ARTICLES

Pd-Catalyzed Synthesis of Polysubstituted Pyrroles from Anilines, Alkyne Esters and Alkynes

  • Yan Zhou a ,
  • Mengdi Wang a ,
  • Xuhua Hu b ,
  • Wen Guo a ,
  • Zijian Yao a ,
  • Chuanxiang Liu , a, * ,
  • Xunxiang Guo , b, *
Expand
  • a School of Chemical and Environmental Engineering, Shanghai Institute of Technology, Shanghai 201418
  • b Systems Biomedicine (Ministry of Education), Shanghai Center for Systems Biomedicine, Shanghai Jiao Tong University, Shanghai 200240

Received date: 2025-04-20

  Revised date: 2025-05-20

  Online published: 2025-06-06

Supported by

National Natural Science Foundation of China(22271193)

Shuguang Program of Shanghai Education Development Foundation and Shanghai Municipal Education Commission(23SG51)

Interdisciplinary Program of Shanghai Jiao Tong University(YG2021QN52)

Abstract

A palladium-catalyzed three-component annulation of anilines, alkyne esters, and alkynes has been developed for the synthesis of polysubstituted pyrroles. The protocol demonstrates broad substrate scope and good functional group compatibility. The application experiments including gram-scale synthesis and derivatization of the product are performed to illustrate the synthetic potential. This method offers mild conditions and efficient access to polysubstituted pyrroles.

Cite this article

Yan Zhou , Mengdi Wang , Xuhua Hu , Wen Guo , Zijian Yao , Chuanxiang Liu , Xunxiang Guo . Pd-Catalyzed Synthesis of Polysubstituted Pyrroles from Anilines, Alkyne Esters and Alkynes[J]. Chinese Journal of Organic Chemistry, 2025 , 45(12) : 4481 -4489 . DOI: 10.6023/cjoc202504023

1 Introduction

Transition-metal-catalyzed annulation of anilines with alkynes has emerged as a versatile platform for constructing N-heterocycles.[1] In this regard, the annulation of anilines with mono-alkynes has been explored for indole synthesis. A pioneering work was reported by Fagnou et al.[2] on Rh-catalyzed synthesis of N-protected indoles from N-acetylanilines and alkynes. Subsequently, Jiao et al.[3] developed an elegant method using palladium-catalyzed C—H activation strategy and molecular oxygen as the terminal oxidant for coupling anilines with electron-deficient alkynes. After these two works, significant progress has been made in providing efficient methods for the preparation of 2,3-disubstituted indoles (Scheme 1, a).[4-6]
Scheme 1 Previous works for the annulation of anilines with alkynes (a, b), and this work (c)
As a privileged nitrogen-containing heterocycle, pyrrole constitutes a core structural motif in numerous natural products and pharmaceutically active compounds.[7] The synthesis of pyrrole has received much attention, and various synthesis strategies have been developed.[8] Among them, the annulation of anilines and diynes is one of the powerful methods for preparing polysubstituted pyrroles. For examples, Jiang et al.[9] reported Ag-catalyzed synthesis of polysubstituted pyrroles from amines and alkyne esters. Lu and Wang[10] developed Pd-catalyzed annulation of anilines and diarylalkynes to construct the penta- arylpyrroles. A Cu-catalyzed reaction of anilines with alkyne esters for the synthesis of pyrroles was reported by Zhang and Wu.[11] However, these reported methods are limited to the two identical alkyne components (Scheme 1, b). Due to the inherent challenge of differentiating chemical reactivity between two distinct alkyne partners, the construction of structurally diverse polysubstituted pyrroles from aniline and two different alkynes remains undeveloped.
Recently, as part of our interest in developing novel methods to construct heterocycles,[12] we became interested in the synthesis of polysubstituted pyrroles by the annulation of anilines with two different alkynes. Herein, we report a Pd-catalyzed strategy that enables the efficient assembly of polysubstituted pyrroles through three-compo- nent coupling of anilines with two chemically distinct alkynes. This method demonstrates broad substrate compatibility, and provides the polysubstituted pyrroles with stru- ctural diversity and synthetic flexibility (Scheme 1, c).

2 Results and discussion

In initial study, 4-fluoroaniline (1a), dimethyl acetylenedicarboxylate (2a) and diphenyl acetylene (3a) were selected as model substrates to establish optimal reaction conditions. As summarized in Table 1, the three-com- ponent coupling of 1a, 2a and 3a in the presence of Pd(OAc)2 as a catalyst, K2S2O8 as an oxidant and HOAc as an additive in MeCN at 80 ℃ for 24 h gave pyrrole product 4a in 43% yield (Table 1, Entry 1). Catalyst screening revealed that while Pd(PPh3)4, [PdCl(C3H5)]2, and Pd(dba)2 showed reduced efficiency (Table 1, Entries 2~4), Pd(TFA)2 demonstrated superior performance, delivering 4a in 51% yield (Table 1, Entry 5). Subsequent solvent optimization identified MeCN as the optimal one among eight tested solvents (Table 1, Entries 6~12 vs Entry 5). The oxidant evaluation revealed that Na2S2O8, molecular oxygen, and tert-butyl hydroperoxide (TBHP) provided diminished yields of 10%, 37%, and 35%, respectively (Table 1, Entries 13~15), while PhI(OAc)2 and 1,4-benzoquinone (BQ) proved ineffective (Table 1, Entries 16, 17). The additive studies confirmed the essential role of HOAc in promoting the transformation (Table 1, Entries 18~20 vs Entry 5). Decreasing the reaction temperature to 60 ℃ or increasing the reaction temperature to 100 ℃ formed 4a in 46% and 41% yields (Table 1, Entries 21, 22). The catalyst loading reduction to 5 mol% decreased yield to 39% (Table 1, Entry 23). To our delight, stoichiometric adjustment to a 2∶2∶1 ratio of 1a/2a/3a significantly enhanced efficiency to afford 4a in 61% yield(Table 1, Entry 26).
Table 1 Optimization of the reaction conditionsa
Entry Catalyst Solvent Oxidant Additive Yieldb/%
1 Pd(OAc)2 MeCN K2S2O8 HOAc 43
2 Pd(PPh3)4 MeCN K2S2O8 HOAc 39
3 [PdCl(C3H5)]2 MeCN K2S2O8 HOAc 16
4 Pd(dba)2 MeCN K2S2O8 HOAc 37
5 Pd(TFA)2 MeCN K2S2O8 HOAc 51
6 Pd(TFA)2 THF K2S2O8 HOAc 23
7 Pd(TFA)2 1,4-Dioxane K2S2O8 HOAc 32
8 Pd(TFA)2 DMF K2S2O8 HOAc Trace
9 Pd(TFA)2 DMSO K2S2O8 HOAc Trace
10 Pd(TFA)2 DMAc K2S2O8 HOAc Trace
11 Pd(TFA)2 CHCl3 K2S2O8 HOAc 23
12 Pd(TFA)2 Toluene K2S2O8 HOAc 22
13 Pd(TFA)2 MeCN Na2S2O8 HOAc 10
14 Pd(TFA)2 MeCN O2 HOAc 37
15 Pd(TFA)2 MeCN TBHP HOAc 35
16 Pd(TFA)2 MeCN PhI(OAc)2 HOAc Trace
17 Pd(TFA)2 MeCN BQ HOAc Trace
18 Pd(TFA)2 MeCN K2S2O8 TFA Trace
19 Pd(TFA)2 MeCN K2S2O8 PivOH 45
20 Pd(TFA)2 MeCN K2S2O8 12
21c Pd(TFA)2 MeCN K2S2O8 HOAc 46
22d Pd(TFA)2 MeCN K2S2O8 HOAc 41
23e Pd(TFA)2 MeCN K2S2O8 HOAc 39
24f Pd(TFA)2 MeCN K2S2O8 HOAc 52
25g Pd(TFA)2 MeCN K2S2O8 HOAc 55
26h Pd(TFA)2 MeCN K2S2O8 HOAc 61

