calcd for C23H17N2 [M+H] 321.1387, found 321.1393.
1,2-二苯基-吡唑并[5,1-a]异喹啉(13): 黄色固体, 产率70%. m.p. 135.3~134.7 ℃; 1H NMR (CDCl3, 300 MHz) δ: 8.32 (d, J=7.4 Hz, 1H), 7.71~7.63 (m, 2H), 7.58~7.55 (m, 2H), 7.53~7.47 (m, 6H), 7.44~7.40 (m, 1H), 7.29 (d, J=4.4 Hz, 3H), 7.02 (d, J=7.4 Hz, 1H); 13C NMR (CDCl3, 75 MHz) δ: 150.9, 135.6, 134.6, 133.1, 131.3, 129.5, 129.2, 128.4, 128.3, 127.8, 127.6, 127.3, 127.2, 126.3, 125.2, 123.4, 114.1, 112.4; HRMS (ESI) calcd for C23H17N2 [M+H] 321.1387, found 321.1390.
1-苯基-2-甲基-吡唑并[5,1-a]异喹啉(14): 黄色油状物, 产率56%. 1H NMR (CDCl3, 300 MHz) δ: 8.19 (d, J=7.4 Hz, 1H), 7.75 (d, J=8.2 Hz, 1H), 7.67 (d, J=7.9 Hz, 1H), 7.56~7.51 (m, 2H), 7.49~7.42 (m, 4H), 7.30~7.24 (m, 1H), 6.93 (d, J=7.4 Hz, 1H), 2.37 (s, 3H); 13C NMR (CDCl3, 75 MHz) δ: 149.7, 134.7, 134.3, 130.8, 129.5, 128.8, 127.5, 127.5, 127.1, 127.0, 126.1, 124.8, 123.3, 114.9, 111.3, 12.3; HRMS (ESI) calcd for C18H15N2 [M+H]259.1230, found 259.1232.
1-(3-噻吩基)-吡唑并[5,1-a]异喹啉(15): 深褐色固体, 产率84%. m.p. 75.5~76.3 ℃; 1H NMR (CDCl3, 300 MHz) δ: 8.28 (d, J=7.4 Hz, 1H), 8.09 (d, J=8.0 Hz, 1H), 7.94 (s, 1H), 7.72 (d, J=7.9 Hz, 1H), 7.54~7.48 (m, 2H), 7.43~7.41 (m, 2H), 7.31~7.29 (m, 1H), 7.02 (d, J=7.3 Hz, 1H); 13C NMR (CDCl3, 75 MHz) δ: 142.0, 134.2, 133.8, 129.4, 127.9, 127.4, 127.3, 126.6, 126.0, 125.2, 123.5, 123.5, 116.2, 112.5, 111.2; HRMS (ESI) calcd for C15H11N2S [M+H] 251.0638, found 251.0639.
1-苯基-8-甲基-吡唑并[5,1-a]异喹啉(16): 黄色固体, 产率57%. m.p. 75.8~76.2 ℃; 1H NMR (CDCl3, 300 MHz) δ: 8.25 (d, J=7.4 Hz, 1H), 7.96 (d, J=8.4 Hz, 1H), 7.91 (s, 1H), 7.60~7.57 (m, 2H), 7.54~7.41 (m, 4H), 7.19~7.16 (m, 1H), 6.95 (d, J=7.4 Hz, 1H), 2.47 (s, 3H); 13C NMR (CDCl3, 75 MHz) δ: 141.9, 137.8, 134.3, 133.8, 130.0, 129.6, 128.7, 128.7, 127.3, 127.1, 126.6, 123.3, 122.9, 116.3, 112.2, 21.5; HRMS (ESI) calcd for C18H15N2 [M+H] 259.1230, found 259.1234.
1-苯基-8-甲氧基-吡唑并[5,1-a]异喹啉(17): 黄色油状物, 产率44%. 1H NMR (CDCl3, 300 MHz) δ: 8.26 (d, J=7.4 Hz, 1H), 7.98 (d, J=9.0 Hz, 1H), 7.90 (s, 1H), 7.59~7.45 (m, 5H), 7.11 (d, J=2.6 Hz, 1H), 6.99~6.93 (m, 2H), 3.90 (s, 3H); 13C NMR (CDCl3, 75 MHz) δ: 142.0, 134.2, 133.9, 131.2, 123.0, 128.7, 127.3, 126.9, 125.0, 119.2, 116.6, 115.6, 112.1, 108.6, 55.4; HRMS (ESI) calcd for C18H15N2 [M+H] 275.1179, found 275.1179.
