REVIEWS

Recent Advances on the Functionalization of Azlactones at Different Reactive Sites

  • Zhijie Jiang a ,
  • Jinxiu Chen b, c ,
  • Xiaofei Zhu d ,
  • Xinhao Deng c ,
  • Qiongjiao Yan , c, * ,
  • Wei Wang , b, * ,
  • Hui Zhou , b, *
Expand
  • a College of Biology, Food and Chemistry, Shaanxi Xueqian Normal University, Xi'an 710100
  • b College of Chemistry, Central China Normal University, Wuhan 430079
  • c Pharmaceutical Research Institute, Wuhan Institute of Technology, Wuhan 430205
  • d Pingwu High School, Mianyang, Sichuan 621000
* E-mail: ;

The authors contributed equally to this work

Received date: 2025-07-15

  Revised date: 2025-08-19

  Online published: 2025-09-12

Supported by

Natural Science Foundation of Hubei Province(2025AFB675)

2024 Shaanxi Higher Education Institutions Outstanding Young Talents Support Program(2025QJ-02(内))

Abstract

Azlactones constitute a crucial precursor for the preparation of α,α-disubstituted amino acids, N,O-acetal derivatives, many heterocyclic compounds, finding increasingly widespread applications in organic chemistry. Recent advances in functionalization of azlactone have enabled the synthesis of many important organic compounds. Notably, asymmetric transformations of azlactone have facilitated the preparation of valuable chiral compounds, attracting growing interest among researchers in this field. Focusing on the multi-active-site nature of azlactone, this review classifies its participation in diverse organic reactions, including C-2, C-4, and C-5 functionalization and multi-site cycloaddition reactions. Meanwhile, our research group has recently developed a novel method for the in situ formation of azlactones via the intramolecular cyclization of N-hydroxyphthalimide esters, which yields a various of chiral unnatural amino acids. This strategy complements existing azlactone functionalization reactions, thereby promoting the robust development of this field. Finally, the challenges and opportunities in this field are critically assessed, providing insights to direct future research and innovation.

Cite this article

Zhijie Jiang , Jinxiu Chen , Xiaofei Zhu , Xinhao Deng , Qiongjiao Yan , Wei Wang , Hui Zhou . Recent Advances on the Functionalization of Azlactones at Different Reactive Sites[J]. Chinese Journal of Organic Chemistry, 2026 , 46(1) : 1 -20 . DOI: 10.6023/cjoc202506007

噁唑酮作为一种重要的五元杂环结构, 不仅是许多天然产物和药物分子的重要组成部分[1], 而且是合成α-季碳氨基酸和N,O-缩醛类化合物的重要起始原料[2]. 鉴于噁唑酮类化合物的重要性, 如何快速高效地构建和修饰噁唑酮类化合物, 一直是合成化学家们关注的重要研究方向.
噁唑酮类化合物分子结构中同时存在多个兼具亲核性和亲电性的反应位点, 这种双亲特性使其能够参与多样化的反应路径. 噁唑酮环结构具有C-2、C-4和C-5三个反应位点, 其中C-2位和C-5位点主要表现为亲电位点, C-4位主要表现为亲核位点. 由于噁唑酮通常在碱性条件下去质子化生成烯醇中间体, 因此C-2位在一定条件下也具有亲核性, 使得噁唑酮类化合物可以参与多种不同类型的化学反应, 如C-2位或C-4位可以作为亲核取代或亲核加成的反应位点, C-2位或C-5位可以作为亲电取代或亲电加成的反应位点, 在C-4和C-5位可以发生[2+n]环加成反应, 在C-2和C-4位可以发生 [3+n]环加成反应. 此外, 利用C-5位的亲电性还可以发生开环反应(Figure 1). 本综述基于噁唑酮不同反应位点, 对近年来噁唑酮类化合物的官能团化反应进行了总结, 具体分为以下5种类型: C-2位官能团化, C-4位官能团化, C-5位开环反应, 多反应位点的环加成反应, 以及原位形成噁唑酮的官能团化.
图1 噁唑酮的反应位点

Figure 1 Reaction sites of azlactones

1 C-2位官能团化

噁唑酮的亲核反应位点活性与选择性显著依赖于其取代基类型(空间位阻效应和电子效应)、手性催化剂类型及反应条件(如温度、溶剂等)的协同调控. 噁唑酮最常见的反应类型是C-4位衍生化反应, 若噁唑酮C-2位上存在强吸电子基团或者C-4位存在大位阻基团时, 加成反应发生在C-2位.
2009年, Ooi课题组[3]设计了一类新型的手性四氨基磷鎓阳离子、两种酚类物质以及一个酚氧阴离子, 通过分子间氢键作用自组装成一种具有催化活性的超分子结构催化剂. 利用该系列催化剂可以实现噁唑酮和α,β-不饱和苯并三氮唑优异的对映选择性(>93% ee)和优异的非对映选择性(>20∶1 dr)的Michael加成反应(Scheme 1). 该反应的Michael加成步骤既是手性催化的决速步骤, 也是选择性决定步骤. 本研究建立了基于氢键的手性控制模型, 阐明了立体选择性与区域选择性的调控机制, 为弱键催化体系的理性设计提供了理论依据.
图式1 噁唑酮与α,β-不饱和酯的C-2选择性加成反应

Scheme 1 C-2 selective addition of azlactones to α,β-unsa- turated ester surrogates

2010年, Jørgensen课题组[4]利用金鸡纳碱衍生的手性硫脲为催化剂, 实现了噁唑酮和α,β-不饱和膦酸酯的完全C-2区域选择性不对称Michael加成反应(Scheme 2). 初步机理研究表明, 噁唑酮和膦酸酯与手性硫脲催化剂通过氢键形成限域的催化口袋, 从三维空间层面约束亲电试剂的取向; 而亲电试剂从双键Si-face进攻的反应机制是该反应具有高立体选择性的核心原因.
图式2 噁唑酮与酰基膦酸酯的C-2选择性加成反应

Scheme 2 C-2 selective addition of azlactones to acyl phosphonates

2015年, 王兴旺课题组[5]以金鸡纳碱衍生的硫脲为催化剂, 实现了噁唑酮与邻羟基查尔酮衍生物的C-2区域选择性不对称Michael加成反应(Scheme 3). 该反应以中等至良好的产率、优异的非对映选择性和良好至优异的对映选择性得到了具有光学活性的N,O-氨基化合物(Scheme 3). 密度泛函理论(DFT)计算表明查尔酮衍生物中羟基氢原子与催化剂C2氟原子生成的氢键是Michael加成发生在C-2位的主要原因.
图式3 噁唑酮与邻羟基查尔酮衍生物的区域选择性Michael加成

Scheme 3 Regional selective Michael addition of azlactones and ortho hydroxychalcone derivatives

2016年, 卢一新课题组[6]报道了氨基酸衍生的手性膦催化剂催化噁唑酮与2,3-丁二烯的区域发散不对称C-2-和C-4-选择性γ-加成反应(Scheme 4). 当2-烷基-4-芳基取代的噁唑酮作为亲核试剂时反应发生在C-2位, 实现手性N,O-缩醛和γ-乳糖醇的简便合成; 当2-芳基- 4-烷基取代的噁唑酮作为亲核试剂时, 在C-4位选择性γ-加成生成4,4-双取代的噁唑酮. DFT计算表明反应区域选择性是由亲核的噁唑酮和亲电的磷中间体相互作用产生的畸变能决定的.
图式4 噁唑酮与2,3-丁二烯酸酯的加成反应

Scheme 4 Addition reaction of azlactones with 2,3-butanoate compounds

2017年, Breit课题组[7]报道了金属铑/DPEphos催化噁唑酮与炔烃化合物的区域选择性多米诺噁唑酮炔基化/aza-Cope重排反应, 提供了一种合成2-烯丙基-噁唑酮类衍生物的高效途径(Scheme 5). 2-烯丙基-噁唑酮在二甲苯中进行微波加热得到2,3,6-三取代吡啶化合物.
图式5 铑催化的噁唑酮与炔烃的多米诺噁唑酮炔基化/aza-Cope重排反应

Scheme 5 Rhodium-catalyzed domino alkynylation of oxazolones with alkynes/aza-Cope rearrangements

2019年, 何英课题组[8]利用金属铱/手性亚磷酰胺催化体系, 实现了噁唑酮与炔烃的区域选择性多米诺烯丙基烷基化/aza-Cope重排反应, 成功制备出含季碳中心的烯丙基化2,4-二芳基噁唑-5(2H)-酮, 该方法具有优异的产率和高对映选择性(Scheme 6).
图式6 铱催化的噁唑酮的对映选择性α-烷基化反应

