REVIEWS

Structural Modifications, Structure-Activity Relationships, and Total Synthesis Advances in Erythromycin Analogs against Resistant Pathogens

  • Xinyi Cui a ,
  • Lifan Guo a ,
  • Congxuan Ma , a, * ,
  • Yun Li , b, * ,
  • Jianhua Liang , a, *
Expand
  • a Key Laboratory of Medicinal Molecule Science and Pharmaceutical Engineering, Ministry of Industry and Information Technology, School of Chemistry and Chemical Engineering, Beijing Institute of Technology, Beijing 102488
  • b Institute of Clinical Pharmacology, Peking University First Hospital, Beijing 100034
* E-mail: ;

Received date: 2025-08-08

  Revised date: 2025-09-05

  Online published: 2025-09-18

Supported by

National Natural Science Foundation of China(22577009)

Sichuan Science and Technology Program(2024YFHZ0046)

Postdoctoral Fellowship Program of CPSF(GZC20252723)

Abstract

As clinically important and widely used drugs, macrolide antibiotics exhibit broad-spectrum antimicrobial properties and excellent therapeutic efficacy, such as erythromycin, clarithromycin and azithromycin, all of which are essential medicines recommended by the World Health Organization (WHO). However, the emergence of bacterial resistance has significantly reduced their antibacterial efficacy, leaving the treatment of numerous diseases facing a dilemma of no effective drugs available. In particular, macrolide antibiotics, the 3rd-generation telithromycin and the 4th-generation solithromycin included, are difficult to exert therapeutic effects against infectious diseases caused by constitutive erm-carrying Staphylococcus aureus, constitutive erm-carrying Streptococcus pyogenes, and Mycoplasma pneumoniae with A2058 mutation. To overcome the problem of bacterial resistance to macrolide antibiotics and further enhance their antibacterial activity against drug-resistant bacteria, extensive studies have been performed on new structures. Taking the development history of macrolide antibiotics as a chronological framework, the research progress of these drugs against drug-resistant bacteria from 2013 to 2024 is systematically summarized. This study focuses on elaborating the structure-activity relationships of new structures, pharmacokinetic characteristics, and total synthesis strategies of non-natural macrolides, and summarizes the key breakthroughs of 5th-generation macrolide antibiotics in combating bacterial resistance. This review will provide guidance for subsequent drug design, research on resistance mechanisms, and the development of novel antibacterial strategies.

Cite this article

Xinyi Cui , Lifan Guo , Congxuan Ma , Yun Li , Jianhua Liang . Structural Modifications, Structure-Activity Relationships, and Total Synthesis Advances in Erythromycin Analogs against Resistant Pathogens[J]. Chinese Journal of Organic Chemistry, 2026 , 46(1) : 39 -73 . DOI: 10.6023/cjoc202506020

大环内酯类抗生素对革兰氏阳性菌, 部分革兰氏阴性菌以及肺炎支原体、衣原体和军团菌等均有良好的抗菌活性[1]. 凭借较为广泛的抗菌谱、较高的安全性和较好的治疗效果, 该类抗生素在临床中大量使用已逾70年. 目前, 已上市的大环内酯类抗生素分为三代. 第一代代表性抗生素是红霉素, 具有较为广泛的抗菌活性, 但是其结构在酸性条件下不稳定[2]. 第二代改善了第一代酸不稳定的问题, 代表性抗生素是阿奇霉素、克拉霉素和罗红霉素[3]. 第一、二代大环内酯在作用机制上并无区别, 在长时间的临床使用中, 细菌耐药问题日益严峻. 为了解决耐药菌问题, 科研人员研发了第三代抗耐药菌大环内酯, 即2001年上市, 也是迄今唯一上市的抗耐药菌大环内酯抗生素——泰利霉素. 其在原有A2058(如无特殊说明, 本文均采用大肠杆菌核糖体RNA编号)的氢键作用基础上, 还能与A752-U2609碱基对形成π-π作用, 进一步加强与核糖体的结合, 使其对部分诱导型、外排型耐药菌株以及多重耐药肺炎链球菌重新恢复了活性[4], 但是耐药问题并未完全解决, 对于高水平耐药的组成型erm金黄色葡萄球菌、组成型erm化脓链球菌以及A2058突变的支原体, 泰利霉素仍不具有活性. 泰利霉素在耐药问题上的成效与局限启示我们, 要彻底解决大环内酯类抗生素的耐药难题, 需突破传统作用位点与机制的限制, 发掘全新的作用位点及作用机制.

1 大环内酯的发展

1957年, Woodward[5]首次提出“大环内酯(Macro- lide)”一词, 特指一类由12~16个碳原子构成的大内酯环, 且环上连接一个或多个糖基结构的化合物[6]. 具有该类结构的化合物拥有相似的作用机制和抗菌谱[7]. 在作用机制方面, 大环内酯类抗生素的德胺糖(Deso- samine)通过水介导与rRNA A2058的N-6位点以氢键作用相结合(图1)[8], 以“隧道塞(Tunnel plugs)”的形式占据通道, 阻止新生肽链的延长, 抑制细菌蛋白质的合成, 最终发挥抑菌作用[9]. 这种作用机制可以选择性地阻止大部分新生肽通过, 因此大环内酯类药物是蛋白质翻译的调节剂, 而非蛋白质合成的抑制剂[10]. 大环内酯类抗生素主要用于治疗革兰氏阳性菌(如金黄色葡萄球菌、肺炎链球菌以及化脓链球菌等)引起的感染, 对革兰氏阴性菌的抗菌活性有限, 仅作用于流感嗜血杆菌和卡他莫拉菌. 此外, 还对肺炎支原体、衣原体和军团菌等也具有抗菌活性[11]. 在大环内酯类抗生素中, 12元环结构在临床中应用较少, 16元环结构主要应用于兽药领域, 而14、15元环结构凭借优越的抗菌活性和较少的副作用, 在临床中得到了广泛应用.
图1 红霉素与核糖体靶点A2058的相互作用(粉色结构为红霉素(PDB: 4V7U))[12]

Figure 1 Interaction between erythromycin and the ribosomal base A2058 (The pink structure is erythromycin (PDB: 4V7U))[12]

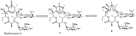
第一代大环内酯类抗生素红霉素A (Erythromycin A, 图2)原名Ilotycin, 1949年从菲律宾的土壤样本中发现, 1952年由美国Eli Lilly公司首次开发并用于临床, 是首个实际应用于临床的大环内酯类抗生素[13]. 由于红霉素A对上下呼吸道主要病原体具有广泛抗菌活性, 因此常用于治疗呼吸道感染[3]. 相较于喹诺酮类和四环素类抗生素, 该类药物具有更高的安全性和更低的毒副作用, 因而成为治疗儿童、孕妇肺炎支原体感染的首选药物[14]. 然而, 红霉素A的临床应用受限于其结构的酸不稳定性, 在胃酸的作用下, 其C-6、9位脱水形成烯醇醚结构1, 并且该结构最终转化为6,9-;9,12-螺缩酮(2, Scheme 1), 导致原有的抗菌活性丧失[2].
图2 大环内酯类抗生素代表化合物

Figure 2 Representative compounds of macrolide antibiotics

图式1 红霉素A在酸性条件下降解的化学结构变化

Scheme 1 Chemical structural changes of erythromycin A during degradation under acidic conditions

为了改善该结构的酸不稳定问题, 科研人员在6位羟基上引入甲基修饰得到克拉霉素(Clarithromycin, 图2), 重排扩环在9a位引入氮原子得到阿奇霉素(Azithro- mycin, 图2), 9位肟醚修饰得到罗红霉素(Roxithro-mycin, 图2). 第二代大环内酯类抗生素具有更高的酸稳定性, 提高了药物的生物利用度[红霉素的生物利用度约为15%~45%(取决于剂型); 克拉霉素、罗红霉素约为50%; 阿奇霉素约为37%][3,15]. 但是, 第二代大环内酯类抗生素仅解决了结构稳定性问题, 其作用机制与第一代一致. 随着该类药物的长期临床使用, 细菌对大环内酯类抗生素的耐药问题日趋严峻.
核糖体甲基化是大环内酯类抗生素最主要的耐药机制. erm甲基转移酶可对23S rRNA A2058的N-6进行单甲基化或双甲基化修饰, 产生位阻破坏大环内酯C-5的德胺糖与核糖体之间的氢键作用, 降低药物与靶点的亲和力, 最终导致耐药[16]. Svetlov等[8]通过分析泰利霉素和嗜热栖热菌70S核糖体的共晶结构, 揭示了大环内酯类erm耐药的分子机制, 即A2058残基与大环内酯之间存在水分子, A2058的N-6作为氢键供体与水的氧原子形成相互作用力, 水分子的其余两个氢原子分别与德胺糖上的二甲氨基和G2505磷酸基团之间形成相互作用力(图3), 而A2058甲基化后这种相互作用无法实现, 导致药物与靶点的结合力减弱, 进而产生耐药性. erm基因介导的耐药分为诱导型和组成型, 研究表明诱导型耐药是由大环内酯C-3位克拉定糖结构诱导erm基因表达导致的, 因此可以通过脱去该结构并适当修饰3-OH来规避[17]; 但对于组成型erm耐药的肺炎链球菌、化脓链球菌及金黄色葡萄球菌等菌株, 该修饰策略无法解决耐药问题. 除核糖体甲基化外, 主动外排机制也是产生耐药性的一种途经. 在该机制下, 耐药菌株携带的mef基因会编码膜上的外排泵蛋白, 增加膜的通透性, 将大环内酯排出, 从而产生耐药[18]. 此外, ere基因编码的酯酶和mph(C)基因编码的磷酸转移酶可通过修饰大环内酯类抗生素的结构, 导致细菌耐药[19]. 靶标核糖体的突变同样会引发耐药, 例如23S rRNA中A2058突变为G或U, A2059突变为G, 均会使细菌对大环内酯类抗生素产生高水平耐药[20]. 值得注意的是, 此类靶点突变还会影响与大环内酯类抗生素作用靶点相同的林可酰胺类及链阳菌素B类药物, 导致菌株对这些不同骨架的抗生素产生交叉耐药[21].
图3 红霉素A的二甲氨基通过水分子介导与A2058结合的示意图(PDB: 6XHY)[8]

Figure 3 Schematic diagram of the binding of dimethylamino group of erythromycin A to A2058 mediated by water molecules (PDB: 6XHY)[8]

随着erm甲基化耐药和mef外排泵耐药机制的广泛传播, 前两代大环内酯类药物对耐药菌的抗菌活性显著降低. 第三代大环内酯类抗生素泰利霉素(Telithro- mycin, 图2)通过结构修饰, 实现了A752-U2609作用位点的创新, 恢复了对诱导型、外排型erm耐红霉素病原体和组成型erm耐药的肺炎链球菌、化脓链球菌的抗菌活性[22], 但对组成型金黄色葡萄球菌以及其它具有高水平甲基化耐药的菌株无效. 组成型金黄色葡萄球菌耐药问题已成为全球抗感染治疗的核心难题. 2007年辉瑞的科学家表示, 目前已知的大环内酯类药物均对该菌株无效[23]. 大环内酯类抗生素的发展因此遇到了瓶颈.
在解决耐药问题上, 探寻大环内酯类抗生素的新靶点和新机制是未来发展的重要方向, 2013年我们曾对此进行了综述评价[24]. 2013~2024年间, 大环内酯类抗生素的机制研究持续推进, 成功解析出许多70S(含大、小亚基)、50S大亚基细菌核糖体与大环内酯的高分辨率复合物结构(表12). 这些基于复合物结构的机制研究, 为后续开发具有新靶点或新机制的抗耐药大环内酯抗生素奠定了基础.
表1 2013~2024年大环内酯与70S核糖体复合物结构PDB汇总

Table 1 Summary of PDB structures of macrolide-70S ribosome complexes from 2013 to 2024

Macrolide Species Res/Å Method PDB No. Ref.
Erythromycin E. coli 3.60 Electron microscopy 5JU8 [25]
Erythromycin E. coli 3.60 Electron microscopy 5JTE [25]
Telithromycin B. subtilis 3.10 Electron microscopy 6HA1 [26]
Telithromycin E. coli 3.50 Electron microscopy 6HA8 [26]
Erythromycin Thermus thermophilus 2.85 X-Ray diffraction 6ND6 [27]
Erythromycin Staphylococcus aureus 2.42 Electron microscopy 6S0X [28]
Erythromycin Thermus thermophilus 2.55 X-Ray diffraction 6XHX [8]
Telithromycin Thermus thermophilus 2.60 X-Ray diffraction 6XHY [8]
Erythromycin E. coli 2.90 Electron microscopy 7NSO [29]
Erythromycin E. coli 3.50 Electron microscopy 7NSP [29]
Telithromycin E. coli 3.10 Electron microscopy 7NSQ [29]
Erythromycin E. coli 3.00 Electron microscopy 7Q4K [30]
Erythromycin Thermus thermophilus 2.50 X-Ray diffraction 8FC1 [31]
Erythromycin Thermus thermophilus 2.45 X-Ray diffraction 8FC4 [31]
Azithromycin Thermus thermophilus 2.50 X-Ray diffraction 8FC2 [31]
Azithromycin Thermus thermophilus 2.65 X-Ray diffraction 8FC5 [31]
Telithromycin Thermus thermophilus 2.35 X-Ray diffraction 8FC6 [31]
Telithromycin Thermus thermophilus 2.60 X-Ray diffraction 8FC3 [31]
MCX-66 Thermus thermophilus 2.40 X-Ray diffraction 8VTU [32]
MCX-128 Thermus thermophilus 2.40 X-Ray diffraction 8VTX [32]
MCX-128 Thermus thermophilus 2.35 X-Ray diffraction 8VTW [32]
MCX-91 Thermus thermophilus 2.40 X-Ray diffraction 8VTV [32]
MCX-190 Staphylococcus aureus 2.58 Electron microscopy 8Y38 [23]
MCX-190 Staphylococcus aureus 3.60 Electron microscopy 8Y39 [23]
表2 2013~2024年大环内酯与50S核糖体复合物结构PDB汇总

Table 2 Summary of PDB Structures of Macrolide-50S Ribosome Complexes from 2013 to 2024

Macrolide Species Res/Å Method PDB No. Ref.
Carbamolide 4d Deinococcus radiodurans 3.20 X-Ray diffraction 4IO9 [33]
Carbamolide 4e Deinococcus radiodurans 3.20 X-Ray diffraction 4IOA [33]
Carbamolide 4f Deinococcus radiodurans 3.60 X-Ray diffraction 4IOC [33]
Erythromycin E. coli 6.60 Cryo-electron microscopy 3J5L [34]
Erythromycin E. coli 3.90 Cryo-electron microscopy 3J7Z [35]
Telithromycin Staphylococcus aureus 3.43 X-Ray diffraction 4WF9 [36]
Erythromycin Deinococcus radiodurans 3.54 X-Ray diffraction 4WFN [37]
Erythromycin Staphylococcus aureus 2.30 Electron microscopy 6S0Z [28]
Clarithromycin Mycobacterium tuberculosis 3.30 Electron microscopy 7F0D [38]
Erythromycin Mycobacterium smegmatis 3.60 Electron microscopy 8XZ3 [39]
MCX-190 Staphylococcus aureus 2.65 CElectron microscopy 8Y36 [23]
MCX-190 Staphylococcus aureus 2.53 Electron microscopy 8Y37 [23]

2 第三代大环内酯类抗生素

2.1 酮内酯(Ketolide)

早期研究表明, C-3位的克拉定糖对抗菌活性至关重要, 脱去该基团会导致抗菌活性丧失[40], 而酮内酯结构的出现打破了这一认知. “酮内酯”是一类红霉素A的半合成衍生物, 其结构保留了C-5位德胺糖, 同时在C-3位以羰基取代易诱导耐药的克拉定糖[17]. 具有该结构的大环内酯类抗生素, 不会诱导产生MLSB耐药[大环内酯类(Macrolides)、林可酰胺类(Lincosamides)及链阳菌素B (Streptogramins B)交叉耐药][41].