1-苯基-8-溴-吡唑并[5,1-a]异喹啉(18): 黄色固体, 产率57%. m.p. 80.8~82.1 ℃; 1H NMR (CDCl3, 300 MHz) δ: 8.29 (d, J=7.4 Hz, 1H), 7.94 (s, 1H), 7.90 (d, J=8.8 Hz, 1H), 7.84 (d, J=1.9 Hz, 1H), 7.55~7.40 (m, 6H), 6.91 (d, J=7.4 Hz, 1H); 13C NMR (CDCl3, 75 MHz) δ: 142.2, 133.6, 133.3, 131.0, 130.4, 129.8, 129.6, 128.9, 127.7, 127.6, 124.9, 123.8, 121.8, 117.1, 111.3; HRMS (ESI) calcd for C17H12BrN2 [M+H] 323.0179, found 323.0177.
1-苯基-8-氟-吡唑并[5,1-a]异喹啉(19): 黄色固体, 产率47%. m.p. 130.3~130.9 ℃; 1H NMR (CDCl3, 300 MHz) δ: 8.31 (d, J=7.4 Hz, 1H), 8.06~8.02 (m, 1H), 7.94 (s, 1H), 7.55~7.48 (m, 4H), 7.39~7.33 (m, 2H), 7.11~7.04 (m, 1H), 6.95 (d, J=7.4 Hz, 1H); 13C NMR (CDCl3, 75 MHz) δ: 161.8 (d, J=248.3 Hz), 142.1, 133.8, 133.5, 131.3 (d, J=9.0 Hz), 129.9, 128.9, 127.6, 127.5, 125.7 (d, J=8.7 Hz), 121.7 (d, J=1.9 Hz), 116.5, 115.8 (d, J=23.3 Hz), 112.2 (d, J=21.8 Hz), 111.7 (d, J=3.3 Hz); 19F NMR (CDCl3, 282 MHz) δ: -110.99; HRMS (ESI) calcd for C17H12FN2 [M+H] 263.0980, found 263.0980.
1-苯基-7-溴-吡唑并[5,1-a]异喹啉(20): 黄色油状物, 产率45%. 1H NMR (CDCl3, 300 MHz) δ: 8.34 (d, J=7.7 Hz, 1H), 8.01 (d, J=8.2 Hz, 1H), 7.96 (s, 1H), 7.75~7.73 (m, 1H), 7.56~7.49 (m, 4H), 7.48~7.45 (m, 2H), 7.19~7.13 (m, 1H); 13C NMR (CDCl3, 75 MHz) δ: 142.6, 133.7, 133.0, 131.8, 130.0, 128.9, 128.6, 127.8, 127.8, 127.7, 126.7, 122.8, 122.2, 117.4, 111.0; HRMS (ESI) calcd for C17H12BrN2 [M+H] 323.0179, found 323.0179.
1-苯基-6-氟-吡唑并[5,1-a]异喹啉(21): 黄色固体, 产率31% (49%). m.p. 105.3~106.1 ℃; 1H NMR (CDCl3, 300 MHz) δ: 8.30 (d, J=5.2 Hz, 1H), 8.07 (d, J=8.3 Hz, 1H), 7.97 (d, J=8.0 Hz, 1H), 7.91 (s, 1H), 7.61~7.54 (m, 3H), 7.52~7.45 (m, 3H), 7.43~7.40 (m, 1H); 13C NMR (CDCl3, 75 MHz) δ: 149.9 (d, J=241.2 Hz), 142.0 (d, J=2.6 Hz), 133.7, 131.9, 129.9, 128.8, 128.5, 127.9 (d, J=0.9 Hz), 127.6, 124.6 (d, J=6.0 Hz), 123.4 (d, J=2.8 Hz), 122.9 (d, J=18.7 Hz), 120.7 (d, J=5.0 Hz), 117.2, 112.9 (d, J=40.0 Hz); 19F NMR (CDCl3, 282 MHz) δ: -150.98; HRMS (ESI) calcd for C17H12FN2 [M+H] 263.0980, found 263.0978.