Scheme 6 Iridium catalyzed α-alkylation of azlactones

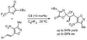
2020年, 常俊标课题组[9]报道了金鸡纳碱衍生的硫脲催化的2-三氟甲基噁唑酮与4-硝基-5-苯乙烯基异噁唑的不对称Michael加成反应(Scheme 7). 该反应在温和的反应条件下, 以中等以上收率(最高94%收率)得到具有相邻两个季碳和叔碳手性中心的含有CF3N,O-缩醛衍生物, 具有良好至优异的对映选择性(99% ee)和优异的非对映选择性(>20∶1 dr). 此外, 该课题组进行生物实验研究发现, 分离得到的部分手性产物具有良好的生物活性, 在制备抗肿瘤新药方面有着巨大的应用潜力.
图式7 乙烯基异恶唑与噁唑酮的不对称Michael加成反应

Scheme 7 Asymmetric Michael addition reaction of vinylisoxazole and azlactones

2021年, Nakamura课题组[10]报道了在金鸡纳碱衍生磺酰胺催化下, 2H-氮丙啶类化合物与噁唑酮发生对映选择性的加成反应(Scheme 8). 该研究的核心在于探索2H-氮丙啶与噁唑酮在C-2位置发生反应的对映选择性, 生成具有连续四取代手性中心的化合物, 实现了高产率、高对映选择性的反应. 除此之外, 研究还探讨了所得氮丙环衍生物的进一步转化, 验证了这些化合物在保持手性纯度的同时可以转化为多种手性化合物.
图式8 2H-氮丙啶与噁唑酮的对映选择性反应

Scheme 8 Enantioselective reaction of 2H‑azirines with azlactones

2021年, 常俊标课题组[11]报道了利用(1R,2R)-环己烷-1,2-二胺衍生的叔胺脲双功能催化剂, 实现了2-三氟甲基噁唑酮C-2位与苯甲酰氨基甲酸酯进行高对映选择性胺化反应(Scheme 9). 该方法在良好的收率(最高91%收率)下, 成功构建了高对映选择性(99% ee)的全氟烷基和氨基修饰的N,O-缩醛化合物.
图式9 噁唑酮与苯偶氮羧酸酯的不对称胺化反应

Scheme 9 Asymmetric amination reaction of azlactones and phenylazo carboxylic acid ester

2 C-4位官能团化

2.1 C-4位烯丙基化反应

1965年, Tsuji课题组[12]报道了首例烯丙位烷基化反应. 钯催化下亲核试剂(如活性亚甲基化合物, 烯胺类化合物)对烯丙基化合物(如乙酸烯丙酯和烯丙基溴)亲核取代进行烯丙基化的反应. 目前, 不对称烯丙位烷基化(AAA)反应是构建具有对映选择性的C—C、C—N和C—O键最强大且最常用的反应之一.
1997年, Trost课题组[13]首次报道了烯丙基氯化钯/ Trost配体催化体系下烯丙基醋酸酯与噁唑酮C-4位的高效不对称烯丙基化反应(Scheme 10). 该反应具有里程碑意义的研究, 展现出卓越的立体控制能力, 产物非对映选择性优异(>19∶1 dr)且对映选择性优秀(>95% ee). Trost等提出了“手性口袋模型”来解释反应中优异的立体选择性. 此研究在合成化学领域中具有重要意义, 并因其创新的催化体系受到了广泛关注.
图式10 噁唑酮C-4位不对称烯丙基化反应

Scheme 10 C-4 asymmetric allylation of azlactones

1999年, Trost课题组[14]报道了钯催化噁唑酮的不对称烯丙基化反应(Scheme 11). 该研究利用烯丙基酯为底物使得反应能够精确地发生在特定位点, 成功构建了在有机化学中极具挑战性的含季碳中心的噁唑酮骨架. 此外, Trost团队提出的“手性口袋模型”在此反应中再次得到验证, 相关理论计算研究支持了这一模型的合理性. 手性配体通过其三维结构, 在钯催化剂周围形成“手性口袋”, 引导反应物以高度立体选择性的方式反应. 这一发现不仅进一步稳固了Trost在不对称催化领域的地位, 也为新型手性催化剂的设计提供了理论基础.
图式11 噁唑酮与不对称非环烯丙基酯的不对称烯丙基化反应

Scheme 11 Enantioselective allylations of azlactones with unsymmetrical acyclic allyl esters

2002年, Trost课题组[15]等报道钼催化噁唑酮C-4位的高效不对称烯丙基化反应(>19∶1 dr, >95% ee), 成功构建含烯丙基支链的噁唑酮骨架(Scheme 12). 此类烯丙基化产物可在温和的酸性或碱性条件下发生水解开环反应, 生成β,γ-不饱和氨基酸. 末端烯基的引入赋予了后续反应较高的灵活性, 该末端烯烃的进一步官能团化修饰不仅反应条件温和,还具有高度的化学选择性,这一特性已成功应用于α-氨基酸的合成中.
图式12 噁唑酮的对映选择性烯丙基化反应

Scheme 12 Enantioselective allylation reaction of azlactones

2003年, Trost课题组[16]报道了钯催化噁唑酮与联烯的加成反应, 成功合成了烯丙基化产物(Scheme 13). 该反应不仅具有极高的原子经济性, 还为有机合成中的烯丙基烷基化反应提供了新策略. 鉴于其反应条件温和、选择性强的优势, 该方法的应用潜力已得到广泛认可, 进一步巩固了钯催化在不对称合成中的重要地位.
图式13 钯催化的噁唑酮与联烯的加成反应

Scheme 13 Palladium catalyzed addition reaction of azlactones to allenes

2011年, Giacomo课题组[17]利用钯(II)催化剂/双齿膦配体, 成功催化了2,3-不饱和吡喃苷与噁唑酮在C4位的加成反应. 该反应在温和条件下进行, 能够兼容多种官能团, 高效(最高90%收率)、高对映选择性(最高96% ee)地获得了一系列含有两个新立体中心的噁唑酮衍生物(Scheme 14). 该研究的关键在于反应中生成的π-烯丙基钯(II)中间体, 它与氨基酸衍生的噁唑酮发生对映选择性加成反应, 进而确保反应兼具高选择性与精准的立体控制能力. 随后, 通过二羟基化和水解反应, 最终产物可被转化为α-D-C-甘露糖醇-(S)-氨基酸. 这类兼具糖和氨基酸功能特性的化合物在药物开发和生物活性分子合成方面展现出广阔的应用前景.
图式14 钯催化噁唑酮与2,3-不饱和吡喃苷反应

Scheme 14 Palladium-catalyzed reaction between azlactones and 2,3-unsaturated pyranoside

2013年, Hartwig课题组[18]报道了金属铱/亚磷酰胺配体与无光学活性磷酸阴离子的共催化体系, 实现了反式-肉桂基甲基碳酸酯与噁唑酮的不对称烯丙基化反应(Scheme 15). 该反应于室温条件下甲苯溶剂中进行, 产率高达96%, 且展现了优异的立体选择性, 非对映选择性>20∶1 dr, 对映选择性>95% ee. 该研究的关键创新点在于发现了磷酸阴离子的独特作用. 尽管金属铱与亚磷酰胺配体的络合物能够提供出色的对映选择性, 但对于非对映选择性的控制效果有限. 加入无光学活性的磷酸阴离子后, 非对映选择性显著提高, 成功控制了反应的区域选择性和立体选择性. 进一步实验揭示了磷酸阴离子的结构多样性对非对映选择性的显著影响, 通过精细调控不同类型的磷酸阴离子, 可以进一步优化反应选择性. 这项研究为不对称烯丙化反应提供了全新途径, 展示了金属铱与亚磷酰胺配体的巨大潜力, 并为高效且高选择性的化学反应设计提供了新的思路.
图式15 铱催化的噁唑酮C-4位烯丙基化反应