2.1.1 TE-802

TE-802是一种具有三环结构的酮内酯(图4), 合成过程中通过迈克尔加成反应构建C-11,12-氨基甲酸酯环, 分子内脱水反应构建C-9,11-二氮杂庚烯环, 与大环内酯母体共同组成三环结构, 此结构在酸性条件下比阿奇霉素和克拉霉素更稳定[42]. 相较于阿奇霉素和克拉霉素, TE-802这种三环结构与3-羰基的组合对诱导型耐药金黄色葡萄球菌的抗菌活性显著增强[TE-802的最小抑制浓度(MIC)=0.20~1.56 μg/mL; 克拉霉素、阿奇霉素的MIC>100 μg/mL], 但对组成型耐药菌无效, 这与它未作用于核糖体额外靶点有关[42a]. 在口服给药5 mg/kg时, TE-802在小鼠体内具有与阿奇霉素类似的cmax (TE-802cmax=0.26 μg/mL; 阿奇霉素的cmax=0.27 μg•mL-1)和更大的血药浓度-时间曲线下面积(AUC) (TE-802的AUC8hr=3.14 μg•h-1mL-1; 阿奇霉素的AUC8hr=1.84 μg•h/mL). 小鼠的体内实验表明, 由金黄色葡萄球菌、化脓链球菌或肺炎链球菌引起的感染中, TE-802的治疗效力优于阿奇霉素和克拉霉素[42b].
图4 酮内酯TE-802的结构

Figure 4 Structure of ketolide TE-802

2.1.2 泰利霉素

侧链的引入对酮内酯类化合物提升抗菌活性、改善药代动力学性质和探究新机制等方面具有重要意义[43]. 在泰利霉素(图2)的11,12位引入氨基甲酸酯结构, 通过烷基链连接芳基, 从而靶向核糖体的新位点A752(图5A), 这一结构修饰加强了其与核糖体的相互作用[44]. 泰利霉素与核糖体结合力的增强, 以及诱导耐药的基团克拉定糖的脱除, 使得泰利霉素恢复了对诱导型erm耐药的肺炎链球菌、化脓链球菌、金黄色葡萄球菌, 以及组成型erm耐药的肺炎链球菌、化脓链球菌的抗菌活 性[22]. 同时, 新作用位点提供的强结合力使泰利霉素即使在mef基因存在时, 仍能对耐药菌有活性, 进而解决了mef介导的外排型耐药问题[45]. 凭借对社区获得性呼吸道病原体及耐药病原体的良好抗菌活性[4], 泰利霉素于2001年(欧盟)和2004年(美国)获批上市, 但上市后不久, 泰利霉素显现出诸如视力障碍及肝功能衰竭等严重副作用[46], 这是由侧链中的吡啶-咪唑部分阻断“烟碱乙酰胆碱受体”导致[47]. 鉴于严重的肝毒性副作用, 2007年欧洲药品管理局对其实施黑框警示, 并严格限制其适应症范围, 仅允许用于治疗社区获得性肺炎.
图5 (A)泰利霉素与嗜热栖热菌核糖体靶点A752的相互作用[粉红色结构为泰利霉素(PDB: 4V7Z)][51]; (B)泰利霉素与金黄色葡萄球菌核糖体的复合物结构[泰利霉素在金黄色葡萄球菌中与A752不具有相互作用, 粉红色结构为泰利霉素(PDB: 4WF9)][36]

Figure 5 (A) Interaction between telithromycin and ribosomal target A752 of Thermus thermophilus (The pink structure is telithromycin (PDB: 4V7Z));[51] (B) Structure of the complex between telithromycin and ribosomes of S. aureus (Telithromycin does not interact with A752 in S. aureus. The pink structure is telithromycin (PDB: 4WF9))[36]

尽管泰利霉素在克服erm诱导耐药及外排耐药方面取得突破, 但在解决耐药问题上仍存在明显局限性. 相关复合物结构显示, 泰利霉素在金黄色葡萄球菌中, 其侧链与A752无相互作用力(图5B), 表明不同种属细菌的核糖体与泰利霉素结合方式不同, 进而导致药物具有不同的抗菌活性[36]. 此外, 对化脓链球菌中erm介导的耐药机制进一步研究发现, A2058甲基化程度决定耐药水平; 泰利霉素对A2058双甲基化比例较低的菌株抗菌活性较高, 对双甲基化比例较高的菌株抗菌活性较 差[48]. 在这些因素的影响下, 泰利霉素对组成型耐药菌活性有限.

2.1.3 新型酮内酯

在2013~2024年, 对于酮内酯类抗生素的研究不断的推进, 在构效关系、药代动力学性质和作用机制方面进行了进一步探索.

2.1.3.1 11位修饰酮内酯

2016年的研究显示, 在C-11,12位为氨基甲酸酯结构的14元酮内酯骨架中的C-11位引入侧链修饰制备的化合物3(图6), 对耐甲氧西林的表皮葡萄球菌的抗菌活性(MIC50为1 μg/mL)显著高于红霉素(MIC50>256 μg/ mL)和阿奇霉素(MIC50>256 μg/mL), 但对耐甲氧西林金黄色葡萄球菌无效(MIC50>256 μg/mL)[49]. 构效关系表明, 在11-N上引入含苯基取代基的侧链可以有效提高抗菌活性[49]. 为了进一步优化, 研究人员将含烷基喹啉的侧链引入该位点, 得到化合物4a~4e(图6). 这些化合物对敏感和耐药病原体的抗菌活性与泰利霉素类似, 但对耐甲氧西林金黄色葡萄球菌活性较差(MIC=32~64 μg/mL)[50]. 此外, 侧链含碳-碳双键结构相较于单键结构, 对耐药化脓链球菌以及流感嗜血杆菌的抗菌活性更具优势; 喹啉或异喹啉的引入也有利于提升化合物的抗菌活性[50].
图6 化合物3和4a~4e的结构

Figure 6 Structures of compounds 3 and 4a~4e

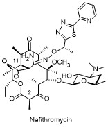
那非霉素(图7)是C-11位结构修饰中颇为成功的范例, 目前已在印度完成了针对社区获得性肺炎的临床三期实验以及全球二期临床开发, 并向印度药品管制局递交了新药申请[52]. 它具有C-11位脒肟连接2-吡啶-1,3,4-噻二唑的酮内酯结构, 这种结构在侧链上具有手性和顺式双键, 研究表明侧链构型对抗菌活性有显著影响[53]. 针对高水平ermB耐药的肺炎链球菌3773 [S构型化合物MIC=0.25 μg/mL, R构型化合物MIC=8 μg/mL]和高水平ermB耐药的化脓链球菌3530 [S构型化合物MIC=0.5 μg/mL, R构型化合物MIC=16 μg/mL], 具有S构型的那非霉素的抗菌活性显著高于具有R构型的化合物, 并且这一规律在C-2位具有氟取代的类似物上同样适 用[54]. 除大环内酯类结构中德胺糖的氮原子与细菌核糖体结构域V结合外, 那非霉素独特的侧链结构能与细菌核糖体结构域II结合, 具有双重作用模式[54]. 近年来, 研究人员对那非霉素的成药性也开展了较为深入的研究. 那非霉素对CYP3A4的抑制作用较弱(在睾酮作用下那非霉素对CYP3A4的IC50大于300 μmol/L)[55]. 在高剂量那非霉素暴露中(200 mg/kg/day), 大鼠的肝脏没有表现出损伤迹象; 人体实验表明健康受试者进食或禁食条件下, 口服100~1200 mg的单次递增剂量以及每日一次600~1000 mg的多剂量给药是安全的, 并且研究表明那非霉素可以通过肝脏和肾脏清除, 有助于提升其安全性[55-56].
图7 那非霉素结构

Figure 7 Structure of nafithromycin

研究人员开发了C-11位直接连接侧链的14元酮内酯化合物. 其中, C-12位为羟基的11-O-氨基甲酰基克拉霉素酮内酯, 相较于克拉霉素和阿奇霉素, 在抗菌活性方面有一定提升; 具有氯苯基、二硝基苯基、2-氨基- 4-硝基苯基以及2-(4-氯苯基)乙烯基取代的化合物, 对红霉素mefA耐药的肺炎链球菌A22072的抗菌活性, 相较于阿奇霉素和克拉霉素均提高4~8倍(MIC均为0.5 μg/mL)[57]. 马淑涛课题组[58]的后续研究中, 在C-11位侧链中引入了丙炔酰胺, 相较于酰胺连接的化合物, 该类化合物具有更强的抗菌活性, 并且侧链末端具有较大取代基时有利于提升化合物的抗菌活性. 但上述针对C-11位的修饰, 均未能解决耐药金黄色葡萄球菌的问题.
1,2,3-三唑结构对化合物的抗菌活性有显著影响. 相较于阿奇霉素和克拉霉素, 4-正戊基苯基取代的化合物5a(图8)对耐甲氧西林金黄色葡萄球菌ATCC43300以及耐青霉素金黄色葡萄球菌ATCC31007的抗菌活性均提高16倍以上(化合物5a的MIC均为16 μg/mL, 对克拉霉素、阿奇霉素的MIC均大于256 μg/mL)[59]. 相较于阿奇霉素和克拉霉素, 4-联苯基取代的化合物5b(图8)对ermB以及mefA耐药肺炎链球菌AB11的抗菌活性分别提高16倍和8倍; 对ermB耐药的肺炎链球菌B1和临床分离的红霉素耐药化脓链球菌R1抗菌活性均提高16倍[60]. 初步阐明了这类含三唑结构化合物的构效关系: C-11位侧链上的芳基及吸电子基团对提高抗菌活性有利, 三唑基团上的烷基取代可以使化合物具有更高抗菌活性, 并且直链烷烃比支链烷烃更有利于化合物抗菌活性的提升[60]. 分子对接模拟显示, 化合物中的三唑结构与23S rRNA的A752和U790之间形成了氢键, 这可能是其活性提高的原因[60]. 但上述在C-11位引入三唑结构的化合物, 抗菌活性均处于较低水平, 提示其结构仍需进一步优化.
图8 化合物5a和5b结构

Figure 8 Structures of compounds 5a and 5b

2.1.3.2 9位修饰酮内酯

前期的研究表明, C-9位肟羟基以丙烯基修饰, 烯烃末端连接3-喹啉基, 可以增强酮内酯的抗菌活性[61]. 基于这一研究思路, 研究人员进一步将侧链中芳基部分替换为噻吩、吡啶或苯环等结构构成的联芳基, 设计并合成了化合物6a~6c(图9), 然而, 后续的抗菌活性测试结果显示, 此类针对C-9位侧链芳基的结构修饰对提高化合物的抗菌活性无效[61].
图9 化合物6a~6c结构

Figure 9 Structures of compounds 6a~6c

然而, 在C-9位引入炔丙基侧链时, 侧链末端连接4-异喹啉取代基的化合物7(图10)对erm基因编码的组成型MLSB耐药肺炎链球菌PU27 (MIC=0.064 μg/mL)、ermA基因编码的诱导型耐药金黄色葡萄球菌PU32 (MIC=0.032 μg/mL), 以及耐甲氧西林人葡萄球菌E3 (MIC=0.064 μg/mL)均表现出优越的抗菌活性[62]. 侧链具有丙炔基结构衍生物的构效关系研究表明: 刚性侧链相较于柔性侧链, 更有利于提升化合物的抗菌活性; 末端芳基为稠合双环时, 氮原子的位置会影响衍生物的抗菌活性, 而末端芳基为单芳环基时, 氮原子的位置对抗菌活性无显著影响[62]. 此外, 具有丙炔基侧链的衍生物相较于结构类似的丙基或丙烯基衍生物, 抗菌活性更优, 且其在侧链芳基部分的构效关系和结合模式均与丙烯基衍生物存在差异[62]. 分子对接结果显示, 丙烯基衍生物8(图10)可与细菌核糖体RNA的G2044形成氢键, 而丙炔基衍生物除与C2421形成氢键外, 还能与A2045产生疏水堆积效应[62]. 这类在C-9位引入炔烃侧链的化合物, 虽在对部分诱导型、组成型耐药菌的抗菌活性上有一定提升, 但对组成型金黄色葡萄球菌的耐药问题仍未实现突破.
图10 化合物7和8结构

Figure 10 Structures of compounds 7 and 8

2.1.3.3 德胺糖修饰酮内酯

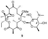
C-5位德胺糖是大环内酯类抗生素的药效团, 其结构直接影响该类抗生素的抗菌活性, 因此通过修饰德胺糖获得具有更高抗菌活性的新结构, 具有重要研究价值与吸引力. 但直接修饰德胺糖存在合成困难, 因此对其进行修饰时, 通常采用“先脱除C-5位德胺糖, 再在C-5位引入修饰后糖基结构”的策略, 以完成对该位点的修饰. 雷平生课题组[63]先通过反应条件温和的Swern氧化反应, 将糖上的2'-羟基氧化为羰基并完成脱糖, 随后在C-5位引入经修饰的糖基, 最终成功在14元大环内酯的C-4'引入苄基、羟基及烯丙基. 研究发现, C-4'为羟基的化合物9(图11)对耐甲氧西林的多种病原体展现出与泰利霉素相当的抗菌活性, 而引入苄基或烯丙基的化合物抗菌活性较差[63]. 推测这种抗菌活性差异源于C-4'的羟基增强了与核糖体的结合作用[63].
图11 化合物9结构

Figure 11 Structure of compound 9

雷平生课题组[64]在德胺糖C-4'位引入氨基甲酸酯侧链, 制备得到了化合物10(图12). 该化合物对甲氧西林敏感的金黄色葡萄球15 (MIC=1 μg/mL)的抗菌活性与泰利霉素(MIC=2 μg/mL)类似, 但是针对耐药菌, 其抗菌活性相较于泰利霉素并无优势[64]. 雷平生课题 组[64]认为C-4'连接的侧链长度对抗菌活性存在影响, 具有适当长度的侧链可能会通过伸入肽基转移酶中心干扰蛋白质合成, 从而发挥抗菌作用.
图12 化合物10和11a~11e的结构

Figure 12 Structures of compounds 10 and 11a~11e

在后续研究中, 该团队进一步尝试在C-4'引入三唑基团, 再连接吡啶、苯基或烷基等基团, 制备得到了化合物11a~11e(图12). 这类化合物抗菌活性较差, 推测可能是由于三唑基团的引入, 影响了德胺糖与核糖体之间的相互作用[65].
研究人员也在C-6'进行了一些尝试, 通过引入乙酰基、左旋基团、芳基或甲基等基团, 制备得到了C-6'修饰的14元大环内酯类衍生物[66]. 在后续研究中, 对C-6'乙酰基修饰的化合物12a(图13)进行了表征, 结果显示其对耐甲氧西林金黄色葡萄球菌13-22的抗菌活性高于对照药克拉霉素(化合物12a MIC=16 μg/mL, 克拉霉素MIC>128 μg/mL), 并且具有苯甲酰取代的化合物12b (MIC=8 μg/mL)抗菌活性优于乙酰基取代的化合物12a[67]. 研究发现, C-6'醚修饰对提高抗菌活性无效, 而酯修饰则有利于抗菌活性提升, 推测可能是因为酯基能为化合物与核糖体靶点之间提供新的作用力[67].
图13 化合物12a~12b结构

Figure 13 Structures of compounds 12a~12b

近几年, 对于酮内酯C-5位德胺糖的修饰研究较少, 且涉及的结构往往不具有较高抗菌活性. 在未来研究中, 提升这类结构的抗耐药菌活性, 需以新设计思路来突破瓶颈.