3.2.2 吡唑并[1,5-a]喹啉及其衍生物的合成

3a (0.1 mmol), 苯乙炔(0.25 mmol), Binap(OTf)2 (0.5% mmol), TCQ (0.05 mmol)和CHCl3 (1 mL)置于10 mL Schlenk反应管中, 在427 nm, 10 W×2的光照下常温搅拌12~24 h. 全部产物均通过薄层色谱[V(石油醚)∶V(乙酸乙酯)=10∶1]分离得到.
3-苯基-吡唑并[1,5-a]喹啉(22): 白色固体, 产率73%. m.p. 96.9~97.3 ℃; 1H NMR (CDCl3, 300 MHz) δ: 8.62 (d, J=8.4 Hz, 1H), 8.22 (s, 1H), 7.78 (d, J=8.0 Hz, 1H), 7.73~7.63 (m, 4H), 7.53~7.45 (m, 4H), 7.38~7.33 (m, 1H); 13C NMR (CDCl3, 75 MHz) δ: 139.9, 135.1, 134.7, 133.0, 129.6, 129.0, 128.3, 127.5, 126.6, 125.1, 124.9, 123.4, 115.9, 115.9, 115.5; HRMS (ESI) calcd for C17H13N2 [M+H]245.1074, found 245.1079.
3-(2-甲基苯基)-吡唑并[1,5-a]喹啉(23): 白色固体, 产率67%. m.p. 76.1~77.2 ℃; 1H NMR (CDCl3, 300 MHz) δ: 8.64 (d, J=8.4 Hz, 1H), 8.09 (s, 1H), 7.79 (d, J=7.9 Hz, 1H), 7.74~7.69 (m, 1H), 7.50~7.45 (m, 1H), 7.42~7.34 (m, 4H), 7.33~7.30 (m, 2H), 2.37 (s, 3H); 13C NMR (CDCl3, 75 MHz) δ: 141.1, 136.9, 135.6, 135.0, 131.8, 130.6, 129.5, 128.4, 127.4, 126.0, 124.8, 124.7, 123.4, 116.1, 115.4, 115.0, 20.6; HRMS (ESI) calcd for C18H15N2 [M+H] 259.1230, found 259.1223.
3-(2-甲氧基苯基)-吡唑并[1,5-a]喹啉(24): 黄色油状物, 产率76%. 1H NMR (CDCl3, 300 MHz) δ: 8.62 (d, J=8.4 Hz, 1H), 8.26 (s, 1H), 7.77 (d, J=7.7 Hz, 1H), 7.72~7.66 (m, 1H), 7.56 (d, J=9.4 Hz, 1H), 7.53~7.48 (m, 1H), 7.45~7.42 (m, J=3.2 Hz, 2H), 7.38~7.33 (m, 1H), 7.12~7.05 (m, 2H), 3.89 (s, 3H); 13C NMR (CDCl3, 75 MHz) δ: 156.6, 141.7, 135.5, 135.1, 130.3, 129.4, 128.2, 128.2, 124.6, 124.4, 123.4, 121.8, 120.9, 117.0, 115.4, 111.7, 111.3, 55.5; HRMS (ESI) calcd for C18H15- N2O [M+H]275.1179, found 275.1186.