Scheme 15 Iridium catalyzed C-4 allylation of azlactones

2018年, 邢栋课题组[19]报道了无碱条件下钯催化噁唑酮与1,3-二烯的高度非映对和对映选择性烯丙基烷基化反应(Scheme 16). 该反应由Pd(OAc)2/SEGPHOS和樟脑磺酸组成的催化体系, 以取代的1,3-二烯为原料,经1,2-加成反应合成了一系列具有良好非对映选择性和高立体选择性的噁唑酮类化合物. 值得注意的是, 以简单的1,3-丁二烯为烯丙基前体, 得到了收率高、区域选择性高的1,4-加成产物. 这项研究提供了一种高效的无碱条件下钯催化不对称烯丙基烷基化方法, 拓展了1,3-二烯类化合物的反应范围, 同时展示了在合成具有高立体选择性复杂分子中的巨大潜力, 进一步推动了不对称催化领域的发展.
图式16 钯催化噁唑酮与1,3-二烯的烯丙基烷基化反应

Scheme 16 Palladium catalyzed allylic alkylation of azlactones with 1,3-diene

2019年, 龚流柱课题组[20]报道了在钯催化剂和氧化剂苯醌条件下1,4-二烯与噁唑酮的高收率、高立体选择性烯丙基C—H烷基化反应, 生成了具有高立体选择性和区域选择性的产物, Z/E比超过20∶1 (Scheme 17). 该催化方法适用于多种底物, 展现了广泛的应用范围, 并能高效生成多种双取代的α-氨基酸衍生物, 并将其用于天然产物马钱子生物碱Lepadiformine的全合成.
图式17 钯催化噁唑酮与1,4-二烯不对称烯丙基烷基化反应

Scheme 17 Asymmetric allyl alkylation of azlactones with 1,4- diene by palladium catalyst

2022年, 王春江课题组[21]报道了噁唑酮的双烯丙基化反应. 该方法不仅可能生成具有两个叔碳中心的手性a-氨基酸衍生物, 还具有优异的位置选择性和对映选择性控制(>98 ee), 从而以卓越的对映体选择性制备手性氨基酸和氨基醇类化合物(Scheme 18).
图式18 铱催化噁唑酮的不对称双烯丙基烷基化反应

Scheme 18 Iridium-catalyzed asymmetric double allylic alkylation of azlactones

2023年, 王兴旺课题组[22]报道了手性草酰胺膦(COAP)-Pd催化的噁唑酮与Morita-Baylis-Hillman (MBH)碳酸酯的不对称烯丙基烷基化反应(Scheme 19). 该反应以高催化效率、高区域选择性和高对映选择性合成了多种含α-手性季碳中心的γ-芳基亚甲基谷氨酸衍生物.
图式19 钯催化噁唑酮与MBH碳酸酯的不对称烯丙基烷基化反应

Scheme 19 Palladium-catalyzed asymmetric allylic alkylation of azlactones with MBH carbonates

2024年, 陈庆安课题组[23]报道了一种钯催化噁唑酮与异戊烯的区域发散性偶联反应. 通过配体效应调控实现异戊二烯的区域选择性(2,1-加成和4,1-加成) (Scheme 20). 当使用单膦配体PPhCy2时生成反式异戊烯化的噁唑酮, 而当更换为双膦配体dppe时反应路径转向异戊烯化, 这种区域发散依赖于配位环境和空间效应的调节. 初步的动力学速率分析表明, 区域化学结果可能取决于所用膦配体的位阻效应和配位几何结构. 该方法为合成季碳异戊烯化和反式异戊烯化氨基酸提供了一条便捷的途径.
图式20 钯催化噁唑酮与异戊二烯的偶联反应

Scheme 20 Pd-catalyzed coupling of azlactones with isoprene

2.2 C-4位烷基化反应

2012年, Trost课题组[24]报道了钯/手性双膦配体催化苄基膦酸酯亲电试剂和噁唑酮不对称苄基化反应(Scheme 21). 利用新型手性双膦配体成功将不对称苄基化扩展至单环苯基亲电试剂, 并实现了精确的立体化学控制, 生成了具有高对映选择性的苄基化产物.
图式21 钯催化噁唑酮C-4位苄基化反应

Scheme 21 Palladium-catalyzed C-4 benzylation of azlactones

2022年, 郑柯课题组[25]报道了在无光敏剂和过渡金属温和条件下, 可见光对噁唑酮的烯醇负离子进行激发, 产生具有强还原性的激发态中间体, 和另一分子底物单电子转移(SET)后形成自由基对, 高效地实现了C(sp3)—C(sp3)自由基交叉偶联反应, 快速模块化构建结构多样复杂的非天然α-季碳氨基酸衍生物(Scheme 22). 该方法也可以直接从羧酸和氨基酸原料出发(不用对中间体进行分离), 以一锅煮的方式高效完成反应. 该方法具有很好的底物普适性和官能团容忍性, 且结合流动化学可实现克级规模的合成.
图式22 可见光促进噁唑酮自由基偶联反应

Scheme 22 Visible-light-driven radical-coupling reaction of azlactones

随后, 该课题组[26]又利用烷氧基邻苯二甲酰胺作为分子间氢原子转移(HAT)试剂, 首次在无过渡金属催化剂和光敏催化剂参与条件下成功实现了光诱导噁唑酮与烷烃的C(sp3)—H/C(sp3)—H自由基交叉偶联反应, 合成一系列非天然α-季碳氨基酸衍生物(Scheme 23). 除了苄基化合物外, 醚类底物、未活化的烷烃、硅烷、炔类底物也适用于该催化体系, 同时能生成大位阻的季碳氨基酸衍生物.
图式23 噁唑酮与烷烃C(sp3)—H/C(sp3)—H自由基偶联反应

Scheme 23 C(sp3)—H/C(sp3)—H CDC reaction of azlactones with alkanes

2.3 C-4位炔基化反应

2014年, Nachtsheim课题组[27]报道了炔基碘盐作为亲电炔基化试剂实现噁唑酮的炔基化反应. 该反应在碱性条件下仅需要30 min, 即可以60%~97%的收率得到炔基化的噁唑酮衍生物, 炔基化产物可以很容易地转化成各种α-季氨基酸衍生物(Scheme 24).
图式24 炔基碘盐介导噁唑酮炔基化反应

Scheme 24 Alkynyliodonium-mediated alkynylation of azlactones

2021年, 吴小余课题组[28]利用硫脲鏻盐作为手性催化剂, 实现了以Waser试剂为炔基化亲电试剂的噁唑酮不对称炔基化反应(Scheme 25). 该反应只能以中等收率(55%~80%)和对映选择性(27%~73% ee)获得目标产物, 另外C-4位取代基较为受限, 如芳基、苯基等都不能适用.
图式25 噁唑酮不对称炔基化反应

Scheme 25 Asymmetric alkynylation of azlactones

2.4 C-4位芳基化反应

2003年, Hartwig课题组[29]报道了Pd(OAc)2/Ad2P(t- Bu)催化噁唑酮类化合物与芳基卤化物的偶联反应(Scheme 26). 利用氨基酸分子内环化构建噁唑酮骨架, 通过钯催化剂将芳烃的sp2碳与噁唑酮的烯醇酯部分进行偶联. 值得注意的是, 含吡啶基的芳基底物表现出较差的反应活性, 容易导致钯催化剂失活, 影响产物生成. 尽管该反应在构建噁唑酮骨架及偶联方面表现优异, 但在立体选择性控制上尚未取得突破.
图式26 噁唑酮与芳基溴代物C-4位芳基化反应

Scheme 26 C-4 arylation of azlactones with aryl bromide

高价碘(III)试剂已经广泛应用于有机合成反应中. 柴卓课题组[30]报道了在碳酸银催化下, 二芳基溴化碘作为芳基化试剂实现噁唑酮C-4位芳基化反应. 在温和条件下以中等以上收率实现了α-四取代氨基酸合成(Scheme 27).
图式27 噁唑酮与碘试剂的C-4位芳基化反应

Scheme 27 C-4 arylation of azlactones with iodine reagents

2.5 C-4位Steglich重排

1970年, Steglich等[31]报道了4-二甲氨基吡啶(DMAP)和吡啶衍生物催化5-酰基氧噁唑的重排反应生成酰内酯, 这一反应称为Steglich重排反应. 1998年, Fu课题组[32]报道了噁唑酮类化合物的不对称酰基迁移反应, 这一研究为不对称催化领域带来了重要突破(Scheme 28). 在该反应中, 他们使用了4-吡咯烷基吡啶衍生物作为催化剂, 在温和条件下进行, 以优异产率(>93%)和良好对映选择性(最高达92%)得到了一系列酰化噁唑酮类化合物.
图式28 4-吡咯烷基吡啶催化的Steglich重排