2.1.3.4 其余位点修饰酮内酯

对于酮内酯类抗生素, 除了上述较为常见的修饰位点外, 近年来也出现了针对C-10位的修饰研究. 例如, 在克拉霉素C-10位引入苄氨苯基得到的化合物13(图14)对mef基因编码的耐药肺炎链球菌BAA1402 (化合物13 MIC<0.007 μg/mL, 克拉霉素MIC=2 μg/mL)和mef基因编码的耐药金黄色葡萄球菌BAA976 (化合物13 MIC=0.5 μg/mL, 克拉霉素MIC=64 μg/mL)的抗菌活性相较于克拉霉素均有明显提高[68].
图14 化合物13~15结构

Figure 14 Structures of compounds 13~15

在后续研究中, 研究人员在C-10位引入含烯基的侧链制备得到的化合物14(图14)对mef基因编码的肺炎链球菌BAA1402、mef基因编码的金黄色葡萄球菌BAA976及诱导型erm基因编码的金黄色葡萄球菌BA977的抗菌活性均高于克拉霉素(表3)[69]. 值得关注的是, 在C-10位引入三唑和苯环构成的侧链制备得到的化合物15(图14)对组成型erm耐药的金黄色葡萄球菌ND048910具有抗菌活性(MIC=0.5 μg•mL-1), 但该化合物对敏感的金黄色葡萄球菌ATCC29213及敏感的肺炎链球菌ATCC4961活性完全丧失(MIC均大于64 μg• mL-1)[69].
表3 化合物14的部分抗菌活性

Table 3 Antibacterial activity of compound 14

Strain Resistance phenotypes (genotypes) MIC/(μg•mL-1)
14 Clarithromycin
Streptococcus pneumoniae BAA1402 M (mef) 0.03 2
Staphylococcus aureus BAA976 M (mef) 0.03 64
Staphylococcus aureus BA977 iMLS (erm) 0.03 >64
酮内酯类抗生素由于克拉定糖的脱除和侧链的引入, 成功突破了诱导型、外排型耐药菌的问题; 部分化合物还因结合位点的创新, 对组成型肺炎链球菌及组成型化脓链球菌的抗菌活性也有显著提升. 然而, 在目前的酮内酯类抗生素研究中, 尚未出现能解决组成型金黄色葡萄球菌耐药问题, 同时又能保持对敏感菌抗菌活性的新结构. 因此, 亟需探索新位点和新机制, 为后续的结构修饰提供有效指导.

2.2 非酮内酯

除上述的酮内酯结构外, 近几年对C-3位进行修饰的非酮内酯结构也取得了诸多突破. 根据结构修饰的不同, 非酮内酯化合物可划分为酰内酯、氨基甲酸酯和烃基内酯等. 2013年以前, 也有关于双环内酯和脱水内酯等结构的研究[24], 但由于双环内酯的合成难度大, 脱水内酯的抗菌活性无显著优势等问题, 这些结构在近年来的研究较少, 在本文中不对其展开论述.

2.2.1 酰内酯(Acylide)

2001年, Tanikawa等[70]制备了一系列C-3位以酰基取代物代替克拉定糖的大环内酯衍生物, 并将其命名为“酰内酯”. 他们研究发现, 去除克拉定糖会导致大环内酯的抗菌活性完全丧失, 但引入特定的取代基后, 抗菌活性会显著提升[70]. 在他们制备的一系列化合物中, TEA0777(图15)是最成功的一个. 体外实验表明, TEA0777对MLSB耐药的金黄色葡萄球菌B1 (MIC=0.39 μg/mL)和外排型肺炎链球菌210 (MIC=0.20 μg/ mL)均具有较高活性; 小鼠体内实验表明, 其对敏感的金黄色葡萄球菌感染的治疗效果与克拉霉素类似[70].
图15 TEA0777和FMA0122的结构

Figure 15 Structures of compounds TEA0777 and FMA0122

2003年, Tanikawa等[71]TEA0777的结构进行了进一步衍生, 得到化合物FMA0122(图15), 成功解决了TEA0777对流感嗜血杆菌无效的问题(流感嗜血杆菌ATCC43095: TEA0777 MIC=50 μg/mL, FMA0122 MIC=0.78 μg/mL). 在后续研究中, 酰内酯结构得到不断优化, 部分优化后的结构对低水平、高水平泰利霉素耐药的肺炎链球菌也表现出显著活性[72]. 2013~2024年间, 针对酰内酯类化合物的研究取得了丰硕成果.

2.2.1.1 C-11,12为碳酸酯的酰内酯

以碳酸酯保护羟基是大环内酯C-11,12位修饰的常用手段. C-3位为吡啶乙酰基取代, 且C-9位通过肟醚连接烯基或炔基, 再连接异喹啉的14元酰内酯(图16, 化合物16~19), C-3位的2-吡啶乙酰基取代相较于3-吡啶乙酰基取代, 对提高化合物的抗菌活性更有效, 但这些化合物的抗菌活性均不及泰利霉素[61].
图16 化合物16~20的结构

Figure 16 Structures of compounds 16~20

在此研究基础上, 研究人员保持C-3位的2-吡啶乙酰基不变, 进一步探究C-9位的修饰. 构效关系表明, C-9位侧链为炔丙基时, 相较于烯丙基和丙基, 其抗菌活性更能得到有效提升; 侧链末端为氨基吡啶基或氨基甲酰基吡啶基, 对提高抗菌活性更有效[73]. 化合物20(图16)相较于泰利霉素, 对诱导型erm耐药的化脓链球菌01-968(化合物20 MIC=0.031 μg/mL, 泰利霉素 MIC=0.062 μg/mL)具有更高的抗菌活性, 但对流感嗜血杆菌11P037 (MIC=8 μg/mL)的抗菌活性较差, 对组成型金黄色葡萄球菌PU20 (MIC=256 μg/mL)则完全无效[73]. 分子对接结果表明, C-9位的氨基甲酰基与G2061的磷酸氧原子之间形成了氢键, 且C-3位的吡啶基与A2062的腺嘌呤之间存在π-π堆积作用[73].
2017年梁建华课题组[74]研究发现, 酰内酯C-3位的立体构型对抗菌活性有较大影响. 以天然S构型连接酰基侧链的化合物(图17, 化合物21)抗菌活性优于非天然R型化合物(图17, 化合物22)[74]. 分子对接结果显示, C-3构型的改变会直接导致侧链方向变化, 进而降低化合物与靶点的结合作用[74]. 该课题组研究发现, C-3和C-6双位点修饰得到的化合物23(图17), 相较于仅C-3位修饰的化合物22, C-6位侧链的引入显著增强了抗菌活性(对卡他莫拉菌13L332: 化合物23 MIC=0.5 μg/mL, 化合物22 MIC=32 μg/mL), 表明合理的双位点修饰相较于单位点修饰具有明显优越性[74].
图17 化合物21~23的结构

Figure 17 Structures of compounds 21~23

2.2.1.2 C-11,12为氨基甲酸酯的酰内酯

相较于碳酸酯结构, C-11,12为氨基甲酸酯时大环内酯结构更加稳定. 2017年报道的C-3位含甲氧基亚胺基团的酰内酯化合物24(图18)对ermB基因编码的肺炎链球菌(MIC=0.5~4 μg/mL)和ermB基因编码的化脓性链球菌(MIC=2~8 μg/mL)均具有较高活性[75]. Sugiyama等[75]认为, 化合物24的3-O-酰基侧链的刚性有利于化合物与作用位点G2505/C2610结合, 进而提高抗菌活性. 此外, 相较于仅C-3位修饰的化合物27(图18)和24,化合物2526(图18)对ermB编码的肺炎链球菌ATCC700904的抗菌活性有明显提升(27 MIC=64 μg/mL, 25 MIC=1 μg/mL, 24 MIC=2 μg/mL, 26 MIC=0.5 μg/mL)[75], 再次印证了双侧链结构的优越性.
图18 化合物24~27的结构

Figure 18 Structures of compounds 24~27

2.2.1.3 C-11,12为羟基的酰内酯

C-3位引入3-吡啶乙酰基的同时, 在C-11位引入芳烷基氨基甲酰基侧链的化合物28(图19)相较于克拉霉素, 对mefA基因编码的耐药肺炎链球菌A22072及ermB基因编码的耐药肺炎链球菌B1的抗菌活性均提高8倍, 对mefA和ermB基因编码的耐药肺炎链球菌AB11的抗菌活性提高32倍; 但该化合物对红霉素耐药的化脓链球菌R1完全丧失抗菌活性(MIC=128 μg/mL)[58]. 构效关系表明, 在C-11位侧链末端引入较大基团, 对提高化合物的抗耐药菌活性更有效; 当C-11位具有相同侧链时, C-3位为吡啶基乙酸酯的化合物活性高于C-3位为羰基的化合物[58]. 进一步研究表明, 同时修饰C-3与C-11可明显提高化合物对耐药菌的活 性[58].
图19 化合物28的结构

Figure 19 Structure of compound 28

2.2.2 氨基甲酸内酯(Carbamolide)

相较于酰基, 氨基甲酰基具有更高的化学稳定性, 凭借这一优势, 近年来围绕氨基甲酸内酯结构的研究也较多. 2013年, Magee等[33]报道了一系列3-O-氨基甲酰基红霉素衍生物(图20A), 其中吡咯基团2位为R构型苯基取代的化合物29a对MLSB耐药的肺炎链球菌1243-00和MLSB耐药的化脓链球菌1304-00的抗菌活性相较于克拉霉素有显著提高, 并且其活性明显高于具 有S构型的化合物29b(表4)[33]. 此外, 化合物29c对cfr基因编码的金黄色葡萄球菌2111-10、1281-07及1279- 07 (MIC均为0.125 mg/L)均具有较高活性[33]. 值得注意 的是, 化合物29d侧链吡咯上的芳基与G2484 (G2505) (耐辐射奇球菌编号, 括号内为大肠杆菌编号)形成了额外的堆叠作用(图20B), 这是一种新的作用模式[33].
图20 (A)化合物29a~29d结构及(B)化合物29d与D50S结合的X射线晶体结构(黄色结构为化合物29d(PDB: 4IO9))[33]

Figure 20 (A) Structures of compounds 29a~29d, and (B) X-ray crystal structure of compound 29d bound to D50S (The yellow structure is compound 29d (PDB: 4IO9))[33]

表4 化合物29a和29b的部分抗菌活性

Table 4 Antibacterial activity of compounds 29a and 29b

Strain Resistance phenotypes MIC/(mg•L-1)
29a 29b Clarithromycin
Streptococcus pneumoniae 1243-00 MLSB 0.5 64 >64
Streptococcus pyogenes 1304-00 MLSB 0.5 32 >64
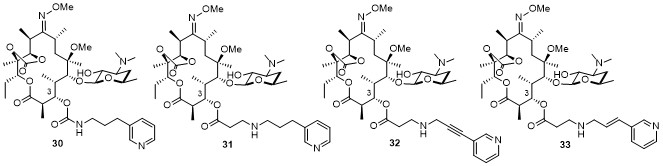
2019年被报道的C-3氨基甲酰基连接全碳链后再连接吡啶结构的化合物30(图21), 对肺炎链球菌ATCC49619(化合物30 MIC=0.06 μg/mL, 泰利霉素MIC=0.03 μg/mL)及mef基因编码的肺炎链球菌PU09 (化合物30 MIC=0.5 μg/mL, 泰利霉素MIC=0.5 μg/mL)具有与泰利霉素类似或更优的抗菌活性, 但是化合物30对组成型金黄色葡萄球菌PU20无活性(MIC>256 μg/mL)[76]. 此外, 相较于泰利霉素, 化合物30的半衰期提高2.4倍, 清除率降低7.2倍, 平均驻留时间提高1.4倍, 峰浓度提高5.0倍(表5). 化合物30的代谢较泰利霉素更稳定, 能够避免因代谢不稳定引发的药物安全性问题[76]. 对于诱导型ermA耐药的化脓链球菌01-968, C-3侧链为丙烷基的化合物31(图21, MIC=0.5 μg/mL)的抗菌活性优于丙炔基取代的化合物32(图21, MIC=8 μg/mL)和丙烯基取代的化合物33(图21, MIC=8 μg/mL)[76]. 研究还发现, 化合物含柔性连接子有利于提升抗菌活性, 并且连接子最佳长度为5原子长度(自3位O原子后起)[76].
图21 化合物30~33的结构

Figure 21 Structures of compounds 30~33

表5 化合物30的部分药代动力学数据[76]

Table 5 Pharmacokinetic data of compound 30

Compd. Clearance/(mL•h-1•kg-1) t1/2/h Mean resident time/h cmax/(ng•mL-1)
30 3034±600 2.9±0.4 4.5±0.6 1029±115
Telithromycin 21758±2748 1.2±0.3 3.3±0.5 204±20.5
除上述成果外, 在C-3位引入烷基氨基甲酰基侧链, 同时在C-9位引入肟醚连接2-氯苄基的结构修饰, 同样能显著提高化合物的抗菌活性. 例如, 化合物34(图22)相较于仅C-3位为羟基的化合物35(图22), 其对mefA编码的耐红霉素肺炎链球菌A22072的抗菌活性提高32倍(化合物34 MIC=0.125 μg/mL, 化合物35 MIC=4 μg/mL), 对红霉素耐药的化脓链球菌2的抗菌活性提高16倍(化合物34 MIC=8 μg/mL, 化合物35 MIC=128 μg/mL)[77], 这表明C-3位烷基氨基甲酰基侧链取代对提升化合物的抗菌活性具有重要意义.
图22 化合物34和35的结构

Figure 22 Structures of compounds 34 and 35

马淑涛课题组[78]在阿奇霉素的C-3位引入了芳烷基氨基甲酰基侧链. 分子对接结果显示, 该侧链与核糖体结构域V发生相互作用, 使化合物与核糖体具有更高的结合力[78]. 抗菌活性数据的提升也印证了这一点, 化合物3637(图23)对红霉素耐药的化脓链球菌R1的抗菌活性, 相较于阿奇霉素分别提高8倍和32倍[78].
图23 化合物36~38结构

Figure 23 Structures of compounds 36~38

在阿奇霉素C-3位引入芳烷基氨基甲酰基侧链, 展现的抗菌优势启发了科研人员对C-3位侧链进行进一步的探索. 研究发现, 在C-3位引入含1,2,3-三唑的氨基甲酰基侧链, 可以有效提高化合物的抗菌活性, 且该侧链的烷基链越长, 对提高化合物的抗菌活性越有利[79]. 分子对接结果显示, 含1,2,3-三唑的氨基甲酰基侧链, 相较于烷氧基、卤素、硝基和氨基具有适当的长度与柔韧性, 更易与结构域II中的A752形成相互作用[79]. 同时, 亲脂性随着侧链长度的增加而增加, 具有较高亲脂性的化合物更易进入细菌核糖体, 进而具有更高的抗菌活性[79]. 研究表明, 带有这种侧链的化合物38(图23)是一种抑菌剂, 其对甲氧西林耐药金黄色葡萄球菌ATCC43300(化合物38 MIC=16 μg/mL, 阿奇霉素 MIC>256 μg/mL)和青霉素耐药金黄色葡萄球菌PR(化合物38 MIC=16 μg/mL, 阿奇霉素MIC>256 μg/mL)的抗菌活性相较于阿奇霉素提高16倍[79]. 但该系列化合物的抗菌活性均处于较低水平, 其结构仍需进一步优化.