3-(2-氟苯基)-吡唑并[1,5-a]喹啉(25): 深褐色固体, 产率38%. m.p. 83.8~84.7 ℃; 1H NMR (CDCl3, 300 MHz) δ: 8.63 (d, J=8.4 Hz, 1H), 8.24 (d, J=1.3 Hz, 1H), 7.80 (d, J=8.0 Hz, 1H), 7.74~7.69 (m, 1H), 7.62~7.58 (m, 2H), 7.50 (d, J=9.3 Hz, 2H), 7.35~7.29 (m, 2H), 7.22 (d, J=9.5 Hz, 1H); 13C NMR (CDCl3, 75 MHz) δ: 159.7 (d, J=247.0 Hz), 141.2 (d, J=3.8 Hz), 135.4, 135.0, 130.2 (d, J=3.8 Hz), 129.6, 128.4, 128.3, 125.1 (d, J=21.8 Hz), 124.5 (d, J=3.5 Hz), 123.4, 120.8, 120.6, 116.3, 116.1 (d, J=16.0 Hz), 115.5, 109.3; 19F NMR (CDCl3, 282 MHz) δ: -113.55; HRMS (ESI) calcd for C17H12FN2 [M+H] 263.0980, found 263.0987.
3-(4-氟苯基)-吡唑并[1,5-a]喹啉(26): 深褐色固体, 产率38%. m.p. 96.2~97.1 ℃; 1H NMR (CDCl3, 300 MHz) δ: 8.61 (d, J=8.4 Hz, 1H), 8.16 (s, 1H), 7.79 (d, J=7.9 Hz, 1H), 7.74~7.69 (m, 1H), 7.65 (d, J=9.4 Hz, 1H), 7.60~7.56 (m, 2H), 7.51~7.46 (m, 2H), 7.22~7.16 (m, 2H); 13C NMR (CDCl3, 75 MHz) δ: 161.8 (d, J=249.6 Hz), 139.8, 135.0, 134.7, 129.7, 129.1 (d, J=2.7 Hz), 129.0 (d, J=7.7 Hz), 128.3, 125.3, 125.0, 123.4, 116.0 (d, J=21.5 Hz), 115.6, 115.5, 114.9; 19F NMR (CDCl3, 282 MHz) δ: -114.62; HRMS (ESI) calcd for C17H12FN2 [M+H]263.0980, found 263.0976.
2,3-二苯基-吡唑并[1,5-a]喹啉(27): 黄色固体, 产率45%. m.p. 120.3~121.0 ℃; 1H NMR (CDCl3, 300 MHz) δ: 8.72 (d, J=8.4 Hz, 1H), 7.77~7.67 (m, 4H), 7.48~7.41 (m, 7H), 7.41~7.35 (m, 4H); 13C NMR (CDCl3, 75 MHz) δ: 150.6, 137.2, 134.8, 133.3, 133.0, 130.1, 129.4, 128.9, 128.7, 128.4, 128.3, 128.0, 126.9, 124.9, 124.7, 123.6, 115.8, 115.6, 113.3; HRMS (ESI) calcd for C23H17N2 [M+H]321.1387, found 321.1389.
3-(3-噻吩基)-吡唑并[1,5-a]喹啉(28): 深褐色固体, 产率32%. m.p. 95.4~96.1 ℃; 1H NMR (CDCl3, 300 MHz) δ: 8.60 (d, J=8.4 Hz, 1H), 8.19 (s, 1H), 7.79 (d, J=7.9 Hz, 1H), 7.73~7.68 (m, 2H), 7.50~7.45 (m, 3H), 7.44~7.41 (m, 2H); 13C NMR (CDCl3, 75 MHz) δ: 139.8, 135.0, 134.6, 133.2, 129.6, 128.3, 127.0, 126.2, 125.0, 124.9, 123.4, 119.5, 115.9, 115.5, 111.1; HRMS (ESI) calcd for C15H11N2S [M+H] 251.0638, found 251.0641.