Scheme 28 Steglich rearrangement catalyzed by the 4-(pyrro- lidino)pyridine

2009年, Smith课题组[33]报道了异硫脲催化的噁唑酮碳酸酯重排反应, 成功合成了具有高度立体选择性的产物, 且高达94% ee值(Scheme 29). 这一反应策略不仅高效, 还为含复杂手性中心的分子合成提供了全新的方法. 理论计算的研究结果表明, 在反应过程中生成的N-羧基中间体的C-4位倾向采取准平伏键构象, 这一构象是立体选择性的重要驱动力. 该研究通过巧妙的催化设计和对立体效应的深入理解, 为不对称催化反应提供了新的思路, 特别是在复杂分子立体选择性合成中展现了重要的应用前景.
图式29 异硫脲催化的对映选择性酰基转移反应

Scheme 29 Isothiourea-catalyzed enantioselective carboxy group transfer reaction

2011年, Seidel课题组[34]报道了手性硫脲基催化剂和DMAP协同催化, 实现了O-乙酰基噁唑酮的Steglich重排反应, 以中等以上收率、高对应选择性(91% ee)合成了α,α-双取代氨基酸衍生物(Scheme 30).
图式30 双催化策略催化不对称Steglich重排反应

Scheme 30 Dual-catalysis approach to the asymmetric Steglich rearrangement

2018年, 郭海明课题组[35]设计合成了一类手性DMAP-N-O酰基转移催化剂, 并用于O-酰基吖内酯的不对称Steglich重排反应中, 取得了高达97%的ee值(Scheme 31). 该研究工作以DMAP-N-O的氧为亲核位点, 突破了手性DMAP以氮作为亲核位点的思维局限, 为后续手性DMAP-N-O类催化剂的发展奠定基础.
图式31 手性DMAP氮氧化物催化噁唑酮的酰基迁移反应

Scheme 31 Chiral DMAP-nitroxide catalyzed acyl migration reaction of azlactones

2.6 C-4位Michael加成反应

Michael加成反应是一种构建C—C单键的重要方式, 以噁唑酮作为共轭加成底物合成一系列氨基酸衍生物. 2012年, Ooi课题组[36]开发了一种创新策略, 利用手性三氨基膦亚胺作为有机强碱催化剂, 成功催化了噁唑酮与单取代二烯基N-酰基吡咯的加成反应(Scheme 32). 该催化体系不仅克服了这类反应中常见的区域选择性问题, 还同时实现了非对映选择性和对映选择性的精确控制, 展示了优异的立体化学控制, 从而确保了产物的结构精确性和高立体选择性. 这一创新策略不仅拓展了有机碱催化的应用范围, 还为设计和优化类似的反应体系提供了有效模板.
图式32 噁唑酮与二乙烯基N-酰基吡咯酮的反应

Scheme 32 Reaction between azlactones and dienyl N‑acyl- pyrroles

2014年, Oiarbide课题组[37]报道了手性双功能布朗斯特碱催化具有双功能氢键受体/供体特性的α-氧代烯酮与噁唑酮的Michael加成反应(Scheme 33). 密度泛函计算表明, 催化剂中的二级胺亲电位点和Michael受体中羰基氧生成氢键以及奎宁环三级胺亲核位点和羰基氧生成氢键是反应获得高立体选择性关键. 该催化体系Michael供体还包括2-吲哚酮、氰乙酸酯、噻唑酮、氮杂内酯等化合物.
图式33 布朗斯特碱催化噁唑酮与烯酮的Michael加成反应

Scheme 33 Brønsted-base-catalyzed Michael-type addition of azlactones to enones

2014年, 王锐课题组[38]报道了在奎宁衍生的双功能催化剂下, 成功实现了α,β-不饱和三氯甲基酮与噁唑酮的不对称Michael加成反应(Scheme 34). 该反应以较高产率生成了α-季碳氨基酸衍生物, 并展现出极其优异的立体选择性, 达到99%的对映体过量和>20∶1的非对映选择性. 该研究不仅在α-氨基酸衍生物的高效合成方面取得了重大进展, 还展示了双功能有机催化剂在立体选择性控制中的巨大潜力, 为不对称Michael加成反应的开发提供了新方向.
图式34 噁唑酮与α,β-不饱和三氯甲烷酮的不对称加成反应

Scheme 34 Asymmetric addition reaction of azlactones with α,β-unsaturated trichloromethane ketones

2016年, 王兴旺课题组[39]报道了以金鸡纳碱衍生的硫脲为催化剂, 实现了噁唑酮与邻羟基查尔酮的不对称Michael加成/酯交换串联反应, 以中等到优异收率(63%~96%)、对映选择性(81%~96% ee)和优异的非对映选择性(>20∶1 dr)构建了一系列含有连续季碳和叔碳手性中心的的3,4-二氢香豆素(Scheme 35).
图式35 噁唑酮与烯基二烯基酮的不对称加成反应

Scheme 35 Asymmetric addition reaction of azlactones and vinyldienones

2017年, Ooi课题组[40]报道了在P-螺手性亚胺磷催化作用下, 成功实现了噁唑酮对多种二烯基酮的1,6-加成反应. 该反应的位点选择性主要依赖于亚胺基膦烷的共轭酸与氨基鏻离子的协同作用, 这种协同作用能够精确识别并区分二烯基酮中的亲电位点, 从而确保反应选择性地发生在1,6-位点(Scheme 36). 研究表明, 手性亚胺基磷催化剂在不对称催化中的多重选择性控制具有显著潜力.
图式36 噁唑酮与烯基二烯基酮的不对称加成反应

Scheme 36 Asymmetric addition reaction of azlactones and vinyldienones

2018年, 王锐课题组[41]报道了在手性硫脲催化剂的作用下噁唑酮与脱氢丙氨酸之间的不对称1,4-加成反应(Scheme 37). 该反应产率从中等至优良(最高达95%), 非对映选择性高达98∶2, 对映选择性达到99%. 更重要的是, 生成的产物可以进一步转化为多种α,γ-二氨基二酸衍生物, 填补了现有文献中非对映选择性合成此类化合物的空白.
图式37 噁唑酮与脱氢丙氨酸的不对称加成反应

Scheme 37 Asymmetric addition reaction of azlactones and dehydroalanines

2021年, 鄢明课题组[42]报道了一项创新研究, 通过(DHQD)₂PHAL和硫脲的协同催化实现了噁唑酮与乙烯磺酰氟的对映选择性共轭加成反应, 合成了2-苯基-4-苄基噁唑酮(Scheme 38). 该反应不仅展现了极高的收率(最高可达96%), 还具有卓越的对映选择性(99% ee), 为含磺酰氟基团的手性噁唑酮的合成提供了一种便捷且高效的途径. 此外, 反应产物可通过简单的后续操作转化为具有药用价值的手性磺内酰胺和α-季氨基酸衍生物, 这类化合物在药物研发中具有重要应用潜力. 该研究拓展了噁唑酮化合物的合成策略, 同时为手性磺酰氟类分子的合成提供了新工具, 展现了在药物化学和不对称合成领域的广泛应用前景.
图式38 噁唑酮与乙烯磺酰氟的对映选择性共轭加成反应

Scheme 38 Enantioselective addition reaction of azlactones with ethylene sulfonyl fluoride

2.7 C-4位Mannich反应

2008年, Ooi课题组[43]报道了手性四氨基膦酸羧酸离子对催化剂, 并将其成功应用于噁唑酮与脂肪族亚胺的Mannich反应(Scheme 39). 该反应可能的催化循环包括羧酸盐(催化剂反离子)从噁唑酮烯醇互变异构体中提取一个质子, 氮杂内酯烯醇盐通过双氢键与四氨基磷鎓阳离子稳定结合. 这种离子对中间体随后与亚胺反应, 生成磷鎓磺酰胺, 再被羧酸质子化, 从而再生催化剂.
图式39 四氨基膦羧酸盐催化噁唑酮和N-磺酰亚胺的Mannich反应

Scheme 39 Mannich-type reaction between azlactones and N- sulfonyl imines catalyzed by a tetraaminophosphonium carboxylate

2012年, 龚流柱课题组[44]报道了一种新型手性双碱催化剂, 成功应用于噁唑酮与脂肪族亚胺的Mannich反应(Scheme 40). 这种催化剂凭借其独特的手性甜菜碱结构设计, 展现了卓越的催化效果. 研究表明, 这些有机碱基通过多功能协同作用, 显著促进了噁唑酮与多种脂肪族亚胺的反应, 生成的产物具有极高的对映选择性(94%~99% ee). 此外, 研究还揭示了该催化剂的可调节性. 通过调整催化剂中的联萘基和金鸡纳生物碱序列, 催化剂结构可以根据不同反应需求灵活改变, 从而适应不同的底物和反应条件. 这种灵活性使得该催化体系不仅适用于优化现有的Mannich反应, 还为开发其他不对称催化反应提供了新思路.
图式40 噁唑酮与脂肪族亚胺的不对称加成反应