2.2.3 烃基内酯(Alkylide)

在大环内酯的结构优化中, C-3位连接烃基相较于酯基可能具有更出色的代谢稳定性. 基于此, 研究人员对一系列C-3位侧链为炔烃、烯烃及烷基的衍生物进行了探索[80], 旨在进一步挖掘具有潜在价值的化学结构.
梁建华课题组[61]对C-3位连接含有烯烃、炔烃侧链的化合物的作用模式进行探究. 研究表明, 化合物39a39b(图24)的侧链取向与克拉霉素相同, 指向大环内酯类的亲水侧, 化合物39c39d(图24)侧链指向大环内酯类的疏水侧, 这种侧链取向不同直接导致了化合物抗菌活性的差异[61].
图24 化合物39a~39d和40的结构

Figure 24 Structures of compounds 39a~39d and 40

在阿奇霉素C-3位引入氨基硫脲侧链(该侧链可以增强化合物与核糖体碱基之间的π-π相互作用)得到的化合物40(图24), 对外排型耐药肺炎链球菌B0326和粪肠球菌ATCC29212具有较高活性, 其MIC值均小于0.125 μg/mL, 但是该化合物对组成型金黄色葡萄球菌B0330无效(MIC>64 μg/mL)[81].

2.2.4 非酮内酯的糖基修饰

2.2.4.1 非酮内酯克拉定糖修饰

在早期的研究中, 研究人员认为C-3位克拉定糖的存在对抗菌活性有很大影响[40], 因此, 科研人员尝试对克拉定糖进行修饰, 以提升化合物的抗菌活性. 此前研究中, 马淑涛课题组[82]在C-4''以氨基甲酰基连接烷基侧链得到的化合物对erm及mef编码的耐药菌活性有明显提高, 表明对C-4''的合理修饰能够有效增强抗菌活性. 此外, 还有大量研究以醚烃、酯基或酰基等作为连接基团对C-4''进行修饰.
以糖基作为连接基团是一个具有吸引力的思路, 糖基上的羟基能提供更多与作用位点结合的可能性. 其中, 雷平生课题组[83]合成的糖基取代基上含两个裸露羟基的化合物41(图25)与含一个裸露羟基的化合物42(图25), 对耐甲氧西林表皮葡萄球菌12-4的抗菌活性高于克拉霉素, 与泰利霉素相当(表6)[83]. 作者认为, 结构中4'''-OH的体积小, 更易进入结合口袋, 并且4'''-OH有形成额外氢键的可能性.
图25 化合物41和42的结构

Figure 25 Structures of compounds 41 and 42

表6 化合物41和42的部分抗菌活性

Table 6 Antibacterial activity of compounds 41 and 42

Strain Resistance phenotypes MIC/(μg•mL-1)
41 42 Telithromycin Clarithromycin
Staphylococcus epidermidis 12-4 MRSEa 4 8 ≤2 32
Staphylococcus epidermidis 12-11 MRSE 2 ≤1 ≤2 4

a MRSE: Methicillin-Resistant Staphylococcus epidermidis

前期研究表明, 阿奇霉素C-4''位连接特定的糖基, 对提高化合物的抗耐药菌活性有利[84]. 基于此, 研究人员在阿奇霉素的克拉定糖4''位引入酰胺连接的糖基, 结果表明, 具有二糖侧链的化合物相较于含有一个糖基侧链的化合物, 抗菌活性更低, 可能因为取代基体积过大, 影响了化合物与细菌核糖体结合[85]. 其中, 含单糖取代侧链的化合物43(图26)对肺炎链球菌943及746的抗菌活性相较于阿奇霉素均提高4倍, 对金黄色葡萄球菌MRSA-1的抗菌活性与阿奇霉素相当(表7)[85]. 综上所述, 以糖基作为取代基制备的化合物在提高抗耐药菌活性方面并无显著优势.
图26 化合物43的结构

Figure 26 Structure of compound 43

表7 化合物43的部分抗菌活性

Table 7 Antibacterial activity of compound 43

Strain Resistance phenotypes MIC/(μg•mL-1)
43 Azithromycin
Streptococcus pneumoniae 943 Sensitive 1 4
Streptococcus pneumoniae 746 Sensitive 2 8
MRSA-1 MRSAa 16 16

a MRSA: Methicillin-Resistant Staphylococcus aureus

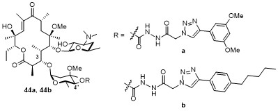
在克拉定糖C-4''引入氨基甲酰基连接的三唑结构侧链后, 化合物的抗菌活性明显提升. 其中, 化合物44a(图27)对ermB和mefA基因编码的肺炎链球菌ER-2的抗菌活性相较于阿奇霉素提高256倍, 相较于克拉霉素提高128倍, 但该化合物的抗菌活性仍处于较低水 平[86]. 对含有C-4''三唑结构化合物的成药性研究显示, 化合物44b(图27)通过抑制细菌增殖发挥抗菌作用, 且在有效抗菌浓度下无毒, 同时具有快速杀菌效果[86].
图27 化合物44a和44b结构

Figure 27 Structures of compounds 44a and 44b

在阿奇霉素C-4''引入氨基甲酰基连接烯烃再连接噻吩制备的化合物45(图28), 对mefA编码的耐药肺炎链球菌A22072(化合物45 MIC=0.015 μg/mL, 红霉素 MIC=8 μg/mL, 阿奇霉素MIC=4 μg/mL)的抗菌活性, 相较于红霉素和阿奇霉素分别提高512和256倍, 但是其对红霉素耐药的化脓链球菌R2 (MIC≥128 μg/mL)无效[87]. 在后续研究中, 将侧链烯基替换为三唑基团, 其中C-11,12位为羟基的化合物46(图28)对ermB基因编码的耐药肺炎链球菌B1 (MIC=0.5 μg/mL)、mefA基因编码的耐药肺炎链球菌A22072 (MIC=0.25 μg/mL)及ermB、mefA基因编码的耐药肺炎链球菌AB11 (MIC=0.25 μg/mL)均表现出较高活性, 但其对红霉素耐药的化脓链球菌R2 (MIC=64 μg/mL)仍然无效[88].
图28 化合物45~47结构

Figure 28 Structures of compounds 45~47

同样, 在C-4''以氨基甲酰基连接苯并硼氧杂环制备的化合物47(图28), 对化脓链球菌ATCC19615 (MIC≤0.12 μg/mL)和痤疮丙酸杆菌ATCC6919 (MIC=0.25 μg/mL)表现出高活性[89]. 研究表明, 苯并硼氧杂环的引入会降低化合物对革兰氏阴性菌的活性; 而C-11,12位环碳酸酯结构有利于提高化合物对肺炎链球ATCC- 49619和屎肠球菌株的抗菌活性; 此外, 引入更长侧链对提升化合物对革兰氏阴性菌的抗菌活性有利[89]. 翻译抑制报告基因的诱导作用实验表明, 这类苯并硼氧杂环衍生物与阿奇霉素的作用模式一致, 均是在核糖体的新生肽通道阻断新生肽, 并没有新的作用模式[89].
近年来, 对于非酮内酯双侧链修饰化合物的研究愈发深入. 研究人员在C-11位引入氨基甲酰基连接芳基的侧链, 同时在C-4''位引入双酰胺侧链制备的化合物48(图29), 对erm编码的耐药肺炎链球菌B1、mef基因编码耐药肺炎链球菌A22072及erm和mef编码的耐药肺炎链球菌AB11的抗菌活性, 相较于母体结构阿奇霉素均有显著提高(表8), 但是该化合物对耐药金黄色葡萄球菌活性较差[90].
图29 化合物48~50的结构

Figure 29 Structures of compounds 48~50

表8 化合物48的部分抗菌活性

Table 8 Antibacterial activity of compound 48

Strain Resistance genotypes MIC/(μg•mL-1)
48 Azithromycin
Streptococcus pneumoniae B1 erm 0.25 128
Streptococcus pneumoniae AB11 mef, erm 2 256
Streptococcus pneumoniae A22072 mef 0.03 4
与化合物48具有类似结构的化合物49(图29)对ermB基因编码的耐药肺炎链球菌B1表现出较高活性(MIC=0.5 μg/mL), 相较于对照药阿奇霉素(MIC=128 μg/mL)提高256倍, 但是其对红霉素耐药的化脓链球菌R2 (MIC=32 μg/mL)的抗菌活性较差[87].
之后马淑涛课题组[88]的研究再次证实了C-11位与C-4''位双侧链修饰的优势, 所有双侧链化合物对敏感菌和耐药菌表现出有效且均衡的抗菌活性. 其中, 化合物50(图29)对ermB基因编码的肺炎链球菌B1 (MIC=0.06 μg/mL)、mefA基因编码的肺炎链球菌A22072 (MIC=0.03 μg/mL)及ermB、mefA基因编码的肺炎链球菌AB11 (MIC=0.125 μg/mL), 均具有较高活性[88]. 研究还发现, C-11侧链末端具有甲氧基苄基的化合物的抗菌活性优于侧链末端为苄基的化合物, 推断是侧链末端的甲氧基苄基与A752之间产生了相互作用, 从而增强了化合物与核糖体的结合力[88].
除氨基甲酰基外, 研究人员还将化学稳定性更高的醚烃引入C-4''位点. Grgičević等[81]在阿奇霉素C-4''引入醚烃连接的侧链, 得到了化合物51(图30). 该化合物对外排型耐药的肺炎链球菌B0326 (MIC<0.125 μg/mL)及耐药金黄色葡萄球菌B0331 (MIC=4 μg/mL)表现出良好的抗菌活性, 对流感嗜血杆菌ATCC49247 (MIC=8 μg/mL)表现出中等抗菌活性. 分子对接结果表明, 这类化合物的氨基硫脲侧链与核糖体之间可能存在氢键作用, 有助于增强化合物与核糖体的结合能力, 进而提高抗菌活性[81].
图30 化合物51的结构

Figure 30 Structure of compound 51

通过连接子将两种药物结构连接制备的杂合物, 在理论层面具备多重优势: 相较于联合用药, 单一杂合物分子药代性质单一, 能够避免复方中不同药物药代性质无法协同的弊端[91]. 更为重要的是, 这类杂合物很有可能展现出双重作用模式, 进而增强抗菌活性, 为抗菌治疗带来新的突破.
将阿奇霉素与糖肽连接起来制备的化合物52(图31)对耐万古霉素的屎肠球菌569具有中等活性(化合物52 MIC=8 μg/mL, 万古霉素 MIC>32 μg/mL); 体内实验表明, 化合物52 [半数有效剂量(ED50)=4.7 mg/kg]治疗金黄色葡萄球菌感染的败血症小鼠的效力与万古霉素(ED50=4.2 mg/kg)相当; 但双基因报告显示化合物52可能不具有双重作用机制, 因此该化合物是否具有双重作用模式仍需进一步验证[92].
图31 化合物52结构

Figure 31 Structure of compound 52

将氯霉素和甲硝唑半琥珀酸酯分别通过连接子连接到阿奇霉素的C-4''位, 所得杂合物对肺炎链球菌的抗菌活性均低于阿奇霉素, 但高于氯霉素和甲硝唑半琥珀 酸酯[93]. 其中, 阿奇霉素与甲硝唑半琥珀酸酯构成的杂合物53(图32), 对金黄色葡萄球菌的抗菌活性比阿奇霉素与氯霉素构成的杂合物54(图32)高4倍, 杂合物53与核糖体具有更高的结合效力也印证了这一点[93]. 机制研究表明, 这两类杂合物主要以抑制蛋白质合成为作用模式, 且在翻译过程中导致核糖体过早停滞, 可以防止药物在某些致病细菌中诱导出大环内酯耐药表型[93], 为未来解决耐药问题提供了研究思路.
图32 化合物53和54的结构

Figure 32 Structures of compounds 53 and 54

上述针对克拉定糖修饰的非酮内酯, 在提高诱导型及部分组成型耐药菌的抗菌活性方面有了一定的改善, 但需指出的是, 目前尚未发现具有高活性抗组成型金黄色葡萄球菌的非酮内酯结构.

2.2.4.2 非酮内酯德胺糖修饰

大环内酯类抗生素C-5位连接的德胺糖是该类抗生素药效团结构之一. 已有研究表明, 对德胺糖进行合理的结构修饰可有效提升大环内酯类抗生素的抗菌活性.
Janas等[94]通过在德胺糖的N原子上引入取代基并进行季铵化修饰, 成功合成了化合物55(图33). 该化合物对肺炎链球菌49619的MIC为0.5 μg/mL, 对化脓性链球菌临床分离株MIC为0.25 μg/mL, 这可能是因为该化合物具有合适长度和体积的取代基, 使化合物与G2484(耐辐射奇异球菌编号)之间形成了π-π堆积作 用[94]. 此外, 细胞毒实验显示化合物55的细胞毒性[IC50=(67.11±0.75) μmol/L]较红霉素[IC50=(26.19± 0.21) μmol/L]和克拉霉素[IC50=(20.02±0.34) μmol/L]低3倍[94]. 构效关系研究表明, 氮原子上具有不饱和且相对较小的取代基(烯丙基、炔基等)有利于增强化合物的抗菌活性, 而氮原子的季铵化修饰可以促进化合物与靶点的结合[94].
图33 化合物55和56的结构

Figure 33 Structures of compounds 55 and 56

除此之外, 在C-2'连接带正电荷的3-聚-L-赖氨酸得到的化合物56(图33), 相较于红霉素对金黄色葡萄球菌(化合物56 MIC=1 μg/mL, 红霉素MIC=2 μg/mL)及粪肠球菌(化合物56 MIC=1 μg/mL, 红霉素MIC=4 μg/mL)的抗菌活性更优, 这是因为带正电的化合物56更易粘附在带负电的细菌上, 并形成局部高积累, 并且3-聚-L-赖氨酸也是一种具有抗菌活性的阳离子多肽, 可与大环内酯结构产生协同抗菌作用[95]. 安全性评价显示, 化合物56无溶血作用及细胞毒性, 具备良好的生物相容性; 进一步的传代实验证实, 与红霉素相比, 该化合物更能有效延缓耐药性的产生[95].
研究人员在阿奇霉素母体结构中的C-2'引入芳胺基甲酰基侧链, 成功制备化合物5758(图34). 抗菌活性测试显示, 相较于C-2'未引入该侧链的化合物, 化合物5758对大肠杆菌ATCC25922和铜绿假单胞菌ATCC27853的抗菌活性显著提升[78]. 结果表明, 在C-2'引入芳胺基甲酰基侧链, 可以有效增强化合物对革兰氏阴性菌的抗菌能力; 但需要注意的是, 上述化合物的抗菌活性仍仅达到与阿奇霉素相当的水平[78].
图34 化合物57和58结构

Figure 34 Structures of compounds 57 and 58

然而, 并非所有C-2'侧链修饰策略均有利于抗菌活性提升. 例如, Janas等[94]通过酯基连接在C-2'引入芳基三唑基侧链制备的化合物, 未显示出任何抗菌活性, 表明这种修饰对提高抗菌活性并无益处.
非酮内酯的C-5位德胺糖修饰化合物通常不具备优异的抗耐药菌活性. 对于该结构的抗耐药菌活性提升, 需要进一步从机制层面找寻新的化合物设计思路.