a The reactions were performed in a sealed tube with 1a (0.2 mmol), 2a (0.2 mmol), 3a (0.2 mmol), catalyst (0.02 mmol), oxidant (0.4 mmol), and additive (4.0 mmol) in solvent (2.0 mL) at 80 ℃ for 24 h under N2; b Isolated yield; c 60 ℃; d 100 ℃; e 5 mmol% Pd; f n(1a)∶n(2a)∶n(3a)=1.2∶1.2∶1; g n(1a)∶ n(2a)∶n(3a)=1.5∶1.5∶1; h n(1a)∶n(2a)∶n(3a)=2∶2∶1.

With the optimized conditions in hand (Table 1, Entry 26), the substrate scope of anilines was explored. The results are summarized in Scheme 2. A wide range of anilines can be used in the reaction provided the corresponding products in moderate to good yields. Both electron- withdrawing groups and electron-donating groups on the aryl rings of anilines are suitable for this reaction (4a~4m). For example, aniline 1a with a fluoro group on the aryl ring provided 4a in 61% yield. Under the same reaction conditions, 1g containing a methyl group afforded 4g in 43% yield. We found that a range of functional groups, such as fluoro, chloro, bromo, trifluoromethyl, ester, and naphthyl group, are tolerated to provide the desired polysubstituted pyrroles (4a~4e and 4q~4r). In addition, disubstituted anilines at the 3,4-positions furnished 4n~4o in moderate yields, while biphenylamine derivative delivered 4p in 60% yield. Notably, naphthylamine regioselectivity impacted yields substantially, with 2-naphthylamine (4r) outperforming its 1-isomer (4q) by 18%.
Scheme 2 Scope of anilines
The substrate scope of alkyne esters was tested. As shown in Scheme 3, several alkyne esters can be compatible with the reaction, affording the corresponding products in moderate yields. The reaction of 1a, diethyl acetylenedicarboxylate and 3a gave the product 4s in 43% yield. Under the same reaction conditions, the product 4t was formed in 47% yield when dipropyl acetylenedicarboxylate was used. It was found that the employment of diisopropyl acetylenedicarboxylate and dibutyl acetylenedicarboxylate afforded 4u and 4v in 35% and 44% yields, respectively. The product 4w was obtained in 38% yield when 1a, dibenzyl acetylenedicarboxylate and 3a were treated.
Scheme 3 Scope of alkyne esters
The substrate scope of alkynes was also investigated. As shown in Scheme 4, a variety of alkynes can be employed to this reaction to give the products in moderate to good yields. Alkynes containing not only electron-donating groups but also electron-withdrawing groups on the aryl rings are suitable for this reaction. For example, the reaction of 1a, 2a and 1,2-bis(4-methylphenyl)acetylene gave the product 4x in 56% yield, while treatment of 1,2-bis- (4-fluorophenyl)acetylene, which containing the fluoro group with 1a and 2a afforded 4ab in 53% yield. Furthermore, it was pointed out that the employment of alkynes with electron-donating groups on the aryl rings provided higher yields than those of alkynes with electron-with- drawing groups in the reaction.
Scheme 4 Scope of alkynes
To illustrate the synthetic potential of present method, the application experiments were conducted. As shown in Scheme 5, the amplification effect was first examined. The gram-scale reaction of 1a, 2a and 3a provided the product 4a in 56% yield (1.20 g, 5 mmol) under the standard conditions (Scheme 5, a). In addition, the reduction of 4a in the presence of LiAlH4 afforded 76% yield of 5, which is a valuable intermediate in the organic synthesis (Scheme 5, b).[13]
Scheme 5 Application experiments: gram-scale reaction (a) and transformation of 4a (b)
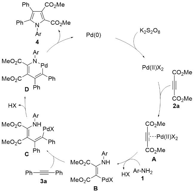
Based on the experimental results and literature reports,[3,10] a plausible mechanism is proposed in Scheme 6. Initially, the Pd(II) complex coordinates with alkyne ester 2a to form intermediate A. This is followed by nucleophilic attack of aniline 1 giving intermediate B. An intermediate C is generated in the presence of alkyne 3a. Subsequently, the cyclopalladation occurs to afford a six- membered cyclopalladated intermediate D with concomitant elimination of HX. Finally, reductive elimination takes place to provide product 4 and a Pd(0) species, which is oxidized to Pd(II) complex by K2S2O8 to complete the catalytic cycle.
Scheme 6 Proposal mechanism

3 Conclusions

In conclusion, we have developed an efficient Pd-cata- lyzed annulation strategy for the synthesis of polysubstituted pyrroles from readily available anilines, alkyne esters and alkynes. This methodology shows wide substrate scope and good functional group tolerance, and provides the polysubstituted pyrroles in moderate to good yields under mild conditions.

4 Experimental section

4.1 General information

Solvents were freshly dried and degassed according to the purification handbook Purification of Laboratory Chemicals before using. Alkyne esters 2 were prepared by a reported procedure in the literature.[14] NMR spectra were recorded on a Zhongke-Niujin Quantum-I Plus 400MHz. spectrometer (400 MHz for 1H NMR, 101 MHz for 13C NMR) with CDCl3 as a solvent at 298 K. HRMS data were acquired using a Waters Xevo G2-XS QTOF Instrument equipped with an ESI source.