Scheme 40 Asymmetric addition reaction of azlactones with aliphatic imines

2018年, 李桂根课题组[45]报道了新型手性N-膦酰亚胺和噁唑酮生成α-季碳-α,β-二氨基酸衍生物(Scheme 41). 该反应不需要催化剂、碱或添加剂即可达到优异的产率和非对映选择性. 值得关注的是, 该反应产物只经简单共溶剂洗的就可以提纯, 避免了柱层析或者重结晶分离等常规纯化手段.
图式41 噁唑酮与N-膦酰亚胺的不对称Mannich反应

Scheme 41 Asymmetric Mannich-type reaction of N-phos- phonyl imines with azlactones

2020年, 许建峰课题组[46]报道了利用手性方酰胺有机催化剂实现噁唑酮与靛蓝衍生的酮胺的Mannich反应, 立体选择性地合成了一系列α,β-二氨基酸衍生物(Scheme 42). 该加成产物可直接转化为相应的α,β-二氨基酯, 显著提升了其在复杂分子合成中的实用性与灵活性. 该反应表现出中等至优秀的产率, 非对映选择性在3∶1至20∶1范围内, 对映选择性则达到66%~97% ee.同时, 反应能够适应多种不同的底物, 具有良好的官能团耐受性, 进一步表明其在多样化底物中的适应性.
图式42 噁唑酮与酮胺的不对称Mannich反应

Scheme 42 Asymmetric Mannich reaction of azlactones and ketoamines

2.8 C-4位Ene-type反应

2008年, Tepe课题组[47]报道了利用手性BINOL磷酸作为催化剂实现了噁唑酮与烯醇醚之间的分子间加成反应, 随后通过硼氢化钠还原生成叔烷基氨基羟基羧酸酯(Scheme 43). 通过这两步策略, 研究团队成功制备了高度功能化的四元中心产物, 收率高达90%, 且非对映选择性达到了79∶21. 本研究为手性BINOL磷酸催化的高效分子间加成反应提供了新策略, 特别是在复杂分子合成和立体选择性控制方面展现了巨大潜力, 为含四元中心的高级有机分子的合成提供了一条高效且灵活的新途径.
图式43 噁唑酮和烯醇醚间的分子间烯型反应

Scheme 43 Intermolecular enol type reaction between oxazolone and enol ethers

2011年, Terada课题组[48]报道了手性磷酸催化的噁唑酮和3-乙烯基吲哚的高度非对映和对映性加成反应(Scheme 44). 该研究可以方便地获得具有相邻季碳和叔碳立体中心的色氨酸衍生物. 初步理论研究表明, 膦酸催化剂可同时活化噁唑酮和乙烯基吲哚, 二者经Ene反应过程生成目标产物.
图式44 手性膦酸催化烯基吲哚和噁唑酮加成反应

Scheme 44 Addition of azlactones to 3-vinylindoles catalyzed by chiral phosphoric acid

2.9 C-4位Aldol反应

2015年, 邓力课题组[49]报道了α-烷基噁唑酮与脂肪醛之间的不对称催化Aldol反应, 成功合成了含有烷基取代基的β-羟基-α-氨基酸(Scheme 45). 这类化合物是许多天然产物的重要组成部分, 广泛存在于生物活性分子中. 该反应不仅产率极高(高达98%), 而且展现了卓越的对映选择性(高达98% ee)和非对映选择性(anti/ syn比例为98∶2). 这一创新的催化方法为含复杂手性中心的β-羟基-α-氨基酸的高效合成提供了可靠的策略, 具有广泛的应用潜力.
图式45 噁唑酮与不饱和脂肪族醛的不对称催化Aldol反应

Scheme 45 Asymmetric catalytic Aldol reaction between azlactones and unsaturated aliphatic aldehydes

2.10 C-4位其它衍生化反应

2022年, 冯小明课题组[50]报道了基于课题组开发的手性双氮氧配体和Nd(OTf)3催化体系, 成功实现了噁唑酮与N-芳基-N-芳基酰肼之间的高效不对称胺化反应, 以优异的对映选择性合成了一系列含肼的氮唑内酯衍生物(Scheme 46). 该研究不仅展示了Lewis酸催化在不对称胺化反应中的潜力, 还引入了双功能催化的新模式, 拓展了不对称催化反应的应用范围.
图式46 噁唑酮与N-芳基-N-芳基酰肼的不对称胺化反应

Scheme 46 Asymmetric amination of azlactones with N-aryl- N'-aryl hydrazides

2020年, Sala课题组[51]报道了在奎宁环衍生的相转移催化下噁唑酮的不对称三氟甲硫基化反应(Scheme 47). 该反应具有优异的收率和中等及以上对映选择性, 但是噁唑酮2-位取代基局限于富电子的对甲氧基苯取代基. 密度泛函理论研究结果表明, 富电子的对甲氧基苯取代基增加了C-4位电子密度, 使烯醇负离子具有能量更高的HOMO轨道. 计算证实, 噁唑酮烯醇负离子与亲电三氟甲硫基为反应的决速步骤.
图式47 噁唑酮的不对称三氟甲硫基化反应

Scheme 47 Asymmetric trifluoromethylthiolation of azlactones

3 C-5位不对称动态动力学拆分开环反应

动态动力学拆分(DKR)是手性合成领域高效制备光学纯多手性化合物的理想方法, 可将外消旋底物的两种对映体转化为单一对映体产物, 这种巧妙的策略可以克服传统“动力学拆分”最大理论产率50%的限制. 因此, DKR在构建具有多个连续立体中心的手性分子方面展示了巨大的潜力, 尤其是在手性药物和手性催化剂的生产中具有重要应用价值. 噁唑酮的C-5位具有亲电性, 可以发生动态动力学拆分开环反应. 随着近年来科研工作者对于噁唑酮类化合物的不断探索, 通过选用合适的手性催化体系, 借助消旋底物一对对映异构体与手性催化剂之间存在的“匹配-不匹配”效应, 最终诱导生成具有高对映选择性和高非对映选择性产物.
1998年, Fu课题组[52]报道了平面手性的DMAP衍生物催化噁唑酮的醇解DKR反应(Scheme 48). 尽管反应收率较高, 但底物仅局限于甲醇、异醇和异丙醇, 而且反应的对映选择性较低(44%~78% ee).
图式48 手性DMAP衍生物催化噁唑酮的醇解反应

Scheme 48 Chiral DMAP derivative catalyzed the deracemization/ring opening of azlactones

2005年, Lex课题组[53]报道了在5 mol%的脲基双功能手性有机催化剂下, 噁唑酮的醇解反应以良好的对映选择性生成天然和非天然氨基酸(Scheme 49). 核磁共振光谱研究表明, 脲的N—H键和噁唑酮的羰基形成氢键, 从而实现对噁唑酮的活化, 同时催化剂的氨基和醇羟基之间的氢键相互作用, 是该反应具有高立体选择性的关键因素. 值得注意的是, 当采用硫脲催化剂时, 该反应同样可实现了良好的对应选择性控制(高达91% ee).
图式49 脲基双功能催化剂催化噁唑酮的DKR反应

Scheme 49 Dynamic kinetic resolution of azlactones by urea- based bifunctional organocatalysts

2013年, Connon等[54]报道了硫醇解噁唑酮的高对映选择性动态动力学拆分(Scheme 50). 该研究开发了一种新型C-5'-羟基取代的金鸡纳碱类催化剂, 与传统的C-9位取代催化剂相比, 这些新型催化剂在催化硫醇解反应中表现出显著的优势. 实验结果表明, 这些催化剂能够在多个不同的噁唑酮底物中实现较高的对映选择性(84%~92% ee), 这其中涵盖了以往难以处理的支链氨基酸衍生物. 然而, 该反应体系的收率仅处于较低至中等水平(24%~60%).
图式50 噁唑酮的硫醇解DKR反应