3 第四代大环内酯类抗生素

3.1 索利霉素

索利霉素(图35)是第四代大环内酯类抗生素的代表性化合物, 由Optimer公司合成, 后由Cempra公司获得授权开发[47]. 结构的关键创新在于引入C-2位氟原子, 该修饰可避免C-2位和C-3位烯醇式互变异构以维持活性构象, 增强索利霉素与靶点核糖体的结合力, 并有效改善药代动力学性质[96]. 作用机制上, 索利霉素除了作用于大环内酯类抗生素常规位点A2058/A2059外, 其侧链还与泰利霉素类似, 可与A752/U2609形成相互作用(图35), 且C-2氟原子与C2611的糖苷键也存在相互作用[96-97]. 在抗菌活性方面, 索利霉素对肺炎链球菌、金黄色葡萄球菌以及流感嗜血杆菌等具有比泰利霉素更优或类似的效果[98]. 索利霉素具有较好的药代动力学性质, 其口服生物利用度为67%, 半衰期为6~9 h[96]. 此外, 也有研究表明, 索利霉素相较于临床使用的大环内酯类抗生素对炎症因子NF-κB有更强的抑制作用, 具有更优的抗炎效果, 有望成为治疗炎症型呼吸道疾病的潜在药物[99].
图35 索利霉素结构及其与靶点A752的相互作用(绿色结构为索利霉素(PDB: 4WWW))[97]

Figure 35 Structure of solithromycin and its interaction with base A752 (The green structure is solithromycin (PDB: 4WWW))[97]

索利霉素11,12位的侧链具有三唑和苯胺结构, 该侧链与泰利霉素靶向相同的作用位点, 因此, 此类侧链是否会引发与泰利霉素类似的毒副作用, 是索利霉素需要论证的问题. Jamieson等[100]的研究显示, 索利霉素在健康及肝损伤患者中均具有良好的耐受性. MacLau- chlin等[101]的人体内研究表明, 索利霉素未引起死亡或严重不良反应等问题, 常见不良反应为腹泻. 然而, 在临床三期治疗社区获得性肺炎实验中, 部分索利霉素受试者出现了无症状、短暂的丙氨酸转氨酶升高, 且该现象在索利霉素受试者中的发生比例显著高于对照药物莫西沙星组. 鉴于此类副作用的临床特征尚未得到充分阐明, 美国食品药品监督管理局未批准索利霉素的新药上市申请[102].

3.2 新型第四代大环内酯抗生素

第四代大环内酯类抗生素的联芳基侧链结构靶向与泰利霉素相同的A752位点, 同时其独特的C-2位氟原子取代可以靶向新作用位点. 这种独特结构为解决耐药问题带来了新机遇, 使其在抗生素研究领域极具吸引力. 因此, 近年来科研人员围绕该类独特结构展开衍生, 进一步挖掘其应用潜力.

3.2.1 引入联芳基的侧链

Raj等[103]报道了与索利霉素结构类似的化合物59 (图36), 该化合物在体外对泰利霉素耐药肺炎链球菌3390NDDR具有较好的抗菌活性(化合物59 MIC=0.5 μg/mL, 泰利霉素MIC>16 μg/mL). 体内实验显示, 化合物59对泰利霉素耐药肺炎链球菌3390NDDR感染的小鼠具有体内疗效(50 mg/kg QID剂量下, 化合物59治疗的存活率为87.8%, 泰利霉素治疗的存活率为0%), 并且化合物59具有较高的生物利用度(85%)以及较低的血浆清除率(15.9 mL•min-1•kg-1)[103]. 化合物59与细菌核糖体之间的强结合力使其具有较强的抑制蛋白质合成作用, 该结合力强于其他大环内酯类抗生素, 推测其来源与索利霉素侧链的作用模式类似[103].
图36 化合物59结构

Figure 36 Structure of compound 59

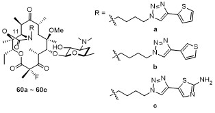
侧链中引入与索利霉素相同三唑结构的研究也在进一步推进. Daher等[104]在C-11位侧链引入三唑连接五元环结构, 制备了化合物60a~60c(图37), 其对耐药大肠杆菌菌株DK、DK3535以及DK2058G的活性与索利霉素相当, 其中含噻吩结构的化合物对鲍曼不动杆菌的抗菌活性比索利霉素高2~4倍, 但是这些化合物对耐药的金黄色葡萄球菌的抗菌水平较低[104]. 该团队后续研究发现, 含不饱和键的侧链对此类结构的抗菌活性有显著贡献[105].
图37 化合物60a~60c结构

Figure 37 Structures of compounds 60a~60c

该团队[105]后续引入含三唑基团的双侧链进行结构修饰, 在C-5位德胺糖的N原子上连接三唑基团, 再连接具有R构型的利奈唑胺, 得到了化合物61(图38), 其对耐甲氧西林金黄色葡萄球菌ATCC43300的抗菌效力是利奈唑胺的8倍(化合物61 MIC=0.8 μmol/L, 利奈唑胺 MIC=6 μmol/L), 是对应S构型化合物62的250倍(图38, 化合物62 MIC=200 μmol/L), 证明了噁唑烷酮部分立体构型的重要性[105]. 此外, 若在C-11位连接三唑与芳基形成侧链, 同时去除C-5位德胺糖, 所制备的化合物抗菌活性较差, 可能与失去德胺糖结构有关[105].
图38 化合物61和62结构

Figure 38 Structures of compounds 61 and 62

3.2.2 引入稠合芳基的侧链

除上述对双环结构进行替换的修饰策略外, 研究人员还将稠合芳基结构氨基喹啉引入C-11位侧链, 以探究其对抗菌活性的影响. 雷平生课题组[50]于2018年报道的一系列化合物中, 含喹啉侧链的化合物63a63b(图39)对肺炎链球菌ATCC29213、表皮葡萄球菌ATCC12228及化脓链球菌12-8表现出了与泰利霉素类似的抗菌活性, 并且具有比泰利霉素更高的抗革兰氏阴性菌活性.
图39 化合物63a和63b结构

Figure 39 Structures of compounds 63a and 63b

后续研究表明, 与泰利霉素相比, 4-氨基喹啉的乙酰化使其对肺炎链球菌、金黄色葡萄球菌的抗菌活性分别提升2和4倍. 构效关系显示, 在氨基喹啉侧链引入体积较大的基团, 不利于抗菌活性提高[106]. 化合物64(图40)对化脓链球菌12-1 (MIC=2 μg/mL)的抗菌活性较泰利霉素(MIC=64 μg/mL)提高32倍, 推测是由于其柔性烷基链与核糖体之间形成了新结合位点所致[106].
图40 化合物64结构

Figure 40 Structure of compound 64

泰利霉素与索利霉素C-11位侧链中的联芳基结构与其化合物毒副作用的关系尚不明确, 因此将该结构替换成其他结构以规避潜在的不利影响, 是一个可行的研究思路. 司书毅课题组[107]制备的化合物65a(图41)对红霉素耐药的表皮葡萄球菌(19-4、19-6、19-9、19-11)及红霉素耐药的肺炎链球菌(SPN-19-8、SPN-19-13)均具有较好的抗菌活性(MIC均小于0.03 μg/mL)[107]. 相较于未取代的化合物, C-2位氟取代更有利于提高抗耐药菌活性; 邻、间、对甲基取代, 间、对氟取代及间甲硫基取代的苯环或者稠合芳基结构, 均对提高化合物抗菌活性有利[107]. 并且, 通过分子对接模拟发现, 化合物65b(图41)侧链的取向与索利霉素类似, 且侧链上的氨基甲酰基结构与核糖体之间形成了新的氢键作用[107].
图41 化合物65a和65b结构

Figure 41 Structures of compounds 65a and 65b

研究表明, C-2氟原子取代有利于提高C-9位丙炔基肟修饰衍生物的抗菌活性, 但不利于提高C-9位丙烯基肟修饰衍生物的抗菌活性[74]. 具有C-2位氟化的C-9丙炔基肟衍生物66(图42)对mef基因编码的肺炎链球菌PU09、诱导型erm基因编码的化脓链球菌01-968及mef基因编码的化脓链球菌12-207等革兰氏阳性菌, 具有与泰利霉素类似的抗菌活性(表9), 但是C-2位氟取代未能使其对革兰氏阴性菌产生显著活性[74].
图42 化合物66结构式

Figure 42 Structure of compound 66

表9 化合物66的抗菌活性

Table 9 Antibacterial activity of compound 66

Strain Resistant determinants MIC/(μg•mL-1)
66 Telithromycin
Streptococcus pneumoniae PU09 PSSP,a mef 0.25 0.25
Streptococcus pyogenes 01-968 i-erm 0.062 0.062
Streptococcus pyogenes 12-207 mef 0.031 0.5

a PSSP: Penicillin-Susceptible Streptococcus pneumoniae

近年关于第四代大环内酯的研究较多, 这一代大环内酯类抗生素在抗菌活性、稳定性及安全性方面较第三代有一定提升, 但仍未能完全解决组成型耐药问题, 且其在作用机制、作用位点方面与第三代类似, 未能实现机制上的根本性突破.

4 非天然大环内酯类抗生素全合成

在药物研发领域, 抗生素的全合成技术具有重要意义. 借助全合成方法, 科研人员能够突破天然产物的限制, 创造出全新的非天然结构, 还可以实现对位点的精准修饰, 进而构建数量庞大的化合物库. 这些化合物为进一步完善构效关系和探究药理性质提供了极大便利. 然而, 大环内酯类抗生素结构复杂, 其含有的复杂官能团与较多手性中心显著增加了全合成难度. 近年来, 在非天然大环内酯类抗生素全合成领域, 去甲基泰利霉素、氮杂酮内酯及索利霉素的全合成研究成果较为突出, 他们不仅提供了大环内酯全合成的设计思路, 更为后续研究提供了理论支撑与实践经验.

4.1 去甲基化泰利霉素全合成

Steitz等[108]的研究表明, A2058G突变导致的大环内酯耐药是由于泰利霉素中C-4位甲基和鸟嘌呤2058的氨基之间存在空间位阻造成的. 基于此, 科研人员在2011~2015年间对去甲基泰利霉素的抗菌活性展开探究, 重点研究了C-4,8,10位点去甲基化的影响, 并通过全合成手段制备得到C-4,8,10去三甲基泰利霉素67、4,8-去二甲基泰利霉素68、4,10-去二甲基泰利霉素69及4-去甲基泰利霉素70(图43). 其中, 化合物67的全合成共需42步. 其设计思路为: 先构造14元环, 再在C-5位引入糖基, 最后在C-11,12引入芳基侧链. 合成路线中涉及Swern氧化、Johnson-Claisen重排、Sharpless双羟基化、Evans羟醛反应及Yamaguchi酯化等反应步骤, 最终制得12.1 mg去三甲基泰利霉素[109].
图43 化合物67~70结构

Figure 43 Structures of compounds 67~70

在大环内酯的合成中, 如何完成环化是一个关键问题. 鉴于大环内酯的结构复杂性, 科研人员曾采用生物合成手段, 借助酶催化大环内酯骨架中酯键的形成以完成环化[110]. 在化学合成手段中, 分子内Nozaki-Hiyama- Kishi反应(Scheme 2)和分子内环化复分解反应(Scheme 3)是目前较为常用的大环内酯环化方法. 其中, Nozaki- Hiyama-Kishi反应在大环内酯全合成中, 既可用于完成大环内酯的环化, 也可用于引入不同侧链[111]. 在去甲基泰利霉素的合成中, 先将制备好的化合物7172进行酯化反应, 随后脱除叔丁基二甲基硅基, 经氧化得到化合物75; 接着进行分子内Nozaki-Hiyama-Kishi反应, 以二氯化铬为还原剂还原碳-碘键生成有机铬中间体, 该中间体再与分子内的醛基发生亲核加成形成新的碳-碳键完成环化, 此步环化产率为50%[111b]. 分子内环化复分解反应同样是完成大环内酯环化的重要方法之一. 在Driedger[111a]以及Sutr等[112]的研究中, 均采用类似反应分别构建了14~16元聚酮类大环内酯及含环内联烯结构的17元大环内酯. 在去甲基泰利霉素的全合成中, 以制备好的化合物78为起点, 通过三步反应生成化合物79; 之后在室温条件下, 用Grubbs II催化剂与烯烃底物形成活性中间体, 该中间体发生重排并形成新的碳-碳双键, 完成环化复分解反应得到化合物80, 此步环化产率为60%[109,111b].
图式2 分子内Nozaki-Hiyama-Kishi反应完成环化

Scheme 2 Intramolecular Nozaki-Hiyama-Kishi reaction completes cyclization

Reagents and conditions: (a) Cl3PhCOCl, Et3N, DMAP, 75% yield; (b) TBAF, AcOH, 60% yield; (c) DMP, NaHCO3, 78% yield; (d) CrCl2, cat. NiCl2, DMSO, 50% yield; (e) DMP, 80% yield.

图式3 分子内环化复分解反应完成环化

Scheme 3 Intramolecular ring-closing metathesis reaction completes cyclization

Reagents and conditions: (a) Dess-Martin Periodinane, NaHCO3; (b) vinyl MgBr, THF; (c) Dess-Martin periodinane, CH2Cl2, 60% yield over three steps; (d) 20 mol% Grubbs II cat., 60% yield.