4.2 Typical procedure for the synthesis of 4

A mixture of Pd(TFA)₂ (6.6 mg, 0.02 mmol), K2S2O8 (108.1 mg, 0.4 mmol), 4-fluoroaniline (44.4 mg, 0.4 mmol), dimethyl acetylenedicarboxylate (56.8 mg, 0.4 mmol), diphenyl acetylene (35.6 mg, 0.2 mmol), HOAc (240.2 mg, 4.0 mmol) and MeCN (2 mL) was stirred at room temperature under N2. Then the mixture was heated to 80 ℃ and stirred at 80 ℃ for 24 h. After completion, the mixture was cooled to room temperature. The mixture was passed through the celite with ethyl acetate as an eluent. After evaporation of the solvent, the residue was purified by preparative thin-layer chromatography on silica gel (eluent: petroleum ether/EtOAc, VV=3∶1) to give the product 4a. Compounds 4b~4ad were prepared using the same procedure.
Dimethyl 1-(4-fluorophenyl)-4,5-diphenylpyrrole-2,3- dicarboxylate (4a): Yellow solid, 52.1 mg (61% yield). m.p. 167~168 ℃; 1H NMR (400 MHz, CDCl3) δ: 7.20~7.06 (m, 10H), 6.99~6.95 (m, 2H), 6.90 (d, J=8.0 Hz, 2H), 3.80 (s, 3H), 3.71 (s, 3H); 13C NMR (101 MHz, CDCl3) δ: 166.8, 162.2 (d, J=250.5 Hz), 160.4, 137.5, 134.1 (d, J=3.0 Hz), 133.1, 131.2, 130.3 (d, J=8.1 Hz), 129.93 (d, J=16.2 Hz), 129.85, 128.13, 128.06, 126.9, 123.1 (d, J=13.1 Hz), 122.7, 115.5 (d, J=23.2 Hz), 52.5, 52.0; 19F NMR (376 MHz, CDCl3) δ: -112.4; HRMS (ESI) calcd for C26H21FNO4 (M+H) 430.1455, found 430.1454.
Dimethyl 1-(4-chlorophenyl)-4,5-diphenylpyrrole-2,3- dicarboxylate (4b): White solid, 44.7 mg (50% yield). m.p. 174~175 ℃; 1H NMR (400 MHz, CDCl3) δ: 7.38 (d, J=8.2 Hz, 2H), 7.32~7.19 (m, 10H),7.02 (d, J=7.2 Hz, 2H), 3.92 (s, 3H), 3.84 (s, 3H); 13C NMR (101 MHz, CDCl3) δ: 166.8, 160.4, 137.4, 136.6, 134.4, 133.0, 131.2, 129.9, 129.8, 128.8, 128.1, 127.0, 123.3, 123.2, 122.5, 52.5, 52.1; HRMS (ESI) calcd for C26H21ClNO4 (M+H) 446.1159, found 446.1157.
Dimethyl 1-(4-bromophenyl)-4,5-diphenylpyrrole-2,3- dicarboxylate (4c): Yellow solid, 51.1 mg (52% yield). m.p. 173~174 ℃; 1H NMR (400 MHz, CDCl3) δ: 7.41 (d, J=8.0 Hz, 2H), 7.20~7.03 (m, 10H), 6.90 (d, J=8.0 Hz, 2H), 3.80 (s, 3H), 3.72 (s, 3H); 13C NMR (101 MHz, CDCl3) δ: 166.4, 160.4, 137.3, 137.2, 133.0, 131.8, 131.2, 130.2, 129.8, 128.2, 127.0, 123.4, 123.2, 122.52, 122.47, 52.5, 52.1; HRMS (ESI) calcd for C26H21BrNO4 (M+H) 490.0654, found 490.0661.
Dimethyl 1-(4-trifluoromethylphenyl)-4,5-diphenylpyr- role-2,3-dicarboxylate (4d): White solid, 44.7 mg (47% yield). m.p. 161~162 ℃; 1H NMR (400 MHz, CDCl3) δ: 7.56 (d, J=8.0 Hz, 2H), 7.29 (d, J=8.0 Hz, 2H), 7.21~7.06 (m, 8H), 6.88 (d, J=8.0 Hz, 2H), 3.81 (s, 3H), 3.71 (s, 3H); 13C NMR (101 MHz, CDCl3) δ: 166.7, 160.3, 141.3, 137.4, 132.9, 131.2, 130.5 (q, J=33.3 Hz), 129.8, 129.7, 129.2, 129.0, 128.3, 128.2, 127.11 (q, J=28.3 Hz), 127.10, 125.7 (q, J=4.0 Hz), 123.7, 123.6, 123.5 (q, J=273.7 Hz), 122.3, 119.8, 52.6, 52.1; 19F NMR (376 MHz, CDCl3) δ: -62.5; HRMS (ESI) calcd for C27H21F3NO4 (M+H) 480.1423, found 480.1425.
Dimethyl 1-(4-ethoxycarbonylphenyl)-4,5-diphenylpyr- role-2,3-dicarboxylate (4e): Yellow solid, 45.0 mg (47% yield). m.p. 160~161 ℃; 1H NMR (400 MHz, CDCl3) δ: 7.98 (d, J=8.0 Hz, 2H), 7.24~7.04 (m, 10H), 6.89 (d, J=8.0 Hz, 2H), 4.35 (q, J=6.6 Hz, 2H), 3.80 (s, 3H), 3.69 (s, 3H), 1.37 (t, J=7.0 Hz, 3H); 13C NMR (101 MHz, CDCl3) δ: 166.8, 165.8, 160.4, 142.1, 137.2, 133.0, 131.2, 130.4, 129.93, 129.87, 128.7, 128.19, 128.16, 127.0, 123.5, 123.4, 122.6, 61.4, 2.6, 52.1, 14.4; HRMS (ESI) calcd for C29H26- NO6 (M+H) 484.1760, found 484.1762.
Dimethyl 1,4,5-triphenylpyrrole-2,3-dicarboxylate (4f): Yellow solid, 35.4 mg (43% yield). m.p. 167~168 ℃(lit.[15] 162.1~162.9 ℃); 1H NMR (400 MHz, CDCl3) δ: 7.30~7.19 (m, 10H), 7.10~7.03 (m, 3H), 6.91 (d, J=8.0 Hz, 2H), 3.80 (s, 3H), 3.69 (s, 3H). 13C NMR (101 MHz, CDCl3) δ: 166.8, 160.6, 138.1, 137.2, 133.3, 131.2, 130.2, 129.9, 128.6, 128.5, 128.4, 128.1, 127.91, 127.87, 126.8, 123.1, 122.9, 122.6, 52.4, 52.0; HRMS (ESI) calcd for C26H22NO4 (M+H) 412.1549, found 412.1543.