Scheme 50 Thiolysis-based DKR reaction of azlactones

2014年, Miller课题组[55]报道了肽催化噁唑酮的外消旋体转化为具有光学活性的α-氨基酸衍生物的反应(Scheme 51). 该研究的核心在于开发并优化了一种四肽催化剂, 该催化剂能够在甲醇解的动态动力学拆分(DKR)过程中, 实现了高对映选择性控制. 实验结果显示, 含有苄基取代基的噁唑酮底物表现出更好的反应性能, 可以获得良好至优异的对映选择性(88∶12~98∶2 er)的酯化产物.
图式51 四肽催化甲醇对噁唑酮的DKR反应

Scheme 51 Tetrapeptide catalyzed DKR reaction of methanol with azlactones

2016年, 石枫课题组[56]通过合理设计胺类亲核试剂, 实现了噁唑酮的不对称胺解反应, 成功合成了高光学纯度的双酰胺化合物(Scheme 52). 研究表明, 胺类亲核试剂中同时含有空间庞大的基团和活化基团是获得高对映选择性的关键因素. 该方法具有条件温和、官能团耐受性好、产率高(99%)和对映选择性好(97% ee)等优点. 这项研究提供了一种高效合成手性双酰胺的新方法, 为开发具有生物活性的手性化合物开辟了新的途径.
图式52 胺类亲核试剂对噁唑酮的不对称动力学拆分

Scheme 52 Amine nucleophiles for dynamic kinetic resolution of azlactones

4 噁唑酮多反应位点参与的环加成反应

噁唑酮作为一种含有多个反应位点的五元环化合物, 其结构中的C-2、C-4、C-5具有独特的化学反应活性, 使其能够参与多种环加成反应. 这些反应在合成复杂的多环结构、构建手性中心以及设计具有生物活性的分子中具有重要的应用价值. 近年来, 对于噁唑酮环加成反应的研究报道不断涌现.
2007年, Toste课题组[57]报道了羰基金化合物活化噁唑酮作为亲核试剂与烯烃的对应选择性[3+2]环加成反应(Scheme 53). 温和的反应条件适用于各种噁唑酮和缺电子烯烃底物.
图式53 噁唑酮与缺电子烯烃的对映选择性1,3-偶极环加成反应

Scheme 53 Enantioselective 1,3-dipolar cycloadditions of azl- actones with electron-deficient alkenes

2010年, 冯小明课题组[58]报道了利用新型的C2-轴对称手性双胍实现噁唑酮与查尔酮的Diels-Alder反应(Scheme 54). 该催化剂在较宽的底物范围内均具有良好的催化活性, 以较高的产率(高达88%)和良好的对映体选择性(高达99% ee)合成了含有四元立构中心的手性γ,δ-不饱和δ-内酯.
图式54 噁唑酮与查尔酮的Hetero-Diels-Alder反应

Scheme 54 Hetero-Diels-Alder reaction between azlactones and chalcones

2013年, 冯小明课题组[59]报道了噁唑酮与氧杂氮杂环丙烷的氧胺化反应(Scheme 55). 该反应实现了氧杂氮杂环丙烷的高效催化不对称氧胺化和动力学拆分, 得到了多种具有潜在生物活性的手性噁唑啉-4-酮衍生物(高达92% ee). 同时, 为合成具有光学活性的氧杂氮杂环丙烷提供了一条新的途径(高达99% ee).
图式55 噁唑酮与氧杂氮杂环丙烷的氧胺化反应

Scheme 55 Oximation reaction of oxazolone with oxaziridine

2013年, 王锐课题组[60]报道了手性硫脲催化下噁唑酮和亚甲基吲哚啉酮之间的对应选择性1,3-偶极环加成反应(Scheme 56). 该反应具有良好的收率和非对应选择性. 这是第一例有机催化噁唑酮亲核C4和亲电C2原子的对映选择性1,3-偶极环加成反应, 为具有潜在生物活性的螺环吲哚类化合物的合成提供了高效实用的方法.
图式56 噁唑酮与亚甲基吲哚啉酮之间的立体选择性1,3-偶极环加成反应

Scheme 56 Stereoselective 1,3-dipolar cycloaddition between azlactones and methylene indolinones

2016年, 王锐课题组[61]报道了手性磷酸催化剂催化噁唑酮和亚甲基吲哚啉酮之间的对应选择性1,3-偶极环加成反应(Scheme 57). 该方法使用联萘酚骨架的手性磷酸催化剂, 合成了一系列具有潜在生物活性的3,3-吡咯烷酮螺环吲哚类化合物. 该反应具有高产率(达90%)、高非对映选择性和对映选择性(达99% ee, >20∶1 dr).
图式57 手性磷酸催化的噁唑酮与亚甲基吲哚啉酮的1,3-偶极环加成反应

Scheme 57 1,3-Dipolar cycloaddition reaction of azlactones and methylene indolone catalyzed by chiral phosphoric acid

2016年, 石枫课题组[62]开发了手性磷酸和手性胍协同催化邻羟基苯乙烯与噁唑酮的对映选择性[4+2]环加成反应(Scheme 58). 该反应建立了手性磷酸和手性胍相结合的新型协同催化体系, 以高产率(高达99%)和对映选择性(高达96∶4 er)构建具有生物学活性的二氢香豆素骨架.
图式58 噁唑酮与邻羟基苯乙烯对映选择性[4+2]环加成反应

Scheme 58 Enantioselective [4+2] cycloaddition of azlactones with o-hydroxystyrenes

2018年, 石枫课题组[63]报道了手性磷酸催化噁唑酮与偶氮萘的不对称[2+3]环加成反应, 实现了一系列手性异吲哚啉酮衍生物的合成, 具有高收率(高达99%)和高对映选择性(高达98% ee) (Scheme 59). 该反应不仅实现了以氮杂内酯为C2合成子参与的不对称催化 [2+3]环化反应, 进一步丰富了偶氮萘参与的不对称环化反应.
图式59 噁唑酮与偶氮萘的不对称[2+3]环加成反应

Scheme 59 Asymmetric [2+3] cycloaddition reaction between azlactones and azonaphthalenes

同年, 王锐课题组[64]报道了手性磷酸催化的噁唑酮与N-取代咔啉的不对称[2+2]环加成/青霉素-青霉酮酸重排反应, 实现了咪唑烷-5-酮类化合物的高对映选择性合成(Scheme 60). 该反应以手性磷酸催化噁唑酮与咔啉发生不对称[2+2]环加成得到α-氨基-β-内酰胺中间体, 随后在酸催化下进一步发生不对称多聚磷酸(PPA)重排反应, 以中等至优秀的产率、优异的非对映选择性(>20∶1 dr)和对映选择性(最高98% ee)得到一系列咪唑烷-5-酮化合物.
图式60 噁唑酮与N-取代β-咔啉的对映选择性环加成反应

Scheme 60 Enantioselective cycloaddition reaction of azlactones with N-substituted β-carboline

2019年, 王兴旺课题组[65]报道了铜催化乙炔基苯并噁唑烷酮和噁唑酮的不对称脱羧[4+2]环加成反应, 该反应利用Pybox作手性配体, 能以高产率、良好的对映选择性和非对映选择性制备一系列光学活性的3,4-二氢喹啉-2-酮(Scheme 61).
图式61 铜催化乙炔基苯并噁唑烷酮和噁唑酮的不对称脱羧[4+2]环加成

Scheme 61 Copper catalyzed enantioselective decarboxylative [4+2] cycloaddition reaction of ethynyl benzoxazinanones with azlactones

2021年, 刘小华课题组[66]报道了手性酰胺胍催化异靛红和噁唑酮的不对称[3+2]环加成反应, 高效构建了含两个连续四取代手性中心的吲哚啉-3-酮衍生物(Scheme 62). 该研究表明各种取代的噁唑酮和异靛红均能很好地参与反应, 以中等到优秀的产率、优异的非对映选择性(>19∶1 dr)和对映选择性(最高99% ee)得到一系列目标产物. 克级规模反应也能顺利进行, 进一步验证了该方法的实用性.
图式62 异靛红与噁唑酮的不对称[3+2]环加成反应

Scheme 62 Catalytic asymmetric formal [3+2] cycloaddition of isatogens with azlactones

同年, 该课题组[67]又实现了手性L-脯氨酸衍生的手性胍酰胺类催化剂高效催化噁唑酮与2-苯并噻唑亚胺的不对称[4+2]环加成反应(Scheme 63). 该反应可以在2 mol%催化剂量下以优异的产率(高达99%)、优秀的非对映选择性(>19∶1 dr)和对映选择性(高达98% ee)合成了一系列含相邻叔碳和季碳手性中心的苯并噻唑嘧啶类化合物.
图式63 噁唑酮与2-苯并噻唑胺的[4+2]环加成反应