在完成大环的构造后, 研究人员分别在C-5位通过糖基化反应引入德胺糖, 在C-11,12位引入泰利霉素侧链, 最终实现C-4,8,10-去三甲基泰利霉素的全合成. 为进一步探究C-8,10位甲基对化合物抗菌活性的影响, 采用类似的分子内Nozaki-Hiyama-Kishi反应或分子内环化复分解反应, 以类似思路完成了4,8-去二甲基泰利霉素68、4,10-去二甲基泰利霉素69以及4-取甲基泰利霉素70的构造[113].
对上述化合物的抗菌活性评估结果不尽人意(表10): 所有化合物对耐药大肠杆菌及耐药金黄色葡萄球菌均无显著活性, 仅4-去甲基泰利霉素70对野生型大肠杆菌的抗菌活性达到与泰利霉素类似水平(MIC=0.5 μg/mL)[114]. 研究表明, 这些化合物的抗菌活性与其结构中含有的甲基数量相关——甲基数量越多的化合物抗菌活性越强[113a], 去除甲基会使化合物的构象更加灵活, 导致抗菌活性下降[113]. 尽管这些研究未能攻克A2058G突变耐药难题, 但在结构复杂的大环内酯类抗生素全合成路线设计上取得了显著成果, 该合成策略为后续研究提供了可行思路, 有望推动大环内酯类抗生素在合成领域的发展.
表10 去甲基泰利霉素的抗菌活性

Table 10 Antibacterial activity of demethyltelithromycin

Strain Resistant determinant MIC/(μg•mL-1)
67 68 69 70 Telithromycin
E. coli SQ171/2058G A2058G >512 >256 >256 >256
E. coli DK/PKK3535 wt 32 4 8 0.5 0.5
E. coliDK/2058G A2058G 64 32 16 4 1
Staphylococcus aureus UCN14 A2058T 32 >256 >256 >256 >128
Staphylococcus aureus ATCC33591 ermA >128 >64 >128 >128 >128

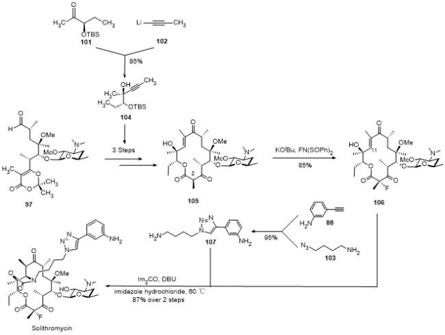
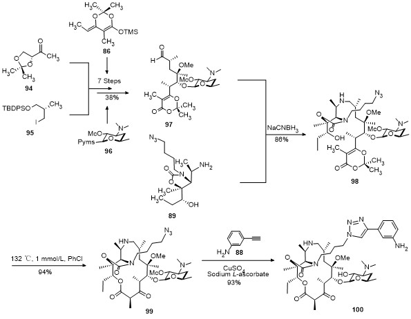
4.2 氮杂酮内酯和索利霉素全合成

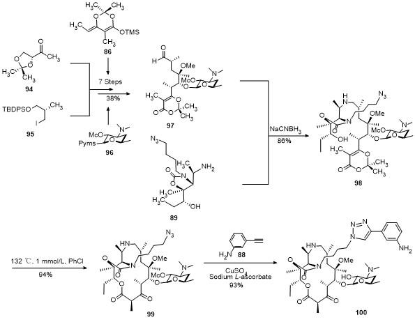
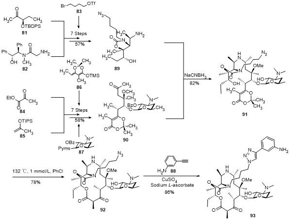
2016年, Seiple等[115]采用砌块汇聚式组装策略, 通过使用8个简单的砌块, 成功实现了14、15元氮杂酮内酯和索利霉素的全合成构建. 相较于半合成路线, 该路线可以更灵活地对结构进行深层次优化. 其全合成路线的设计思路为: 以简单易得的8个砌块分别合成两个关键中间体, 再通过这两个关键中间体的环化反应, 最终获得目标产物.
在14元氮杂酮内酯的全合成路线中(Scheme 4), 两个关键中间体的合成各需7步, 再经3步反应得到终产物; 其中中间体89产率为57%, 中间体90产率为58%, 最终产物化合物93的总产率为32%(从砌块8182, 经10步合成计算)[115]. 路线中将砌块8182通过羟醛缩合反应及偶联反应等7步转化得到关键中间体89; 将砌块8485通过偶联反应分别引入砌块8687, 其中以溴化镁乙醚络合物作为路易斯酸、三乙胺为碱、二氯甲烷为溶剂的反应条件引入砌块86具有较高的选择性, 可获得顺式中间体[115]. 砌块87中使用苯甲酰保护糖苷上的仲醇, 可以有效提高反应的产率和非对映选择 性[115]. 将关键中间体8990通过还原胺化得到中间体91, 其中中间体89的氨基甲酰基结构的刚性是环化反应成功的关键因素[115]. 最终经过热解和叠氮-炔偶极环加成反应, 得到最终产物14元氮杂酮内酯93.
图式4 14元氮杂酮内酯93的全合成路线

Scheme 4 Total synthesis route of 14-membered aza ketolide 93

15元氮杂酮内酯的全合成路线(Scheme 5)与14元氮杂酮内酯高度相似, 其中关键中间体89仍作为环化反应的原料之一, 仅需替换三个砌块, 完成另一个关键中间体97的合成, 再进行相同的后续反应即可. 关键中间体97的合成共7步, 产率为38%, 最终产物化合物100的总产率为33%(从砌块9495, 经10步合成计算)[115].
图式5 15元氮杂酮内酯100的全合成路线

Scheme 5 Total synthesis route of 15-membered aza ketolide 100

在索利霉素的全合成路线(Scheme 6)中, 以15元氮杂酮内酯全合成路线的关键中间体97为原料, 经偶联反应、脱硅基及环化反应得到中间体105, 随后进行C-2氟化并在C-11引入侧链, 最终制备得到索利霉素. 该全合成路线共14步(从化合物9495开始), 总产率为16%(从砌块9495, 经14步合成计算)[115]. 路线中最后一步引入侧链的设计, 使得对侧链修饰更易实现.
图式6 索利霉素的的全合成路线

Scheme 6 Total synthesis route of solithromycin

Seiple等[115]基于上述三种全合成路线, 成功完成了300种新型非天然大环内酯类抗生素的全合成, 并对其开展抗菌活性测试. 其中, 全合成化合物108(图44)对ermB和mefA编码的肺炎链球菌UNT-042 (MIC≤0.03 μg/mL)、ermB编码的粪肠球菌UNT-047 (MIC=1 μg/ mL)均表现出较好活性, 但对组成型金黄色葡萄球菌MP513 (MIC=16 μg/mL)及铜绿假单胞菌ATCC27853 (MIC=16 μg/mL)的活性较差. 上述研究所得的非天然大环内酯类抗生素虽未能有效解决耐药问题, 最优化合物结构与索利霉素结构相似, 未能有效解决耐药菌问题. 但汇聚式简便合成方法的报道, 为非天然大环内酯的构效关系探索提供了高效的新平台.
图44 化合物108的结构

Figure 44 Structure of compound 108

5 大环内酯-喹诺酮杂合物(Macrolones)

由大环内酯与喹诺酮连接制备的化合物被称为“Macrolones”. 从理论上来看, 该类化合物可能具备类似大环内酯的抑制蛋白质合成以及类似喹诺酮的抑制DNA拓扑异构酶的双重作用潜力. 2010年Hutinec等[116]率先在阿奇霉素的克拉定糖4''位置通过酰基连接了喹诺酮结构, 制备的大环内酯-喹诺酮杂合物对耐药菌株的抗菌活性显著优于母体结构阿奇霉素. 基于这一研究基础, 科研人员开展了大量后续研究, 在4''位点以酰基或醚烃连接含有氧、氮原子的侧链以及二胺侧链等, 并且对喹诺酮部分的结构进行了替换, 对大环内酯-喹诺酮杂合物的构效关系进行了探究[24]. 然而机制研究表明, 这类杂合物的作用机制与大环内酯类抗生素相同, 基本不具备类似喹诺酮的抑制DNA拓扑异构酶作用, 未能实现最初设想的双重作用模式, 相关研究仍面临较大挑战[117].
近几年, 大环内酯-喹诺酮杂合物的研究热度持续攀升, 在构效关系、作用机制以及药代动力学性质方面又有了一系列新的突破.

5.1 C-4''位连接喹诺酮

Kos等[118]在2013年合成了一系列以克拉霉素为母体, 在C-4''连接含有N或O原子的侧链连接喹诺酮基团的化合物(图45, 化合物109a~109f), 其中部分化合物在人多形核白细胞中表现出比对照药阿奇霉素更高的积累量. 在C-11,12位引入氨基甲酰基侧链对C-4''进行修饰得到了一系列化合物110a~110c(图46), 相较于仅修饰C-3位克拉定糖的化合物, C-11位N原子经烷基修饰且C-4''连接喹诺酮侧链的化合物在人类多形核白细胞中的积累量显著增加[118], 表明该类化合物可能具有更高的抗菌活性. 在后续研究中, 关于类似结构(化合物111a~111e, 图47)的研究表明, 在C-4''侧链中引入一个或两个氧原子能够增强对流感嗜血杆菌和金黄色葡萄球菌的抗菌效力, 并且卤素原子的存在对抗金黄色葡萄球菌有利[117b].
图45 化合物109a~109f的结构

Figure 45 Structures of compounds 109a~109f

图46 化合物110a~110c结构

Figure 46 Structures of compounds 110a~110c

图47 化合物111a~111e结构

Figure 47 Structures of compounds 111a~111e

Kos等[118]在15元环结构上对C-4''位点也进行了探究, 结果表明, 9a-内酰胺衍生物相较于8a-内酰胺衍生物, 在人类多形核白细胞积累量更高, 说明母体结构对积累量有直接影响. 该团队在后续研究中发现, 连接子中的氮原子乙基化对抗流感嗜血杆菌活性不利; 而引入一个或两个氧原子则有利于提高对抗流感嗜血杆菌和金黄色葡萄球菌的抗菌活性[117b]. 此外, 喹诺酮部分在6'''位连接相较于7'''位连接, 更有利于提高化合物的抗流感嗜血杆菌活性; 喹诺酮部分具有游离的羧酸, 相较于酯基对提高抗菌活性更有利[117b]. 化合物112(图48)对MLSB耐药的肺炎链球菌(MIC90=0.25 μg/mL)以及流感嗜血杆菌(MIC90=2 μg/mL)均有较高的体外活性; 对MLSB耐药的肺炎链球菌B1217 (MIC≤0.015 μg/mL)的体内活性优于阿奇霉素(MIC>64 μg/mL)和泰利霉素(MIC=0.06 μg/mL), 并且具有半衰期长[t1/2=(7.9±0.7) h]及分布容积大[Vss=(8.2±1.7) L/kg]等特点, 但是化合物112的口服生物利用度较差(F<1%)[117b]. 机制研究证实, 这类化合物以抑制蛋白质合成为主要作用模式[117b].
图48 化合物112和113的结构

Figure 48 Structures of compounds 112 and 113

Pavlović等[119]也对具有类似结构的化合物进行了探究, 其中化合物113(图48)对组成型MLSB耐药的肺炎链球菌(MIC≤0.125 μg/mL)、组成型MLSB耐药的化脓性链球菌(MIC≤0.125 μg/mL)及流感嗜血杆菌(MIC=0.5 μg/mL)均表现出良好的抗菌活性. 其构效关系研究表明, 侧链含有喹诺酮结构有利于提高化合物对耐药菌的抗菌活性, 并且喹诺酮芳基6'''位取代相较于C-7'''位取代, 更有利于提升抗菌活性[119].

5.2 C-6位连接喹诺酮

在大环内酯的C-6位连接喹诺酮结构制备的Macrolones在提升抗耐药菌活性方面展现出巨大的发展潜力. 在早期研究中, Pavlović等[120]制备了在C-6位连接喹诺酮的8a-氮杂酮内酯114(图49), 其对组成型MLSB耐药的金黄色葡萄球菌B0330 (MIC=2 μg/mL, 阿奇霉素MIC>64 μg/mL, 环丙沙星MIC≤0.125 μg/mL)表现出中等抗菌活性, 这是早期大环内酯与喹诺酮杂合物中对组成型金黄色葡萄球菌活性最优的化合物, 但其抗菌机制不明确.
图49 化合物114的结构

Figure 49 Structure of compound 114

梁建华课题组[121]在C-6位引入烯烃再连接芳基制备了化合物115(图50), 其对组成型ermB编码的肺炎链球菌07P390、组成型ermA编码的化脓链球菌12-206及诱导型ermA编码的金黄色葡萄球菌PU32均具有较高活性(表11), 并且这种化合物相较于泰利霉素代谢稳定性更优[化合物115: t1/2=(4.34±0.72) h, 平均驻留时间(MRT)=(8.32±0.83) h; 泰利霉素: t1/2=(1.22±0.26) h, MRT=(3.27±0.47) h], 对CYP3A4的抑制更低, 更加安全(化合物115 IC50=14.9 μmol/L; 泰利霉素IC50=11.8 μmol/L)[121]. 在喹诺酮部分, 未取代的氨基甲酰基相较于甲基化的氨基甲酰基, 更有利于提高抗菌活性; 并且对于C-6修饰的化合物, 喹诺酮N上连接环丙基的化合物具有更高的抗菌活性[121].
图50 化合物115的结构

Figure 50 Structure of compound 115

表11 化合物115的部分抗菌活性

Table 11 Antibacterial activity of compound 115

Strain Resistant determinant MIC/(μg•mL-1)
115 Azithromycin Telithromycin Ciprofloxacin
Streptococcus pneumoniae 07P390 c-ermB ≤0.008 256 0.016
Streptococcus pyogenes 12-206 c-ermTR 0.016 >256 0.031 0.125
Staphylococcus aureus PU32 MRSA, i-ermA 0.25 32 0.125 64
化合物116(图51)是首个被证明具有作用拓补异构酶模式的大环内酯-喹诺酮杂合物. DNA超螺旋和DNA切割实验表明, 116可抑制大肠杆菌DNA促旋酶, 具有类似喹诺酮的作用模式. 结合大环内酯类抗生素的蛋白质合成抑制作用, 该化合物可能具有双重作用模式[122]. 然而双靶标化合物的抗菌活性相较于同系列连接喹啉芳基的化合物更弱; 因此, 提升化合物与核糖体靶标的结合能力, 才是提高化合物抗耐药菌活性的关键, 而简单的双靶标并不一定能带来抗菌活性的提升.
图51 化合物116的结构

Figure 51 Structure of compound 116

5.3 C-3位连接喹诺酮

针对C-9位为甲氧基肟、C-3位通过二胺连接喹诺酮基团的化合物的研究发现, 化合物117(图52)对mef基因编码的肺炎链球菌PU09(化合物117 MIC=0.5 μg/mL, 泰利霉素MIC=0.5 μg/mL)及诱导型erm基因编码的化脓链球菌01-968(化合物117 MIC≤0.008 μg/mL, 泰利霉素MIC=0.031 μg/mL)具有与泰利霉素类似或更优的抗菌活性[123]. 其中, 通过哌嗪环连接喹诺酮的化合物118(图52)对流感嗜血杆菌表现出较高活性(化合物118 MIC=1 μg/mL)[123]. 研究表明, C-3位侧链对增强erm或mef基因编码的耐药菌活性起关键作用; 且该系列化合物对革兰氏阳性菌的抗菌活性与连接子长度相关, 连接子长度为10个碳原子长度(自3位O原子后起)最佳[123].
图52 化合物117和118的结构

Figure 52 Structures of compounds 117 and 118

同样在C-3位置以酰基连接喹诺酮基团, 且C-9肟醚连接炔基、烯基或烷基链再连接芳基的化合物, 可恢复对诱导型耐药病原体的抗菌效力. 构效关系研究表明, 在C-9丙炔基肟上引入烟酰胺, 相较于4-异喹啉基和甲基, 更有利于提高抗菌活性; 在C-3位引入直链侧链, 相较于引入环状侧链, 所制备的双侧链衍生物在抗菌活性方面更具有优势[123]. 化合物119(图53)对mef基因编码的耐药肺炎链球菌PU09、组成型ermTR基因编码的化脓链球菌12-206及流感嗜血杆菌ATCC49247的抗菌活性, 相较于泰利霉素, 均有一定提高(表12), 且化合物119具有较高的稳定性和较低的细胞毒性[123]. 机制研究证实, 化合物119对细菌DNA复制及蛋白质合成均有抑制作用, 是一种具有双作用模式的化合物[123].
图53 化合物119的结构