Dimethyl 1-(4-methylphenyl)-4,5-diphenylpyrrole-2,3- dicarboxylate (4g): Yellow solid, 36.3 mg (43% yield). m.p. 157~158 ℃; 1H NMR (400 MHz, CDCl3) δ: 7.23~7.16 (m, 5H), 7.11~7.04 (m, 7H), 6.92 (d, J=8.0 Hz, 2H), 3.79 (s, 3H), 3.71 (s, 3H), 2.32 (s, 3H); 13C NMR (101 MHz, CDCl3) δ: 166.9, 160.7, 138.3, 137.2, 135.5, 133.4, 131.2, 130.3, 130.0, 129.2, 128.2, 128.1, 127.9, 127.8, 126.8, 123.04, 122.99, 122.4, 52.4, 52.0, 21.3; HRMS (ESI) calcd for C27H24NO4 (M+H) 426.1705, found 426.1703.
Dimethyl 1-(4-ethylphenyl)-4,5-diphenylpyrrole-2,3-di- carboxylate (4h): White solid, 33.5 mg (38% yield). m.p. 117~118 ℃; 1H NMR (400 MHz, CDCl3) δ: 7.23~7.15 (m, 5H), 7.11~7.03 (m, 7H), 6.90 (d, J=8.0 Hz, 2H), 3.79 (s, 3H), 3.70 (s, 3H), 3.63 (q, J=7.6 Hz, 2H), 6.90 (t, J=7.6 Hz, 3H); 13C NMR (101 MHz, CDCl3) δ: 166.9, 160.7, 144.5, 137.2, 135.6, 133.5, 131.3, 130.4, 130.0, 128.3, 128.1, 127.9, 127.8, 126.8, 123.1, 122.4, 52.4, 52.0, 28.5, 15.2; HRMS (ESI) calcd for C28H26NO4 (M+H) 440.1862, found 440.1865.
Dimethyl 1-(4-butylphenyl)-4,5-diphenylpyrrole-2,3-di- carboxylate (4i): Yellow liquid, 42.0 mg (45% yield). 1H NMR (400 MHz, CDCl3) δ: 7.23~7.17 (m, 5H), 7.10~7.03 (m, 7H), 6.90 (d, J=7.4 Hz, 2H), 3.80 (s, 3H), 3.70 (s, 3H), 2.60 (t, J=7.4 Hz, 2H), 1.62~1.54 (m, 2H), 1.36~1.27 (m, 2H), 0.92 (t, J=7.4 Hz, 3H); 13C NMR (101 MHz, CDCl3) δ: 166.8, 160.6, 143.2, 137.1, 135.6, 133.5, 131.2, 130.3, 130.0, 128.4, 128.2, 128.0, 127.8, 127.7, 126.8, 123.1, 123.0, 122.3, 52.3, 52.0, 35.3, 33.2, 22.3, 14.0; HRMS (ESI) calcd for C30H30NO4 (M+H) 468.2175, found 468.2178.
Dimethyl 1-(4-methoxyphenyl)-4,5-diphenylpyrrole-2,3- dicarboxylate (4j): Yellow solid, 33.8 mg (38% yield). m.p. 182~183 ℃ (lit.[13a] 182~183 ℃); 1H NMR (400 MHz, CDCl3) δ: 7.23~7.03 (m, 10H), 6.92 (d, J=8.0 Hz, 2H), 6.79 (d, J=8.0 Hz, 2H), 3.79 (s, 3H), 3.76 (s, 3H), 3.71 (s, 3H); 13C NMR (101 MHz, CDCl3) δ: 166.9, 160.7, 159.2, 137.4, 133.4, 131.2, 130.8, 130.3, 130.0, 129.6, 128.1, 128.0, 127.8, 126.8, 123.1, 123.0, 122.3, 113.6, 55.4, 52.4, 52.0; HRMS (ESI) calcd for C27H24NO5 (M+H) 442.1654, found 442.1649.
Dimethyl 1-(3-methylphenyl)-4,5-diphenylpyrrole-2,3- dicarboxylate (4k): Yellow solid, 31.3 mg (37% yield). m.p. 216~217 ℃; 1H NMR (400 MHz, CDCl3) δ: 7.19~7.03 (m, 10H), 6.98 (d, J=11.5 Hz, 2H), 6.91 (d, J=8.0 Hz, 2H), 3.79 (s, 3H), 3.70 (s, 3H), 2.27 (s, 3H); 13C NMR (101 MHz, CDCl3) δ: 166.8, 160.7, 138.4, 137.9, 137.1, 133.4, 131.2, 130.3, 130.0, 129.2, 129.1, 128.2, 128.1, 127.9, 126.8, 125.6, 123.14, 123.07, 122.3, 52.4, 52.0, 21.3; HRMS (ESI) calcd for C27H24NO4 (M+H) 426.1705, found 426.1706.
Dimethyl 1-(2-fluorophenyl)-4,5-diphenylpyrrole-2,3- dicarboxylate (4l): White solid, 33.2 mg (39% yield). m.p. 148~149 ℃; 1H NMR (400 MHz, CDCl3) δ: 7.42~7.39 (m, 1H), 7.36~7.28 (m, 5H), 7.26~7.10 (m, 8H), 3.94 (s, 3H), 3.84 (s, 3H); 13C NMR (101 MHz, CDCl3) δ: 167.0, 160.0, 158.5 (d, J=251.5 Hz), 137.8, 133.0, 130.8, 130.6 (d, J=8.1Hz), 130.5, 129.9, 129.7, 128.3, 128.1 (d, J=11.1 Hz), 127.0, 126.5 (d, J=13.1 Hz), 124.04, 123.96 (d, J=4.0 Hz), 123.2, 122.0, 115.9 (d, J=19.2 Hz), 52.6, 52.0; 19F NMR (376 MHz, CDCl3) δ: -120.3; HRMS (ESI) calcd for C26H21FNO4 (M+H) 430.1455, found 430.1451.
Dimethyl 1-(3-fluorophenyl)-4,5-diphenylpyrrole-2,3- dicarboxylate (4m): Yellow solid, 39.8 mg (46% yield). m.p. 132~133 ℃; 1H NMR (400 MHz, CDCl3) δ: 7.24~7.04 (m, 11H), 6.92~6.88 (m, 3H), 3.78 (s, 3H), 3.69 (s, 3H); 13C NMR (101 MHz, CDCl3) δ: 166.7, 162.2 (d, J=249.5 Hz), 160.3, 139.5 (d, J=10.1 Hz), 137.3, 133.1, 131.1 129.0, 129.86, 129.6 (d, J=9.1 Hz), 128.2, 128.1, 127.0, 124.7 (d, J=3.0 Hz), 123.3, 123.1, 122.6, 116.4 (d, J=23.2 Hz), 115.7 (d, J=21.2 Hz), 52.5, 52.1; 19F NMR (376 MHz, CDCl3) δ: -111.9 (dd, J=14.9, 7.5HZ); HRMS (ESI) calcd for C26H21FNO4 (M+H) 430.1455, found 430.1447.