Scheme 63 [4+2] cycloaddition reaction of azlactones with 2-benzothiazole amines

2021年, 石枫课题组[68]报道了一类新的碱促进的N-(2-(氯甲基)苯基)-4-甲基苯磺酰胺与噁唑酮的[4+2]环加成反应, 以中等到优秀的产率合成了一系列具有生物活性的二氢喹啉酮类衍生物(Scheme 64). N-(2-(氯甲基)苯基)-4-甲基苯磺酰胺在碱作用下失去一分子氯化氢, 生成氮杂邻亚甲基苯醌中间体, 噁唑酮作为“二原子”合成子发生[4+2]环加成反应. 该研究不仅丰富了氮杂邻亚甲基苯醌参与的反应类型, 而且为具有重要生物活性的二氢喹啉酮骨架的构建提供了实用方法.
图式64 氮杂邻亚甲基苯醌与噁唑酮的[4+2]环加成反应

Scheme 64 [4+2] cyclization of aza-o-quinone methides with azlactones

2022年, 欧阳琴课题组[69]报道了手性膦酸催化2-乙烯基苯并噻唑与噁唑酮的[4+2]环化反应, 以良好到优秀的收率(68%~96%)、高非对映选择性(>20∶1 dr)、出色的对映选择性(94% ee)合成了一系列苯并噻唑[3,2- a]吡啶衍生物(Scheme 65). 该研究发展了一个在温和条件下高效构建苯并噻唑[3,2-a]吡啶衍生物的新方法, 产物具有潜在的药物化学研究价值.
图式65 2-乙烯基苯并噻吩与噁唑酮的[4+2]环加成反应

Scheme 65 [4+2] annulation reaction of 2-vinylbenzothiazoles and azlactones

5 原位形成噁唑酮中间体的官能团化

一直以来, 基于噁唑酮不同活性位点的官能团化反应层出不穷, 但噁唑酮底物的合成步骤繁琐且不稳定, 尤其是极其不稳定的2,4-二烷基取代噁唑酮, 目前还没有合适的方法合成. 因此, 基于该类噁唑酮底物的官能团化也无法实现, 而相对于研究较多的2-芳基-4-烷基噁唑酮, 2-烷基-4-芳基和2,4-二芳基噁唑酮底物的官能团化也报道较少.
基于此, 最近我们课题组[70]开发了一种高效快速原位形成噁唑酮的策略, 利用α-氨基酸衍生的N-羟基邻苯二甲酰羟胺酯(NHP酯), 在碱作用下发生分子内环化脱去一分子邻苯二甲酰羟胺, 同时生成噁唑酮中间体. 随后, 该噁唑酮中间体发生各种官能团转化, 例如在过渡金属铜催化下, 能与炔丙基酯发生C-4位不对称炔丙基化反应, 以高收率和高立体选择性得到一系列重要的手性α-炔丙基取代的α-氨基酸衍生物(Scheme 66); 而在过渡金属钯催化下, 能与常用的烯丙基底物发生不对称烯丙基化反应, 合成各种光学纯的α-烯丙基取代的α-氨基酸衍生物(Scheme 66)[71]. 该策略避免了合成不稳定的噁唑酮, 通过原位生成的策略实现各种取代噁唑酮底物的官能团化. 值得一提的是, 该策略成功实现了2,4-二烷基取代噁唑酮底物的不对称转化, 弥补了已有噁唑酮官能团化反应的不足.
图式66 过渡金属催化NHP酯的不对称炔丙基化和烯丙基化反应

Scheme 66 Transition metal catalyzed asymmetric propargylic and allylic reactions of NHP esters

6 结论与展望

噁唑酮类化合物作为五元杂环化合物, 凭借其C-2、C-4和C-5位点的独特反应活性, 在有机合成、药物开发及材料科学等领域展现出重要价值. 近年来, 针对不同反应位点的官能团化及衍生化研究取得显著进展, 为高效构建复杂手性分子和生物活性化合物提供了多样化策略. 当前研究通过新型催化剂设计(如手性磷酸、双功能有机催化剂)及反应机制创新, 显著提升了噁唑酮衍生物的合成效率和立体选择性.
展望未来, 噁唑酮化学的发展应重点关注以下方向: (1)开发新型稳定化策略, 如引入保护基团或设计空间位阻结构, 以解决噁唑酮底物不稳定的关键问题; (2)发展模块化合成方法, 通过一锅多步反应简化合成步骤, 提高原子经济性; (3)深化原位生成噁唑酮策略研究, 重点开发光催化、电催化等绿色催化体系, 实现传统方法难以合成的敏感底物转化; (4)拓展不对称催化应用, 设计新型手性配体以实现高对映选择性转化; (5)加强计算化学辅助的机理研究, 为新型反应设计提供理论指导. 这些策略的实施将显著提升噁唑酮在抗肿瘤药物、抗生素等生物活性分子合成中的应用价值, 并为功能材料的分子设计开辟新途径.
(Cheng, F.)
[1]
Almalki A. J.; Ibrahim T. S.; Taher E. S.; Mohamed M. F. A.; Youns M.; Hegazy W. A. H.; Al-Mahmoudy A. M. M. Molecules 2022, 27, 671.

DOI

[2]
Fisk J. S.; Mosey R. A; Tepe J. J. Chem. Soc. Rev. 2007, 36, 1432.

DOI

[3]
Uraguchi D.; Ueki Y.; Ooi T. Science 2009, 326, 120.

DOI PMID

[4]
Jiang H.; Paixão M. W.; Monge D.; Jørgensen K. A. J. Am. Chem. Soc. 2010, 132, 2775.

DOI PMID

[5]
Zhang S. Y.; Ruan G. Y.; Geng Z. C.; Li N. K.; Lv M.; Wang Y.; Wang X. W. Org. Biomol. Chem. 2015, 13, 5698.

DOI

[6]
Wang T. L.; Yu Z. Y.; Hoon D. L.; Phee C. Y.; Lan Y.; Lu Y. X. J. Am. Chem. Soc. 2016, 138, 265.

DOI

[7]
Kuang J. Q.; Parveen S.; Breit B. Angew. Chem., Int. Ed. 2017, 56, 8422.

DOI

[8]
Bai X. D.; Zhang Q. F.; He Y. Chem. Commun. 2019, 55, 5547.

DOI

[9]
Li L. Y.; Zhu B.; Fan H. H.; Jiang Z. Y.; Chang J. B. Org. Chem. Front. 2020, 7, 1343.

DOI

[10]
Fujita K.; Miura M.; Funahashi Y.; Hatanaka T.; Nakamura S. Org. Lett. 2021, 23, 2104.

DOI

[11]
Zhu B.; Yang T. X.; Gu Y. X.; Zhu S. P.; Zhu G. M.; Chang J. B. Org. Chem. Front. 2021, 8, 4160.

DOI

[12]
Tsuji J.; Takahashi H.; Morikawa M. Tetrahedron Lett. 1965, 49, 4387.

[13]
Trost B. M.; Ariza X. Angew. Chem., Int. Ed. 1997, 36, 2635.

[14]
Trost B. M.; Ariza X. J. Am. Chem. Soc. 1999, 121, 10727.

DOI

[15]
Trost B. M.; Dogra K. J. Am. Chem. Soc. 2002, 124, 7256.

DOI

[16]
Trost B. M.; Jäkel C.; Plietker B. J. Am. Chem. Soc. 2003, 125, 4438.

DOI

[17]
Giacomo M. D.; Serra M.; Brusasca M.; Colombo L. J. Org. Chem. 2011, 76, 5247.

DOI

[18]
Chen W. Y.; Hartwig J. F. J. Am. Chem. Soc. 2013, 135, 2068.

DOI

[19]
Yang H. J.; Xing D. Chem. Commun. 2020, 56, 3721.

DOI

[20]
Lin H. C.; Xie P. P.; Dai Z. Y.; Zhang S. Q.; Wang P. S.; Chen Y. G.; Wang T. C.; Hong X.; Gong L. Z. J. Am. Chem. Soc. 2019, 141, 5824.

DOI

[21]
Cheng X.; Shen C.; Dong X. Q.; Wang C. J. Chem. Commun. 2022, 58, 3142.

DOI

[22]
Zhou S. S.; Sun X. Y.; Liu W. K.; Song J. Y.; Wang Z.; Qi Z. H.; Wang X. W. J. Org. Chem. 2023, 88, 11867.