Figure 53 Structure of compound 119

表12 化合物119的部分抗菌活性

Table 12 Antibacterial activity of compound 119

Strain Resistant determinants MIC/(μg•mL-1)
119 Telithromycin
Streptococcus pneumoniae PU09 mef ≤0.008 0.5
Streptococcus pyogenes 12-206 c-ermTR 0.06 0.25
Haemophilus influenzae ATCC49247 sensitive 2 4
研究人员在15元环的C-3引入喹诺酮结构, 开展了 一系列研究. Pavlović等[124]在8a-内酰胺的C-3位置引入喹诺酮基团, 所得化合物整体表现出了较高的抗菌活性. 在C-3位修饰的基础上, 在C-6位引入杂芳基, 可以进一步提高抗菌活性, 其中C-6位引入喹啉基团是提高抗组成型MLSB耐药的肺炎链球菌和化脓性链球菌的活性的关键[124]. 化合物120(图54)对组成型MLSB耐药的肺炎链球菌(化合物120和泰利霉素MIC均小于等于0.125 μg/mL)和流感嗜血杆菌(化合物120 MIC=1 μg/mL, 泰利霉素MIC=2 μg/mL)具有与泰利霉素相当的体外抗菌活性[124]. 同时, 该化合物对红霉素敏感的金黄色葡萄球菌(化合物120 ED50=6.0 mg/kg, 克拉霉素ED50=22.4~24.8 mg/kg)和红霉素敏感的肺炎链球菌(化合物120 ED50=4.5 mg/kg, 克拉霉素ED50=27.2~34.6 mg/kg)也展现出良好的体内抗菌活性, 相较于对照药克拉霉素, 疗效分别提高4倍以及6倍. 此外, 化合物120还具有良好的口服生物利用度(F=42%)与代谢稳定性[124].
图54 化合物120~122的结构

Figure 54 Structures of compounds 120~122

类似地, 在阿奇霉素和8a-内酰胺的C-3位以氨基甲酰基连接喹诺酮基团制备的化合物121(图54)以及122(图54)对组成型erm编码的肺炎链球菌07P390(化合物121 MIC=4 μg/mL, 化合物122 MIC=2 μg/mL)及erm TR编码的组成型化脓链球菌12-206(化合物121MIC=4 μg/mL, 化合物122 MIC=2 μg/mL)的抗菌活性, 相较于克拉霉素(MIC值均大于256 μg/mL)均有显著提高[23].
梁建华课题组[125]在C-3位以代谢更稳定的醚烃作为连接基团连接喹诺酮. 醚烃侧链构型对抗菌活性的影响与酰基侧链构型对抗菌活性的影响类似, 即C-3位为S构型连接的醚烃侧链化合物比R构型更有利于提高抗菌活性[74,125]. 其中, 刚性炔基连接子是这类化合物保持对A2058甲基化耐药菌株抗菌活性的关键结构, 具有炔基的侧链长度为10个碳原子长度(自3位O原子的引入侧链计算)最佳[125]. 非炔烃侧链的衍生物123(图55)对组成型ermB基因编码的肺炎链球菌07P390(化合物123 MIC=0.06 μg/mL, 泰利霉素MIC=0.06 μg/mL)及mef基因编码的肺炎链球菌PU09(化合物123 MIC≤0.008 μg/mL, 泰利霉素MIC=0.25 μg/mL)均具有与泰利霉素相当或更优的抗菌活性[125]. 后续机制研究证实, 该化合物具有双重作用模式, 其中核糖体为主要靶点, 拓扑异构酶为次要靶点[125].
图55 化合物123的结构

Figure 55 Structure of compound 123

5.4 C-9/C-11位连接喹诺酮

梁建华课题组[121]在C-9肟羟基上引入烯烃或炔烃, 再连接氨基甲酰基喹诺酮基团, 得到的化合物对组成型肺炎链球菌07P390及组成型化脓性链球菌12-206均具有高活性, MIC分别为0.062~0.25和0.125~1 μg/mL; 但该类化合物对组成型金黄色葡萄球菌无抗菌活性[121]. 在此结构中喹诺酮具有重要作用, 末端取代基为喹诺酮相较于芳基更有利于提升抗菌活性; 喹诺酮3''位为氨基甲酰基取代时, 化合物的抗菌活性优于羧基取代以及甲基化的氨基甲酰基取代; 喹诺酮上的N-1''原子连接乙基优于环丙基[121]. 此外, 化合物124125(图56)具有 比泰利霉素更长的半衰期[化合物124 t1/2=(3.20±1.61) h, 化合物125 t1/2=(3.03±0.78) h, 泰利霉素t1/2=(1.22±0.26) h]、更长的平均驻留时间[化合物124 MRT=(8.53±1.66) h, 化合物125 MRT=(7.42±0.007) h, 泰利霉素MRT=(3.27±0.47) h]以及更优的代谢稳定性[121].
图56 化合物124和125的结构

Figure 56 Structures of compounds 124 and 125

后续研究中, 科研人员将喹诺酮基团通过侧链连接至大环内酯的C-11位. 研究发现, 喹诺酮6''位取代的化合物侧链越长越有利于提高抗菌活性, 喹诺酮7''位取代的化合物活性高于6''位取代的化合物, 并且7''位取代中侧链为4原子长度(自11位N原子后起)时, 对活性提升更有利[126]. 具有哌嗪结构的化合物126(图57)对抗A2058G、A2059G及A2059T突变的肺炎支原体的效力较泰利霉素大幅提高(化合物126 MIC均为8 μg/mL, 泰利霉素MIC均为256 μg/mL), 并且此化合物具有比泰利霉素更好的代谢稳定性(化合物126 t1/2=110 min, 泰利霉素t1/2=32.4 min). 化合物127(图57)对组成型金黄色葡萄球菌15B196的抗菌活性较泰利霉素提高8倍(化合物127 MIC=8 μg/mL, 泰利霉素MIC=64 μg/mL), 但是其抗菌活性仍处于较低水平[126]. 分子对接结果表明, 化合物126除保持与泰利霉素类似的结合模式外, 其喹诺酮部分与A753之间形成了一个额外的氢键作用[126].
图57 化合物126和127的结构

Figure 57 Structures of compounds 126 and 127

近年来, 大环内酯-喹诺酮杂合物的研究取得显著进展, 涌现了一批具有高抗耐药菌活性的结构, 尤其部分结构对组成型耐药菌的活性有显著提升. 与此同时, 随着机制研究的深入, 抑制蛋白质合成同时抑制DNA拓扑异构酶的双作用模式, 不再停留在理论层面, 已获得更多具有双作用模式的杂合物结构. 并且科研人员对大环内酯-喹诺酮杂合物在构效关系、药代动力学性质方面有了更加深入的研究. 尽管如此, 基于杂合物设计策略仍未设计出对组成型金黄色葡萄球菌有高活性的结构, 亟需新机制的突破.

6 第五代大环内酯类抗生素

MLSB耐药菌的广泛流行, 导致大环内酯类抗生素的临床应用受到严重限制. 这类耐药菌的表型多为组成型, 目前即使是具有新作用位点的泰利霉素, 也对组成型金黄色葡萄球菌无效[23]. 尽管前文所述的大环内酯-喹诺酮杂合物, 相较于传统大环内酯类抗生素, 展现出了更广泛的抗菌谱, 但仍存在明显局限性: 当前具有明确双重靶标的结构数量很少, 更为关键的是, 前文所述的大环内酯-喹诺酮杂合物尚未突破对组成型耐药金黄色葡萄球菌无效的瓶颈, 其新作用位点及新型抗菌机制仍有待深入阐明.
为了解决这个问题, 研究人员开发了第五代大环内酯类抗生素. 第五代大环内酯类抗生素指的是作用全新核糖体作用位点以及具有全新作用模式的一类新型大环内酯衍生物, 这类抗生素突破了组成型金黄色葡萄球菌的耐药问题. 梁建华课题组[23]发表了一系列在C-3位通过不同连接子连接喹诺酮基团的化合物, 研究表明, 喹诺酮部分以7''位作为连接点、保持3''-COOH部分以及N-1''甲基取代, 有利于提高化合物的抗菌活性; 刚性连接体相较于柔性连接体, 更有利于增强对流感嗜血杆菌的活性[23]. 此系列中, 侧链含炔基的化合物MCX- 190MCX-219(图58A)对组成型erm编码的金黄色葡萄球菌15B196(化合物MCX-190 MIC=8 μg/mL, 化合物MCX-219 MIC=1 μg/mL, 泰利霉素MIC 32~>256 μg/mL)表现出杀菌作用, 对诱导型erm编码的金黄色葡萄球菌PU32具有抑菌作用, 且对各种耐药病原体的临床分离株活性优于泰利霉素(表13)[23]. 此外, MCX-219MCX-190对A2058G、A2059G及A2058T突变的临床耐药肺炎支原体, 也具有高活性[23]. 在以往研究中, 大环内酯与细菌核糖体的复合物结构大多采用嗜热栖热菌、耐辐射奇球菌以及大肠杆菌等模式菌进行研究[8,25-27,29-35,37], 然而不同种属的菌株核糖体结构不完全相同, 无法完全准确反映化合物与核糖体的作用模式. 该研究使用临床分离的敏感型金黄色葡萄球以及组成型耐药金黄色葡萄球菌核糖体, 与化合物进行复合物的冷冻电镜研究, 揭示了一种全新的抗菌作用模式, 即化合物在新生肽链出口通道(NPET)形成A2062-喹诺酮- C2586/C1782三明治式的堆叠作用模式(图58B), 并通过芳基上的酮酸结构与rRNA磷酸骨架形成水-镁桥作用[23]. 化合物与新作用位点的结合不受A2058甲基化修饰的影响, 从机制上解释了化合物对组成型A2058甲基化的金黄色葡萄球菌具有高活性的原因[23].
图58 (A)化合物MCX-219和190的结构及(B)化合物MCX-190与靶点的新作用模式[括号中是金黄色葡萄球菌rRNA编号, 粉色结构为化合物MCX-190 (PDB: 8Y36)][23]

Figure 58 (A) Structures of compounds MCX-219 and 190, and (B) new binding mode of compound MCX-190 with the target [The rRNA number of S. aureus is in parentheses. The pink structure represents compound MCX-190 (PDB: 8Y36)][23]

表13 化合物MCX-190和MCX-219的部分抗菌活性

Table 13 Antibacterial activity of compounds MCX-190 and MCX-190

Strain Resistant determinants MIC/(μg•mL-1)
MCX-190 MCX-219 Telithromycin
Staphylococcus aureus 15B196 c-ermB 8 1 32~>256
Staphylococcus aureus PU32 i-ermA 0.25~0.5 0.25 0.12~0.5
Mycoplasma pneumoniae A2058G 1 0.25 256
Mycoplasma pneumoniae A2059G 2 0.25 256
Mycoplasma pneumoniae A2058T 0.5 0.06 256
梁建华与Polikanov和Mankin的合作研究显示, 环丙沙星虽可结合至该核糖体位点, 但在功能上无法抑制蛋白质翻译[32]; 而将环丙沙星的子结构通过3位侧链引入大环内酯制备的化合物MCX-128(图59), 可以作用于核糖体及DNA促旋酶, 能够抑制蛋白质翻译和DNA复制, 同时干扰细菌的两大生理功能. 该化合物双靶点的双重突变率仅为10-14~10-18, 不容易诱导细菌产生耐药[32]. MCX-128与嗜热栖热菌核糖体的复合物单晶结构(图59)表明, MCX-128在核糖体的作用与MCX- 190相似, 均能作用于C2586新位点, 在A2058双甲基化的核糖体中, 化合物与C2586之间形成的相互作用, 可以弥补与A2058靶点结合力下降带来的影响, 从而克服组成型erm耐药[32]. 此外, 这种新的结合模式直接影响了核糖体翻译停滞位点, 无法激活erm基因, 有效规避了诱导型erm耐药[32]. Nat. Chem. Biol.就此刊发专题评述, 将这类新型大环内酯杂合物Macrolone的特性总结为双重规避耐药性(Evading resistance at the double), 该研究阐明的设计原则为对抗抗生素耐药性的发展提供了重要支撑 [127].
图59 MCX-128结构及其与新靶点C2586的相互作用[黄色结构为化合物MCX-128(PDB: 8VTX)][32]

Figure 59 Structure of MCX-128 and its interaction with the new target C2586 [The yellow structure represents compound MCX-128 (PDB: 8VTX)][32]

C-3连接侧链延伸产生的新位点作用, 使这些化合物克服了现今大环内酯领域最难克服的组成型erm耐药金黄色葡萄球菌以及A2058突变耐药的肺炎支原体, 并且双靶标化合物可以有效延缓细菌耐药性的产生. 研究表明, 核糖体新位点的发现以及基于新位点的药物合理化设计, 是解决耐药性问题的有效途径之一.

7 总结及展望

当前, 细菌耐药性问题已严重威胁全球人类生命安全. 面对难以遏制的细菌耐药性发展态势, 对于抗生素的研究可谓是“逆水行舟, 不进则退”. 在大环内酯类抗生素领域, 由于大环内酯在核糖体中的作用位点A2058甲基化修饰产生的组成型耐药菌, 以及A2058突变导致的耐药肺炎支原体, 使得现有大环内酯对于细菌核糖体亲和力大幅下降, 进而导致化合物对这些耐药菌无效. 以泰利霉素为代表的酮内酯类化合物, 通过引入侧链使化合物作用于次级作用位点A752, 显著提升了对耐药菌的抗菌活性. 这些探索虽然解决了部分耐药菌, 例如诱导型、外排型耐药菌、组成型肺炎链球菌以及化脓链球菌的耐药问题, 但是对组成型金黄色葡萄球菌以及碱基突变耐药肺炎支原体仍无活性, 辉瑞的专家甚至曾断言“大环内酯无法抗组成型金黄色葡萄球菌”, 这个难题一直是大环内酯领域难以逾越的鸿沟.
为了解决耐药性问题, 科研人员开展了大量研究. 无论是对化合物进行单位点的修饰还是多位点修饰, 化合物的设计均期望能够与核糖体产生更强的作用, 进而展现更高的抗菌活性. 除第三、四代大环内酯作用A752位点以外, 第五代大环内酯类抗生素可以作用于核糖体的全新位点C2586-C1782碱基对, 化合物在NPET中形成A2062-喹诺酮-C2586/C1782三明治式堆叠作用模式, 并且化合物与新位点之间水镁桥介导的结合显著增强了与细菌核糖体的作用力, 使得化合物克服了组成型耐药的金黄色葡萄球菌. 第五代大环内酯类抗生素新位点的发现, 可以规避传统作用位点引发的耐药性问题, 有效扩展大环内酯类抗生素的抗菌谱, 并且新作用位点将推动基于结构的药物设计, 开发出全新的大环内酯类抗生素. 此外, 在新位点作用基础上的“双靶标”也是解决耐药性问题的思路之一, 具有双靶标机制的大环内酯杂合物使细菌因单一结合和位点突变产生耐药性的几率大大降低, 可以有效缓解耐药性的发展, 并且其协同作用可以进一步提升抗菌效果.
新位点与新机制的发现, 为提升抗菌活性和解决耐药性问题提供了更多可能. 在大环内酯类抗生素的结构修饰乃至MLSB类抗生素的相关研究中, 如何寻找新的作用位点以提高化合物与耐药突变核糖体之间的结合力, 如何围绕新位点合理设计具有更高体内抗菌活性的抗生素是未来努力的方向.
(Zhao, C)
[1]
Bryskier A.; Bergogne‐Bérézin E. Macrolides, Ed.: Bryskier, A., ASM Press, Washington, DC, 2005, p. 475.