Dimethyl 1-(3,4-difluorophenyl)-4,5-diphenylpyrrole- 2,3-dicarboxylate (4n). White solid, 47.5 mg (53% yield). m.p. 151~152 ℃; 1H NMR (400 MHz, CDCl3) δ: 7.20~7.03 (m, 10H), 6.96~6.88 (m, 3H), 3.80 (s, 3H), 3.73 (s, 3H); 13C NMR (101 MHz, CDCl3) δ: 166.7, 160.2, 150.3 (dd, J=252.5, 13.1 Hz), 149.6 (dd, J=251.5, 14.1 Hz), 137.6, 134.3 (dd, J=8.1, 4.0 Hz), 132.9, 131.1, 129.8, 129.7, 128.4, 128.3, 128.2, 127.1, 125.2 (dd, J=6.1, 3.0 Hz), 123.5, 123.4, 118.4 (d, J=19.2 Hz), 117.0 (d, J=18.2 Hz), 52.6, 52.1; 19F NMR (376 MHz, CDCl3) δ: 135.4~-135.5 (m), -136.3~-136.4 (m); HRMS (ESI) calcd for C26H20F2NO4 (M+H) 448.1360, found 448.1355.
Dimethyl 1-(3,4-dichlorophenyl)-4,5-diphenylpyrrole- 2,3-dicarboxylate (4o): White solid, 37.6 mg (39% yield). m.p. 145~146 ℃; 1H NMR (400 MHz, CDCl3) δ: 7.35 (d, J=8.2 Hz, 1H),7.29 (s, 1H), 7.20~7.12 (m, 8H), 7.02 (d, J=8.2 Hz, 1H), 6.91 (d, J=8.0 Hz, 2H), 3.80 (s, 3H), 3.73 (s, 3H); 13C NMR (101 MHz, CDCl3) δ: 166.7, 160.2, 137.5, 132.9, 132.8, 132.5, 131.2, 130.6, 130.1, 129.8, 129.6, 128.4, 128.3, 128.2, 128.1, 127.1, 123.7, 123.5, 122.3, 52.6, 52.2; HRMS (ESI) calcd for C26H20Cl2NO4 (M+H) 480.0769, found 480.0763.
Dimethyl 1-biphenyl-4,5-diphenylpyrrole-2,3-dicarbox- ylate (4p): White solid, 58.1 mg (60% yield). m.p. 164~165 ℃; 1H NMR (400 MHz, CDCl3) δ: 7.70 (d, J=8.0 Hz, 2H), 7.66 (d, J=8.0 Hz, 2H), 7.57~7.45 (m, 3H), 7.38~7.34 (m, 7H), 7.24~7.18 (m, 3H), 7.08 (d, J=8.0 Hz, 2H), 3.94 (s, 3H), 3.86 (s, 3H); 13C NMR (101 MHz, CDCl3) δ: 166.8, 160.6, 141.0, 139.9, 137.2, 133.3, 131.2, 130.2, 129.9, 128.89,128.85, 128.1, 128.0, 127.9, 127.8, 127.2, 127.0, 126.9, 123.2, 122.9, 122.7, 52.4, 52.1. HRMS (ESI) calcd for C32H26NO4 (M+H) 488.1862, found 488.1862.
Dimethyl 1-(1-naphthyl)-4,5-diphenylpyrrole-2,3-dicar- boxylate (4q): White solid, 27.6 mg (30% yield). m.p. 139~140 ℃; 1H NMR (400 MHz, CDCl3) δ: 7.82~7.77 (m, 2H), 7.46~7.35 (m, 5H), 7.23~7.18 (m, 5H), 7.00~6.97 (m, 1H), 6.91~6.85 (m, 4H), 3.84 (s, 3H), 3.52 (s, 3H); 13C NMR (101 MHz, CDCl3) δ: 167.1, 160.1, 138.3, 135.1, 133.5, 133.3, 131.7, 130.7, 130.2, 129.9, 129.4, 129.2, 128.23, 128.17, 128.0, 127.7, 127.4, 126.9, 126.8, 126.5, 124.8, 123.24, 123.16, 122.7, 118.6, 11.2, 52.5, 51.8; HRMS (ESI) calcd for C30H24NO4 (M+H) 462.1705, found 462.1702.
Dimethyl 1-(2-naphthyl)-4,5-diphenylpyrrole-2,3-dicar- boxylate (4r): White solid, 44.7 mg (48% yield). m.p. 171~172 ℃; 1H NMR (400 MHz, CDCl3) δ: 7.82 (d, J=7.6 Hz, 1H), 7.77 (d, J=8.6 Hz, 1H), 7.72 (d, J=7.6 Hz, 1H), 7.62 (s, 1H), 7.51~7.44 (m, 2H), 7.31 (d, J=8.6 Hz, 1H), 7.24~7.16 (m, 5H), 7.06~6.93 (m, 5H), 3.81 (s, 3H), 3.66 (s, 3H); 13C NMR (101 MHz, CDCl3) δ: 166.8, 160.6, 137.4, 135.6, 133.4, 132.8, 132.7, 131.2, 130.2, 130.0, 128.3, 128.2, 128.1, 128.0, 127.9, 127.2, 126.9, 126.8, 126.7, 126.5, 123.4, 123.3, 122.7, 52.4, 52.0; HRMS (ESI) calcd for C30H24NO4 (M+H) 462.1705, found 462.1704.
Diethyl 1-(4-fluorophenyl)-4,5-diphenylpyrrole-2,3-di- carboxylate (4s): Yellow solid, 39.4 mg (43% yield). m.p. 97~98 ℃; 1H NMR (400 MHz, CDCl3) δ: 7.19~7.05 (m, 10H), 6.99~6.95 (m, 2H), 6.90 (d, J=8.0 Hz, 2H), 4.27 (q, J=7.2 Hz, 2H), 4.16 (q, J=7.2 Hz, 2H), 1.23 (t, J=7.2 Hz, 3H), 1.17 (t, J=7.2 Hz, 3H); 13C NMR (101 MHz, CDCl3) δ: 166.3, 162.1 (d, J=249.5 Hz), 160.0, 137.2, 134.2 (d, J=3.0 Hz), 133.3, 131.2, 130.4 (d, J=8.1 Hz), 130.1, 129.9, 128.1 (d, J=1.0 Hz), 128.0, 126.9, 123.2 (d, J=19.2 Hz), 122.8, 115.5 (d, J=23.2 Hz), 61.4, 60.9, 14.1, 14.0; 19F NMR (376 MHz, CDCl3) δ: -112.6; HRMS (ESI) calcd for C28H25FNO4 (M+H) 458.1768, found 458.1767.