3-(2-吡啶基)-吡唑并[1,5-a]喹啉(29): 深褐色固体, 产率62%. m.p. 126.1~127 ℃; 1H NMR (CDCl3, 300 MHz) δ: 8.70~8.68 (m, 1H), 8.63 (d, J=8.3 Hz, 1H), 8.48 (d, J=9.4 Hz, 1H), 8.45 (s, 1H), 7.81 (d, J=7.8 Hz, 1H), 7.74~7.67 (m, 3H), 7.58 (d, J=9.4 Hz, 1H), 7.47~7.52 (m, 1H), 7.12~7.17 (m, 1H); 13C NMR (CDCl3, 75 MHz) δ: 153.1, 149.7, 140.0, 136.5, 136.1, 134.7, 129.5, 128.3, 126.0, 125.1, 123.7, 120.6, 120.3, 118.1, 115.7, 114.8; HRMS (ESI) calcd for C16H12N3 [M+H]246.1026, found 246.1034.
3-苯基-5-甲基-吡唑并[1,5-a]喹啉(30): 黄色固体, 产率93%. m.p. 94.9~95.7 ℃; 1H NMR (CDCl3, 300 MHz) δ: 8.66~8.63 (m, 1H), 8.17 (s, 1H), 7.88 (d, J=7.8 Hz, 1H), 7.73~7.67 (m, 1H), 7.66~7.63 (m, 2H), 7.54~7.47 (m, 4H), 7.37~7.32 (m, 1H), 2.62 (d, J=0.7 Hz, 3H); 13C NMR (CDCl3, 75 MHz) δ: 139.9, 134.7, 134.5, 133.3, 132.1, 129.3, 129.0, 127.4, 126.4, 125.1, 124.7, 123.8, 115.7, 115.1, 114.9, 19.4; HRMS (ESI) calcd for C18H15N2 [M+H]259.1230, found 259.1231.
3-苯基-7-溴-吡唑并[1,5-a]喹啉(31): 深褐色固体, 产率20%. m.p. 84.7~85.5 ℃; 1H NMR (CDCl3, 300 MHz) δ: 8.49 (d, J=8.9 Hz, 1H), 8.21 (s, 1H), 7.92 (s, 1H), 7.79~7.75 (m, 1H), 7.73 (d, J=9.5 Hz, 1H), 7.62 (d, J=7.8 Hz, 2H), 7.52~7.45 (m, 2H), 7.38 (d, J=9.6 Hz, 2H); 13C NMR (CDCl3, 75 MHz) δ: 140.2, 134.5, 132.7, 132.5, 130.5, 129.1, 128.7, 127.5, 126.8, 124.9, 123.9, 118.1, 117.3, 117.3, 116.4; HRMS (ESI) calcd for C17H12- BrN2 [M+H] 323.0179, found 323.0179.
3-苯基-7-氯-吡唑并[1,5-a]喹啉(32): 黄色固体, 产率49%. m.p. 147.0~147.9 ℃; 1H NMR (CDCl3, 300 MHz) δ: 8.53 (d, J=8.9 Hz, 1H), 8.20 (s, 1H), 7.71 (d, J=9.8 Hz, 2H), 7.62 (d, J=8.3 Hz, 3H), 7.52~7.47 (m, 2H), 7.39~7.33 (m, 2H); 13C NMR (CDCl3, 75 MHz) δ: 140.2, 134.5, 133.5, 132.7, 130.4, 129.7, 129.2, 127.5, 127.3, 126.8, 124.5, 123.9, 117.3, 117.1, 116.4; HRMS (ESI) calcd for C17H12ClN2 [M+H] 279.0684, found 279.0684.
辅助材料(Supporting Information) 目标化合物4~321H NMR、13C NMR谱图. 这些材料可以免费从本刊网站(http://sioc-journal.cn/)上下载.
(Cheng, F.)
[1]
Chen, S.; Zhao, Y. Chin. J. Org. Chem. 2020, 40, 3078 (in Chinese).