DOI

[23]
Zhang W. N.; Hu Y. C.; Liu Y.; Wang X. Y.; Zhao Y. Y.; Chen Q. A. Cell Rep. Phys. Sci. 2024, 5, 101908.

[24]
Trost B. M.; Czabaniuk L. C. J. Am. Chem. Soc. 2012, 134, 5778.

DOI

[25]
Li Y. J.; Yang J.; Geng X. X.; Tao P.; Shen Y. L.; Su Z. S.; Zheng K. Angew. Chem., Int. Ed. 2022, 61, e202210755.

[26]
Li Y. J.; Guo S. P.; Li Q. H.; Zheng K. Nat. Commun. 2023, 14, 6225.

DOI

[27]
Finkbeiner P.; Weckenmann N. M.; Nachtsheim B. J. Org. Lett. 2014, 16, 1326.

DOI PMID

[28]
Meng B. B.; Shi Q.; Meng Y.; Chen J.; Cao W. G.; Wu X. Y. Org. Biomol. Chem. 2021, 19, 5087.

DOI

[29]
Liu X. X.; Hartwig J. F. Org. Lett. 2003, 5, 1915.

DOI

[30]
Chai Z.; Wang B.; Chen J. N.; Yang G. S. Adv. Synth. Catal. 2014, 356, 2714.

DOI

[31]
Steglich W.; Höfle G. Tetrahedron Lett. 1970, 11, 4727.

DOI

[32]
Ruble J. C.; Fu G. C. J. Am. Chem. Soc. 1998, 120, 11532.

DOI

[33]
Joannesse C.; Johnston C. P.; Concellón C.; Simal C.; Philp D.; Smith A. D. Angew. Chem., Int. Ed. 2009, 48, 8914.

DOI

[34]
De C. K.; Mittal N.; Seidel D. J. Am. Chem. Soc. 2011, 133, 16802.

DOI

[35]
Xie M. S.; Zhang Y. F.; Shan M.; Wu X. X.; Qu G. R.; Guo H. M. Angew. Chem., Int. Ed. 2019, 58, 2839.

DOI

[36]
Uraguchi D.; Yoshioka K.; Ueki Y.; Ooi T. J. Am. Chem. Soc. 2012, 134, 19370.

DOI PMID

[37]
Badiola E.; Fiser B.; Gómez-Bengoa E.; Mielgo A.; Olaizola I.; Urruzuno I.; García J. M.; Odriozola J. M.; Razkin J.; Oiarbide M.; Palomo C. J. Am. Chem. Soc. 2014, 136, 17869.

DOI PMID

[38]
Zhang J. L.; Liu X. H.; Wu C. Y.; Zhang P. P.; Chen J. B.; Wang R. Eur. J. Org. Chem. 2014, 32, 7104.

[39]
Zhang S. Y.; Lv M.; Yin S. J.; Li N. K.; Zhang J. Q.; Wang X. W. Adv. Synth. Catal. 2016, 358, 143.

DOI

[40]
Yoshioka K.; Yamada K.; Uraguchi D.; Ooi T. Chem. Commun. 2017, 53, 5495.

DOI

[41]
Yang J. X.; Sun W. S.; He Z.Y.; Yu C. J.; Bao G. J.; Li Y. P.; Liu Y. Y.; Hong L.; Wang R. Org. Lett. 2018, 20, 7080.

DOI

[42]
Zhu D. Y.; Zhang X. J.; Yan M. Org. Lett. 2021, 23, 4228.

DOI

[43]
Uraguchi D.; Ueki Y.; Ooi T. J. Am. Chem. Soc. 2008, 130, 14088.

DOI PMID

[44]
Zhang W. Q.; Cheng L. F.; Yu J.; Gong L. Z. Angew. Chem., Int. Ed. 2012, 51, 4085.

DOI

[45]
Zhang H. W.; Yang Z.; Zhao B. N.; Li G. J. Org. Chem. 2018, 83, 644.

DOI

[46]
Li Z. H.; Peng J. Y.; He C. L.; Xu J. F.; Ren H. J. J. Org. Chem. 2020, 85, 3894.

DOI

[47]
Mosey R. A.; Fisk J. S.; Friebe T. L.; Tepe J. J. Org. Lett. 2008, 10, 825.

DOI

[48]
Terada M.; Moriya K.; Kanomata K.; Sorimachi K. Angew. Chem., Int. Ed. 2011, 50, 12586.

DOI

[49]
Zheng Y.; Deng L. Chem. Sci. 2015, 6, 6510.

PMID

[50]
Ke C. Q.; Cao Q. H.; Luo Y.; Liu X. H.; Feng X. M. Chem. Commun. 2022, 58, 5881.

DOI

[51]
Sicignano M.; Rodríguez R. I.; Capaccio V.; Borello F.; Cano R.; Riccardis F. D.; Bernardi L.; Díaz-Tendero S.; Sala G. D.; Alemán J. Org. Biomol. Chem. 2020, 18, 2914.

DOI PMID

[52]
Liang J.; Ruble J. C.; Fu G. C. J. Org. Chem. 1998, 63, 3154.

DOI

[53]
Berkessel A.; Cleemann F.; Mukherjee S.; Müller T. N.; Lex J. Angew. Chem., Int. Ed. 2005, 44, 807.

DOI

[54]
Palacio C.; Connon S. J. Eur. J. Org. Chem. 2013, 24, 5398.

[55]
Metrano A. J.; Miller S. J. Org. Chem. 2014, 79, 1542.

DOI

[56]
Zhang Y. C.; Yang Q.; Yang X.; Zhu Q. N.; Shi F. Asian J. Org. Chem. 2016, 5, 914.

DOI

[57]
Melhado A. D.; Luparia M.; Toste F. D. J. Am. Chem. Soc. 2007, 129, 12638.

PMID

[58]
Dong S. X.; Liu X. H.; Chen X. H.; Mei F.; Zhang Y. L.; Gao B.; Lin L. L.; Feng X. M. J. Am. Chem. Soc. 2010, 132, 10650.

DOI

[59]
Dong S. X.; Liu X. H.; Zhu Y.; He P.; Lin L. L.; Feng X. M. J. Am. Chem. Soc. 2013, 135, 10026.

DOI

[60]
Sun W. S.; Zhu G. M.; Wu C. Y.; Li G. F.; Hong L.; Wang R. Angew. Chem., Int. Ed. 2013, 52, 8633.

DOI

[61]
Zhang Z. H.; Sun W. S.; Zhu G. M.; Yang J. X.; Zhang M.; Hong L.; Wang R. Chem. Commun. 2016, 52, 1377.

DOI

[62]
Zhang Y. C.; Zhu Q. N.; Yang X.; Zhou L. J.; Shi F. J. Org. Chem. 2016, 81, 1681.

DOI

[63]
Ma C.; Zhou J. Y.; Zhang Y. Z.; Mei G. J.; Shi F. Angew. Chem., Int. Ed. 2018, 57, 5398.

DOI

[64]
Zhang M.; Yu C. J.; Xie J. Q.; Xun X. D.; Sun W. S.; Hong L.; Wang R. Angew. Chem., Int. Ed. 2018, 57, 4921.

DOI

[65]
Sun B. B.; Hu Q. X.; Hu J. M.; Yu J. Q.; Jia J.; Wang X. W. Tetrahedron Lett. 2019, 60, 1967.

DOI

[66]
Xie L. H.; Li Y.; Dong S. X.; Feng X. M.; Liu X. H. Chem. Commun. 2021, 57, 239.

DOI

[67]
Ke C. Q.; Liu Z. Z.; Ruan S.; Feng X. M.; Liu X. H. Org. Chem. Front. 2021, 8, 5705.

DOI

[68]
Wang H. Q.; Ma W. J.; Sun A.; Sun X. Y.; Jiang C.; Zhang Y. C.; Shi F. Org. Biomol. Chem. 2021, 19, 1334.

DOI

[69]
Pan B.; Li A.; Liu D.; Ni Q. S.; Liang W.; Du F.; Gu J.; Ouyang Q. Org. Biomol. Chem. 2022, 20, 4512.

DOI

[70]
Gui C.; Peng Y.; Zhou Y.; Zheng Y.; Wang H.; Yan Q.; Zhou H.; Wang W.; Chen F. ACS Catal. 2023, 13, 13735.

DOI

[71]
Zheng Y.; Deng X.; Zhao F.; Peng Y.; Yan Q.; Wang W.; Chen F.; Zhou H. Org. Chem. Front. 2025, 12, 1537.

DOI

Outlines

/