Dipropyl 1-(4-fluorophenyl)-4,5-diphenylpyrrole-2,3-di- carboxylate (4t): Yellow liquid, 45.9 mg (47% yield). 1H NMR (400 MHz, CDCl3) δ: 7.19~7.05 (m, 10H), 6.99~6.95 (m, 2H), 6.90 (d, J=8.0 Hz, 2H), 4.15 (t, J=6.6 Hz, 2H), 4.07 (t, J=6.6 Hz, 2H), 1.62~1.53 (m, 4H), 0.86 (t, J=7.2 Hz, 3H), 0.79 (t, J=7.2 Hz, 3H); 13C NMR (101 MHz, CDCl3) δ: 166.5, 162.2 (d, J=249.5 Hz), 160.2, 137.2, 134.3 (d, J=3.0 Hz), 133.3, 131.2, 130.4 (d, J=9.1 Hz), 130.1, 129.9, 128.1 (d, J=5.1 Hz), 128.0, 126.9, 123.3 (d, J=25.3 Hz), 122.8, 115.5 (d, J=23.2 Hz), 67.1, 66.7, 21.94, 21.89, 10.5, 10.4; 19F NMR (376 MHz, CDCl3) δ: -112.6; HRMS (ESI) calcd for C30H29FNO4 (M+H) 486.2081, found 486.2089.
Diisopropyl 1-(4-fluorophenyl)-4,5-diphenylpyrrole-2,3- dicarboxylate (4u): Yellow solid, 34.1 mg (35% yield). m.p. 152~153 ℃; 1H NMR (400 MHz, CDCl3) δ: 7.19~7.04 (m, 10H), 6.99~6.95 (m, 2H), 6.89 (d, J=8.0 Hz, 2H), 5.17~5.11 (m, 1H), 5.07~5.01 (m, 1H), 1.17 (d, J=7.2 Hz, 6H), 1.15 (d, J=7.2 Hz, 6H); 13C NMR (101 MHz, CDCl3) δ: 165.8, 162.1 (d, J=249.5 Hz), 159.5, 136.9, 134.5 (d, J=3.0 Hz), 133.4, 131.2, 130.4 (d, J=9.1 Hz), 130.2, 130.0, 128.01, 127.97 (d, J=8.1 Hz), 126.8, 123.6, 123.1 (d, J=7.1 Hz), 115.4 (d, J=23.2 Hz), 69.0, 68.6, 21.7; 19F NMR (376 MHz, CDCl3) δ: -112.8; HRMS (ESI) calcd for C30H29FNO4 (M+H) 486.2081, found 486.2082.
Dibutyl 1-(4-fluorophenyl)-4,5-diphenylpyrrole-2,3-di- carboxylate (4v): Yellow liquid, 45.6 mg (44% yield). 1H NMR (400 MHz, CDCl3) δ: 7.19~7.05 (m, 10H), 6.99~6.95 (m, 2H), 6.90 (d, J=8.0 Hz, 2H), 4.19 (t, J=6.6 Hz, 2H), 4.11 (t, J=6.6 Hz, 2H), 1.56~1.49 (m, 4H), 1.30~1.17 (m, 4H), 0.88 (t, J=7.2 Hz, 3H), 0.83 (t, J=7.2 Hz, 3H); 13C NMR (101 MHz, CDCl3) δ: 166.5, 162.2 (d, J=249.5 Hz), 160.2, 137.2, 134.3 (d, J=3.0 Hz), 133.4, 131.2, 130.4 (d, J=9.1 Hz), 130.1, 129.9, 128.1 (d, J=5.1 Hz), 128.0, 126.9, 123.3 (d, J=27.3 Hz), 122.8, 115.5 (d, J=23.2 Hz), 65.4, 64.9, 30.61, 30.58, 19.2, 19.1, 13.8, 13.7; 19F NMR (376 MHz, CDCl3) δ: -112.6; HRMS (ESI) calcd for C32H33FNO4 (M+H) 514.2394, found 514.2392.
Dibenzyl 1-(4-fluorophenyl)-4,5-diphenylpyrrole-2,3-di- carboxylate (4w): White solid, 43.8 mg (38% yield). m.p. 136~137 ℃; 1H NMR (400 MHz, CDCl3) δ: 7.35~7.25 (m, 8H), 7.20~7.08 (m, 12H), 6.97~6.91 (m, 4H), 5.01 (s, 2H), 5.00 (s, 2H); 13C NMR (101 MHz, CDCl3) δ: 166.0, 162.2 (d, J=249.5 Hz), 159.8, 137.4, 135.5, 135.4, 134.1 (d, J=3.0 Hz), 133.1, 131.2, 130.3 (d, J=8.1 Hz), 130.0, 129.9, 128.6 (d, J=13.1 Hz), 128.5, 128.4, 128.2, 128.1, 128.0, 126.9, 123.3 (d, J=12.1 Hz), 122.6, 115.5 (d, J=23.2 Hz), 67.2, 66.9; 19F NMR (376 MHz, CDCl3) δ: -112.4; HRMS (ESI) calcd for C38H29FNO4 (M+H) 582.2081, found 582.2079.
Dimethyl 1-(4-fluorophenyl)-4,5-di(4-methylphenyl)py- rrole-2,3-dicarboxylate (4x): Yellow solid, 50.9 mg (56% yield). m.p. 171~172 ℃; 1H NMR (400 MHz, CDCl3) δ: 7.15~6.95 (m, 8H), 6.88 (d, J=8.0 Hz, 2H), 6.78 (d, J=8.0 Hz, 2H), 3.81 (s, 3H), 3.70 (s, 3H), 2.29 (s, 3H), 2.21 (s, 3H); 13C NMR (101 MHz, CDCl3) δ: 167.1, 162.1 (d, J=249.5 Hz), 160.4, 137.8, 137.7, 136.5, 134.3 (d, J=3.0 Hz), 131.0, 130.4 (d, J=9.1 Hz), 130.2, 129.6, 128.9 (d, J=10.1 Hz), 127.1, 123.1 (d, J=31.1 Hz), 122.2, 115.5 (d, J=23.2 Hz), 52.5, 52.0, 21.33, 21.31; 19F NMR (376 MHz, CDCl3) δ: -112.6; HRMS (ESI) calcd for C28H25- FNO4 (M+H) 458.1768, found 458.1759.
Dimethyl 1-(4-fluorophenyl)-4,5-di(4-methoxyphenyl)- pyrrole-2,3-dicarboxylate (4y): Yellow solid, 42.2 mg (43% yield). m.p. 203~204 ℃; 1H NMR (400 MHz, CDCl3) δ: 7.13~7.09 (m, 4H), 7.00~6.96 (m, 2H), 6.81~6.75 (m, 4H), 6.61 (d, J=8.0 Hz, 2H), 3.81 (s, 3H), 3.76 (s, 3H), 3.69 (s, 6H); 13C NMR (101 MHz, CDCl3) δ: 167.1, 162.1 (d, J=248.5 Hz), 160.5, 159.2, 158.5, 137.4, 134.3 (d, J=4.0 Hz), 132.4, 131.0, 130.4 (d, J=9.1 Hz), 125.6, 123.2, 122.5 (d, J=26.3 Hz), 122.1, 115.5 (d, J=23.2 Hz), 113.6 (d, J=8.1 Hz), 55.22, 55.17, 52.5, 52.0; 19F NMR (376 MHz, CDCl3) δ: -112.7; HRMS (ESI) calcd for C28H25FNO6 (M+H) 490.1666, found 490.1664.