(陈思, 赵延川, 有机化学, 2020, 40, 3078.)

DOI

[2]
Romero, N. A.; Nicewicz, D. A. Chem. Rev. 2016, 116, 10075.

[3]
Prier, C. K.; Rankic, D. A.; MacMillan, D. W. C. Chem. Rev. 2013, 113, 5322.

[4]
Joshi-Pangu, A.; Lévesque, F.; Roth, H. G.; Oliver, S. F.; Campeau, L.-C.; Nicewicz, D.; DiRocco, D. A. J. Org. Chem. 2016, 81, 7244.

DOI PMID

[5]
Uoyama, H.; Goushi, K.; Shizu, K.; Nomura, H.; Adachi, C. Nature 2012, 492, 234.

[6]
Chen, J. X.; Lin, J. Q.; Yang, Z.; Wu, Y.; Liao, S. H. Polym. Chem. 2023, 14, 486.

[7]
Zhang, X.; Jiang, Y.; Ma, Q.; Hu, S. P.; Liao, S. H. J. Am. Chem. Soc. 2021, 143, 6357.

[8]
Cheng, H.; Wang, X.; Chang, L.; Chen, Y. L.; Chu, L. L.; Zuo, Z. W. Sci. Bull. 2019, 64, 1896.

DOI PMID

[9]
Ding, J.; Luo, S.; Xu, Y.; An, Q.; Yang, Y.; Zuo, Z. Chem. Commun. 2023, 59, 4055.

[10]
Nieto, S.; Metola, P.; Lynch, V. M.; Anslyn, E. V. Organometallics 2008, 27, 3608.

[11]
Wang, Y.; Wang, L. L.; Duan, Z. Org. Chem. Front. 2024, 11, 3827.

[12]
Chen, Z.; Wu, J. Org. Lett. 2010, 12, 4856.

[13]
Ltber, S.; Hfibner, H.; Gmeiner, P. Bloorg. Med. Chem. Lett. 1999, 9, 97.

[14]
Francisco, M. E. Y.; Burgess, J. P.; George, C.; Bailey, G. S.; Gilliam, A. F.; Seltzman, H. H.; Thomas, B. F. Magn. Reson. Chem. 2003, 41, 265.

[15]
Yang, Y. F.; Ren, H. L.; Wang, D. Y.; Shi, F.; Wu, C. R. RSC Adv. 2013, 3, 10434.

[16]
Kozhushkov, S. I.; Ackermann, L. Org. Lett. 2012, 14, 886.

[17]
Pan, X. L.; Luo, Y.; Wu, J. J. Org. Chem. 2013, 78, 57560.

[18]
Jie, J. Y.; Li, H. Y.; Wu, S. X.; Chai, Q. Y.; Wang, H. N.; Yang, X. B. RSC Adv. 2017, 7, 20548.

[19]
Chen, Z. P.; Ding, Z. Q.; Chen, T.; Meng, L. X.; Wang, G. S. Org. Biomol. Chem. 2020, 18, 8486.

[20]
Sundberg, R. J.; Ellis, J. E. J. Heterocycl. Chem. 1982, 19, 573.

[21]
Kobayashi, M.; Kondo, K.; Aoyama, T. Tetrahedron Lett. 2007, 48, 7019.

[22]
Liu, H. X.; Lu, L.; Hua, R. M. Tetrahedron 2017, 73, 6428.

[23]
Li, W.; Zhang, M. Q.; Yan, J.; Ni, L. Y.; Cao, H.; Liu, X. Org. Chem. Front. 2022, 9, 2529.

[24]
Dong, H.; Zhang, Y. X.; Tian, X. C.; Pang, R. C.; Ren, W. W.; Wang, Y. Green Chem. 2022, 24, 5508.

[25]
He, F.-S.; Ye, S. Q.; Wu, J. ACS Catal. 2019, 9, 8943.

[26]
Guo, W. S.; Wang, Q.; Zhu, J. P. Angew. Chem., Int. Ed. 2021, 60, 4085.

[27]
Greulich, T. W.; Daniliuc, C. G.; Studer, A. Org. Lett. 2015, 17, 254.

DOI PMID

Outlines

/