Dimethyl 1-(4-fluorophenyl)-4,5-di(4-ethylphenyl)pyr- role-2,3-dicarboxylate (4z): Yellow solid, 53.3 mg (55% yield). m.p. 187~188 ℃; 1H NMR (400 MHz, CDCl3) δ: 7.17~7.13 (m, 2H), 7.10 (d, J=8.0 Hz, 2H), 7.04 (d, J=8.0 Hz, 2H), 6.99~6.95 (m, 2H), 6.91 (d, J=8.0 Hz, 2H), 6.82 (d, J=8.0 Hz, 2H), 3.81 (s, 3H), 3.70 (s, 3H), 2.60 (q, J=7.6 Hz, 2H), 2.52 (q, J=7.6 Hz, 2H), 1.21 (t, J=7.6 Hz, 2H), 1.14 (t, J=7.6 Hz, 2H); 13C NMR (101 MHz, CDCl3) δ: 167.1, 162.1 (d, J=249.5 Hz), 160.4, 143.9, 142.6, 137.7, 134.3 (d, J=3.0 Hz), 131.0, 130.3 (d, J=8.1 Hz), 129.6, 127.5 (d, J=13.1 Hz), 127.2, 123.1 (d, J=39.4 Hz), 122.1, 115.4 (d, J=22.2 Hz), 52.4, 51.9, 28.5, 28.4, 15.2, 15.0; 19F NMR (376 MHz, CDCl3) δ: 112.7; HRMS (ESI) calcd for C30H29FNO4 (M+H) 486.2081, found 486.2079.
Dimethyl 1-(4-fluorophenyl)-4,5-di(4-tert-butylphenyl)- pyrrole-2,3-dicarboxylate (4aa): Yellow solid, 56.4 mg (52% yield). m.p. 173~174 ℃; 1H NMR (400 MHz, CDCl3) δ: 7.21 (d, J=8.0 Hz, 2H), 7.15~7.07 (m, 6H), 6.98~6.94 (m, 2H), 6.82 (d, J=8.0 Hz, 2H), 3.82 (s, 3H), 3.69 (s, 3H), 1.28 (s, 9H), 1.21 (s, 9H); 13C NMR (101 MHz, CDCl3) δ: 167.3, 162.1 (d, J=249.5 Hz), 160.4, 150.9, 149.5, 137.8, 134.3 (d, J=3.0 Hz), 130.8, 130.4 (d, J=9.1 Hz), 130.1, 129.3, 127.0, 124.9 (d, J=14.1 Hz), 123.1 (d, J=54.5 Hz), 122.0, 115.4 (d, J=23.2 Hz), 52.5, 51.9, 34.6, 34.5, 31.4, 31.2; 19F NMR (376 MHz, CDCl3) δ: -112.9; HRMS (ESI) calcd for C34H37FNO4 (M+H) 542.2707, found 542.2712.
Dimethyl 1,4,5-tri(4-fluorophenyl)pyrrole-2,3-dicarbo- xylate (4ab): Yellow solid, 49.2 mg (53% yield). m.p. 161~162 ℃; 1H NMR (400 MHz, CDCl3) δ: 7.17~7.07 (m, 4H), 7.01~6.77 (m, 8H), 3.80 (s, 3H), 3.71 (s, 3H); 13C NMR (101 MHz, CDCl3) δ: 166.6, 162.3 (dd, J=249.5, 8.1 Hz), 162.0 (d, J=247.5 Hz), 160.5, 136.3, 133.8 (d, J=4.0 Hz), 131.0 (d, J=8.1 Hz), 131.6 (d, J=8.1 Hz), 130.3 (d, J=9.1 Hz), 128.9 (d, J=13.1 Hz), 125.9 (d, J=13.1 Hz), 123.2, 122.5 (d, J=11.1 Hz), 115.9, 115.6 (d, J=5.1 Hz), 115.4 (d, J=2.0 Hz), 115.2, 52.6, 52.2; 19F NMR (376 MHz, CDCl3) δ: -111.9, -112.3, -115.1; HRMS (ESI) calcd for C26H19F3NO4 (M+H) 466.1266, found 466.1266.
Dimethyl 1-(4-fluorophenyl)-4,5-di(4-chlorophenyl)pyr- role-2,3-dicarboxylate (4ac): White solid, 34.8 mg (35% yield). m.p. 194~195 ℃; 1H NMR (400 MHz, CDCl3) δ: 7.21 (d, J=8.0 Hz, 2H), 7.15~7.07 (m, 6H), 7.02~6.98 (m, 2H), 6.80 (d, J=8.0 Hz, 2H), 3.80 (s, 3H), 3.71 (s, 3H), 2.29 (s, 3H), 2.21 (s, 3H); 13C NMR (101 MHz, CDCl3) δ: 166.3, 162.4 (d, J=250.5 Hz), 160.4, 135.9, 134.5, 133.7 (d, J=3.0 Hz), 133.3, 132.3, 131.4, 131.3, 130.2 (d, J=9.1 Hz), 128.6 (d, J=7.1 Hz), 128.2, 123.8, 122.4 (d, J=7.1 Hz), 115.9 (d, J=23.2 Hz), 52.6, 52.2; 19F NMR (376 MHz, CDCl3) δ: -111.7; HRMS (ESI) calcd for C26H19Cl2FNO4 (M+H) 498.0675, found 498.0671.
Dimethyl 1-(4-fluorophenyl)-4,5-di(4-trifluoromethyl- phenyl)pyrrole-2,3-dicarboxylate (4ad): Yellow solid, 34.0 mg (30% yield). m.p. 180~181 ℃; 1H NMR (400 MHz, CDCl3) δ: 7.50 (d, J=7.9 Hz, 2H), 7.36 (d, J=7.9 Hz, 2H),7.27 (d, J=8.1 Hz, 2H), 7.17~7.14 (m, 2H), 7.04~6.99 (m, 4H), 3.80 (s, 3H), 3.73 (s, 3H); 13C NMR (101 MHz, CDCl3) δ: 166.0, 162.5 (d, J=250.5 Hz), 160.4, 136.6, 135.5, 133.4 (d, J=3.0 Hz), 133.3, 131.4, 130.4 (q, J=33.3 Hz), 130.3, 130.2 (d, J=9.1 Hz), 129.9 (q, J=2.0 Hz), 129.4 (q, J=32.3 Hz), 125.3 (d, J=4.0 Hz), 124.9 (q, J=36.4 Hz), 124.8, 124.2 (q, J=272.7 Hz), 123.8 (q, J=273.7 Hz), 123.5 (q, J=38.4 Hz), 122.5 (q, J=5.1 Hz), 122.4 (d, J=59.6 Hz), 116.0 (d, J=23.2 Hz), 52.6, 52.4; 19F NMR (376 MHz, CDCl3) δ: -62.5, -62.9, -111.2; HRMS (ESI) calcd for C28H19F7NO4 (M+H) 566.1202, found 566.1212.

4.3 Gram-scale reaction for the synthesis of 4a

A mixture of Pd(TFA)2 (166.2 mg, 0.5 mmol), K2S2O8 (2.70 g, 10 mmol), 4-fluoroaniline (1.11 g, 10 mmol), dimethyl acetylenedicarboxylate (1.42 g, 10 mmol), diphenyl acetylene (0.89 g, 5 mmol), HOAc (6.0 g, 100 mmol) and MeCN (50 mL) was stirred at room temperature under N2. Then the mixture was heated to 80 ℃ and it stirred at 80 ℃ for 24 h. After completion, the mixture was cooled to room temperature. The mixture was passed through the celite with ethyl acetate as an eluent. After evaporation of the solvent, the residue was purified by flash column chromatography on silica gel with petroleum ether/EtOAc (VV=10∶1) as an eluent to give the product 4a (1.20 g, 56% yield).

4.4 Transformation of 4a into 5

To a mixture of 4a (85.9 mg, 0.2 mmol) in tetrahydrofuran (THF) (2 mL) was added LiAlH4 solution (1.0 mol/L in THF, 0.8 mL) at 0 ℃ under N2. Then the mixture was stirred at 0 ℃ for 5 h. After completion, the mixture was quenched with H2O (0.1 mL) and extracted with CH2Cl2. The organic layer was washed with brine and dried over MgSO4. Evaporation of the solvent followed by preparative thin-layer chromatography on silica gel (eluent: DCM/ MeOH, VV=20∶1) gave (2-hydroxymethyl-1-(4-fluo- rophenyl)-4,5-diphenyl-1H-pyrrol-3-yl)-methanol (5) as a white solid with 56.9 mg (76% yield). m.p. 118~120 ℃; 1H NMR (400 MHz, CDCl3) δ: 7.16~7.10 (m, 7H), 6.97~6.89 (m, 5H), 6.78 (d, J=8.0 Hz, 2H), 4.62 (s, 2H), 4.45 (s, 2H), 2.98 (brs, 1H), 2.41 (brs, 1H); 13C NMR (101 MHz, CDCl3) δ: 161.8 (d, J=248.5 Hz), 134.9, 134.0 (d, J=3.0 Hz), 132.8, 137.1, 130.8 (d, J=37.4 Hz), 130.4 (d, J=9.1 Hz), 128.1 (d, J=32.3 Hz), 126.8, 126.2, 123.4, 121.6, 115.9 (d, J=22.2 Hz), 56.3, 54.6; 19F NMR (376 MHz, CDCl3) δ: -113.5; HRMS (ESI) calcd for C24H20F- NO2Na (M+Na) 396.1376, found 396.1385.
Supporting Information 1H NMR, 13C NMR and 19F NMR spectra of compounds 4 and 5. The Supporting Information is available free of charge via the Internet at http://sioc-journal.cn.
(Zhao, C.)
[1]
(a) Gupta S. S.; Parmar D.; Kumar R.; Chandra D.; Sharma U. Catal. Rev. 2024, 66, 713.

DOI

(b) Blaszczyk S. A.; Glazier D. A.; Tang W. Acc. Chem. Res. 2020, 53, 231.

DOI

[2]
Stuart D. R.; Bertrand-Laperle M.; Burgess K. M. N.; Fagnou K. J. Am. Chem. Soc. 2008, 130, 16474.

DOI PMID

[3]
Shi Z.; Zhang C.; Li S.; Pan D.; Ding S.; Cui Y.; Jiao N. Angew. Chem., Int. Ed. 2009, 48, 4572.

DOI

[4]
(a) Stuart D. R.; Alsabeh P.; Kuhn M.; Fagnou K. J. Am. Chem. Soc. 2010, 132, 18326.

DOI PMID

(b) Chen J.; Song G.; Pan C.-L.; Li X. Org. Lett. 2010, 12, 5426.

DOI

(c) Zhang G.; Yu H.; Qin G.; Huang H. Chem. Commun. 2014, 50, 4331.

DOI

[5]
(a) Kondoh A.; Yorimitsu H.; Oshima K. Org. Lett. 2010, 12, 1476.

DOI PMID

(b) Yao B.; Wang Q.; Zhu J. Angew. Chem., Int. Ed. 2012, 51, 12311.

DOI PMID

[6]
(a) Sagadevan A.; Ragupathi A.; Hwang K. C. Angew. Chem., Int. Ed. 2015, 54, 13896.

DOI

(b) Hou Z.-W.; Mao Z.-Y.; Zhao H.-B.; Melcamu Y. Y.; Lu X.; Song J.; Xu H.-C. Angew. Chem., Int. Ed. 2016, 55, 9168.

DOI

(c) Jagtap P. A.; Lokolkar M. S.; Bhanage B. M. J. Org. Chem. 2023, 88, 10960.

DOI

[7]
(a) Wilkerson W. W.; Copeland R. A.; Covington M.; Trzaskos J. M. J. Med. Chem. 1995, 38, 3895.

PMID

(b) Lee H.; Lee J.; Lee S.; Shin Y.; Jung W.; Kim J.-H.; Park K.; Kim K.; Cho H. S.; Ro S.; Lee S.; Jeong S. W.; Choi T.; Chung H.-H.; Koh J. S. Bioorg. Med. Chem. Lett. 2001, 11, 3069.

PMID

(c) Aiello A.; D’Esposito M.; Fattorusso E.; Menna M.; Müller W. E. G.; Perović-Ottstadt S.; Schröder H. C. Bioorg. Med. Chem. 2006, 14, 17.

(d) La Regina G.; Silvestri R.; Artico M.; Lavecchia A.; Novellino E.; Befani O.; Turini P.; Agostinelli E. J. Med. Chem. 2007, 50, 922.

DOI

(e) Wood J. M.; Furkert D. P.; Brimble M. A. Nat. Prod. Rep. 2019, 36, 289.

DOI

[8]
(a) Estévez V.; Villacampa M.; Menéndez J. C. Chem. Soc. Rev. 2014, 43, 4633.

DOI

(b) Guo X.-X.; Gu D.-W.; Wu Z.; Zhang W. Chem. Rev. 2015, 115, 1622.

DOI

(c) Hong F.-L.; Ye L.-W. Acc. Chem. Res. 2020, 53, 2003.

DOI

(d) Duc D. X. Curr. Org. Chem. 2020, 24, 622.

DOI

(e) Xu X.; Chen J.; Ke J.; Zhang K.; Wu P.; Wang S. Chin. J. Org. Chem. 2021, 41, 206. (in Chinese)

DOI

(徐学涛, 陈洁, 柯俊杰, 张焜, 吴盼盼, 王少华, 有机化学, 2021, 41, 206.)

DOI

[9]
Liu W.; Jiang H.; Huang L. Org. Lett. 2010, 12, 312.

DOI

[10]
Chen X.; Li X.; Wang N.; Jin J.; Lu P.; Wang Y. Eur. J. Org. Chem. 2012, 4380.

[11]
Zhang L.; Wang X.; Li S.; Wu J. Tetrahedron 2013, 69, 3805.

DOI

[12]
(a) Hu Z.-Y.; Zhang Y.; Li X.-C.; Zi J.; Guo X.-X. Org. Lett. 2019, 21, 989.

DOI

(b) Yang H.-R.; Hu Z.-Y.; Li X.-C.; Wu L.; Guo X.-X. Org. Lett. 2022, 24, 8392.

DOI

(c) Zhao R.; Wu L.; Chen S.-W.; Cui Z.; Hu X.-H.; Yang H.-R.; Ye H.; Miao C.-B.; Guo X.-X. Eur. J. Org. Chem. 2024, 27, e202300919.

DOI

(d) Chen S.-W.; Hu X.-H.; Wu L.; Miao C.-B.; Guo X.-X. Tetrahedron Lett. 2025, 159, 155506.

DOI

[13]
(a) Anderson W. K.; Halat M. J.; Rick A. C. J. Med. Chem. 1980, 23, 87.

PMID

(b) Anderson W. K.; Milowsky A. S. J. Med. Chem. 1986, 29, 2241.

PMID

[14]
Rafaniello A. A.; Rizzacasa M. A. Org. Lett. 2020, 22, 1972.

DOI PMID

[15]
Zhao D.; Zhu Y.; Guo S.; Chen W.; Zhang G.; Yu Y. Tetrahedron 2017, 73, 2872.

DOI

Outlines

/