[2]
Kurath P.; Jones P. H.; Egan R. S.; Perun T. J. Experientia 1971, 27, 362.

DOI

[3]
Alvarez-Elcoro S.; Enzler M. J. Mayo Clin. Proc. 1999, 74, 613.

PMID

[4]
Wellington K.; Noble S. Drugs 2004, 64, 1683.

PMID

[5]
Woodward R. Angew. Chem. 1957, 69, 50.

DOI

[6]
Mazzei T.; Mini E.; Novelli A.; Periti P. J. Antimicrob. Chemother. 1993, 31, 1.

[7]
Periti P.; Mazzei T.; Mini E.; Novelli A. Clin. Pharmacokinet. 1989, 16, 193.

PMID

[8]
Svetlov M. S.; Syroegin E. A.; Aleksandrova E. V.; Atkinson G. C.; Gregory S. T.; Mankin A. S.; Polikanov Y. S. Nat. Chem. Biol. 2021, 17, 412.

DOI PMID

[9]
Jelić D.; Antolović R. Antibiotics 2016, 5, 29.

DOI

[10]
(a) Vázquez-Laslop N.; Mankin A. S. Trends Biochem. Sci. 2018, 43, 668.

DOI PMID

(b) Kannan K.; Kanabar P.; Schryer D.; Florin T.; Oh E.; Bahroos N.; Tenson T.; Weissman J. S.; Mankin A. S. Proc. Natl. Acad. Sci. U. S. A. 2014, 111, 15958.

[11]
Dinos G. P. Br. J. Pharmacol. 2017, 174, 2967.

DOI

[12]
Dunkle J. A.; Xiong L.; Mankin A. S.; Cate J. H.; Proc. Natl. Acad. Sci. U. S. A.. 2010, 107, 17152.

DOI

[13]
Mcguire J. M.; Bunch R. L.; Anderson R. C.; Boaz H. E.; Smith J. W. Antibiot. Chemother. 1952, 2, 1064.

[14]
Lee H.; Yun K. W.; Lee H. J.; Choi E. H. Expert Rev. Anti-Infect. Ther. 2018, 16, 23.

[15]
Biradar S. V.; Patil A. R.; Sudarsan G. V.; Pokharkar V. B. Powder Technol. 2006, 169, 22.

DOI

[16]
Gaynor M.; Mankin A. S. Curr. Top. Med. Chem. 2003, 3, 949.

DOI

[17]
Allen N. E. Antimicrob. Agents Chemother. 1977, 11, 669.

DOI PMID

[18]
Wilson D. N. Nat. Rev. Microbiol. 2014, 12, 35.

DOI

[19]
Fyfe C.; Grossman T. H.; Kerstein K.; Sutcliffe J. Cold Spring Harbor Perspect. Med. 2016, 6, a025395.

[20]
Jalava J.; Vaara M.; Huovinen P. Ann. Clin. Microbiol. Antimicrob. 2004, 3, 1.

DOI

[21]
Amdan N. A. N.; Shahrulzamri N. A.; Hashim R.; Jamil N. M. J. Global Antimicrob. Resist. 2024, 38, 368.

DOI

[22]
(a) Denis A.; Agouridas C.; Auger J.-M.; Benedetti Y.; Bonnefoy A.; Bretin F.; Chantot J.-F.; Dussarat A.; Fromentin C.; D'Ambrières S. G. Bioorg. Med. Chem. Lett. 1999, 9, 3075.

PMID

(b) Bemer-Melchior P.; Juvin M.-E.; Tassin S.; Bryskier A.; Schito G. C.; Drugeon H.-B. Antimicrob. Agents Chemother. 2000, 44, 2999.

DOI PMID

[23]
Ma C. X.; Li Y.; Liu W. T.; Li Y.; Zhao F.; Lian X. T.; Ding J.; Liu S. M.; Liu X. P.; Fan B. Z. Cell Discovery 2024, 10, 75.

DOI

[24]
Liang J. H.; Han X. Curr. Top. Med. Chem. 2013, 13, 3131.

DOI

[25]
Arenz S.; Bock L. V.; Graf M.; Innis C. A.; Beckmann R.; Grubmüller H.; Vaiana A. C.; Wilson D. N. Nat. Commun. 2016, 7, 12026.

DOI

[26]
Crowe-McAuliffe C.; Graf M.; Huter P.; Takada H.; Abdelshahid M.; Nováček J.; Murina V.; Atkinson G. C.; Hauryliuk V.; Wilson D. N. Proc. Natl. Acad. Sci. U. S. A. 2018, 115, 8978.

[27]
Svetlov M. S.; Plessa E.; Chen C.-W.; Bougas A.; Krokidis M. G.; Dinos G. P.; Polikanov Y. S. RNA 2019, 25, 600.

DOI PMID

[28]
Halfon Y.; Matzov D.; Eyal Z.; Bashan A.; Zimmerman E.; Kjeldgaard J.; Ingmer H.; Yonath A. Sci. Rep. 2019, 9, 11460.

DOI

[29]
Beckert B.; Leroy E. C.; Sothiselvam S.; Bock L. V.; Svetlov M. S.; Graf M.; Arenz S.; Abdelshahid M.; Seip B.; Grubmüller H.; Mankin A. S.; Innis C. A.; Vázquez-Laslop N.; Wilson D. N. Nat. Commun. 2021, 12, 4466.

DOI

[30]
Fostier C. R.; Ousalem F.; Leroy E. C.; Ngo S.; Soufari H.; Innis C. A.; Hashem Y.; Boël G. Nat. Commun. 2023, 14, 3891.

DOI

[31]
Chen C. W.; Leimer N.; Syroegin E. A.; Dunand C.; Bulman Z. P.; Lewis K.; Polikanov Y. S.; Svetlov M. S. Nat. Commun. 2023, 14, 4196.

DOI

[32]
Aleksandrova E. V.; Ma C. X.; Klepacki D.; Alizadeh F.; Vázquez-Laslop N.; Liang J. H.; Polikanov Y. S.; Mankin A. S. Nat. Chem. Biol. 2024, 20, 1680.

DOI PMID

[33]
Magee T. V.; Han S.; McCurdy S. P.; Nguyen T.-T.; Granskog K.; Marr E. S.; Maguire B. A.; Huband M. D.; Chen J. M.; Subashi T. A. Bioorg. Med. Chem. Lett. 2013, 23, 1727.

DOI

[34]
Arenz S.; Ramu H.; Gupta P.; Berninghausen O.; Beckmann R.; Vázquez-Laslop N.; Mankin A. S.; Wilson D. N. Nat. Commun. 2014, 5, 3501.

DOI

[35]
Arenz S.; Meydan S.; Starosta A. L.; Berninghausen O.; Beckmann R.; Vázquez-Laslop N.; Wilson D. N. Mol. Cell. 2014, 56, 446.

DOI

[36]
Eyal Z.; Matzov D.; Krupkin M.; Wekselman I.; Paukner S.; Zimmerman E.; Rozenberg H.; Bashan A.; Yonath A. Proc. Natl. Acad. Sci. U. S. A. 2015, 112, E5805.

[37]
Wekselman I.; Zimmerman E.; Davidovich C.; Belousoff M.; Matzov D.; Krupkin M.; Rozenberg H.; Bashan A.; Friedlander G.; Kjeldgaard J.; Ingmer H.; Lindahl L.; Zengel J. M.; Yonath A. Structure 2017, 25, 1233.

DOI PMID

[38]
Zhang W.; Li Z. F.; Sun Y. F.; Cui P.; Liang J. H.; Xing Q. H.; Wu J.; Xu Y. H.; Zhang W. H.; Zhang Y.; Lin H.; Ning G. Emerging Microbes Infect. 2022, 11, 293.

[39]
Srinivasan K.; Banerjee A.; Sengupta J. Structure 2024, 32, 1443.

DOI

[40]
LeMahieu R. A.; Carson M.; Kierstead R. W.; Fern L. M.; Grunberg E. J. Med. Chem. 1974, 17, 953.

PMID

[41]
Douthwaite S.; Champney W. S. J. Antimicrob. Chemother. 2001, 48, 1.

[42]
(a) Kashimura M.; Asaka T.; Misawa Y.; Matsumoto K.; Morimoto S. J. Antibiot. 2001, 54, 664.

PMID

(b) Ono T.; Kashimura M.; Suzuki K.; Oyauchi R.; Miyachi J.; Ikuta H.; Kawauchi H.; Akashi T.; Asaka T.; Morimoto S. J. Antibiot. 2004, 57, 518.

DOI

[43]
Zhanel G. G.; Walters M.; Noreddin A.; Vercaigne L. M.; Wierzbowski A.; Embil J. M.; Gin A. S.; Douthwaite S.; Hoban D. J. Drugs 2002, 62, 1771.

DOI

[44]
Douthwaite S.; Hansen L. H.; Mauvais P. Mol. Microbiol. 2000, 36, 183.

DOI PMID

[45]
Chancey S. T.; Zhou X.; Zähner D.; Stephens D. S. Antimicrob. Agents Chemother. 2011, 55, 3413.

DOI PMID

[46]
Shlaes D. M.; Moellering R. C. Lancet Infect. Dis. 2008, 8, 83.

DOI PMID

[47]
Fernandes P.; Fernandes P.; Martens E.; Martens E.; Bertrand D.; Bertrand D.; Pereira D.; Pereira D. Bioorg. Med. Chem. 2016, 24, 6420.

DOI

[48]
Douthwaite S.; Jalava J.; Jakobsen L. Mol. Microbiol. 2005, 58, 613.

PMID

[49]
Zheng Z. H.; Du D. P.; Cao L. L.; Liu J.; Chen X. F. J. Antibiot. 2016, 69, 811.

DOI

[50]
Zhao Z. H.; Zhang X. X.; Jin L. L.; Yang S.; Lei P. S. Bioorg. Med. Chem. Lett. 2018, 28, 2358.

DOI

[51]
Bulkley D.; Innis C. A.; Blaha G.; Steitz T. A. Proc. Natl. Acad. Sci. U. S. A. 2010, 107, 17158.

[52]
Bhawsar S.; Tadiparthi R.; Kayastha A. K.; Dixit P.; Pavase L.; Mishra A.; Chavan V.; Birajdar S.; Shaikh M.; Yeole R. Med. Chem. Res. 2024, 33, 1715.

DOI

[53]
Bhavsar S.; Tadiparthi R.; Gupta S.; Pawar S.; Yeole R.; Kaya- stha A. K.; Deshpande P.; Bhagwat S.; Patel M. Chem. Pap. 2023, 77, 3629.

DOI

[54]
Bhavsar S.; Ravikumar T.; Gupta S.; Pawar S.; Dabhade S.; Kayastha A. K.; Deshpande P.; Yeole R.; Nandanwar M.; Bhagwat S. Results Chem. 2023, 5, 100757.

DOI

[55]
Nandanwar M.; Chavan R.; Kansagara A.; Patel M. A.; Patel A.; Yeole R.; Patel M. Regul. Toxicol. Pharm. 2021, 122, 104889.

DOI

[56]
Iwanowski P.; Bhatia A.; Gupta M.; Patel A.; Chavan R.; Yeole R.; Friedland D. Antimicrob. Agents Chemother. 2019, 63, 01253.

[57]
Jia L.; Yan M.; Shen Y.; Qin Y. H.; Qiang S. S.; Ma S. T. Bioorg. Med. Chem. Lett. 2017, 27, 3693.

DOI PMID

[58]
Jia L.; Wang Y. H.; Wang Y. X.; Qin Y. H.; Hu C. Y.; Sheng J. Z.; Ma S. T. Bioorg. Med. Chem. Lett. 2018, 28, 2471.

DOI PMID

[59]
Bai B. F.; Bi F. C.; Qin Y. H.; Teng Y. T.; Ma S. T. Bioorg. Med. Chem. Lett. 2021, 43, 128110.

DOI

[60]
Teng Y. T.; Qin Y. H.; Song D.; Liu X. B.; Ma Y. A.; Zhang P. P.; Ma S. T. Bioorg. Med. Chem. Lett. 2020, 30, 126850.

DOI

[61]
Liang J. H.; Lv W.; Li X. L.; An K.; Cushman M.; Wang H.; Xu Y. C. Bioorg. Med. Chem. Lett. 2013, 23, 1387.

DOI

[62]
Liang J. H.; An K.; Lv W.; Cushman M.; Wang H.; Xu Y. C. Eur. J. Med. Chem. 2013, 59, 54.

DOI

[63]
Chen X. Z.; Xu P.; Xu Y. P.; Liu L.; Liu Y.; Zhu D.; Lei P. S. Bioorg. Med. Chem. Lett. 2012, 22, 7402.

DOI

[64]
Xu Y. P.; Chen X. Z.; Zhu D.; Liu Y.; Zhao Z. H.; Jin L. L.; Liu C.; Lei P. S. Eur. J. Med. Chem. 2013, 69, 174.

DOI

[65]
Chen X. Z.; Xu Y. P.; Zhao Z. H.; Lei P. S. Tetrahedron Lett. 2014, 55, 6128.

DOI

[66]
(a) Wang A. P.; Liu C.; Yang S.; Zhao Z. H.; Lei P. S. Tetrahedron. 2016, 72, 285.

DOI

(b) Zhao Z. H.; Wang A. P.; Zhang X. X.; Yang S.; Luo Z. G.; Lei P. S. Chin. Chem. Lett. 2019, 30, 425.

DOI

[67]
Zhao Z. H.; Wang A. P.; Zhang X. X.; Yang S.; Luo Z. G.; Lei P. S. J. Asian Nat. Prod. Res. 2019, 21, 456.

DOI

[68]
Anwar H. F.; Andrei M.; Undheim K. Bioorg. Med. Chem. 2017, 25, 2313.

DOI

[69]
Andrei M.; Undheim K. Phytochem. Lett. 2022, 50, 128.

DOI

[70]
Tanikawa T.; Asaka T.; Kashimura M.; Misawa Y.; Suzuki K.; Sato M.; Kameo K.; Morimoto S.; Nishida A. J. Med. Chem. 2001, 44, 4027.

PMID

[71]
Tanikawa T.; Asaka T.; Kashimura M.; Suzuki K.; Sugiyama H.; Sato M.; Kameo K.; Morimoto S.; Nishida A. J. Med. Chem. 2003, 46, 2706.

PMID

[72]
(a) Pandya M.; Chakrabarti A.; Rathy S.; Katoch R.; Venkataraman R.; Bhateja P.; Mathur T.; Kumar G. R.; Malhotra S.; Rao M. Int. J. Antimicrob. Agents 2010, 36, 169.

DOI

(b) Kumar R.; Rathy S.; Hajare A. K.; Surase Y. B.; Dullu J.; Jadhav J. S.; Venkataramanan R.; Chakrabarti A.; Pandya M.; Bhateja P. Bioorg. Med. Chem. Lett. 2012, 22, 476.

DOI

[73]
Han X.; Lv W.; Guo S. Y.; Cushman M.; Liang J. H. Bioorg. Med. Chem. 2015, 23, 6437.

DOI

[74]
Tian J. C.; Han X.; Lv W.; Li Y. X.; Wang H.; Fan B. Z.; Cushman M.; Liang J. H. Bioorg. Med. Chem. Lett. 2017, 27, 1513.

DOI

[75]
Sugiyama H.; Yoshida I.; Ueki M.; Tanabe K.; Manaka A.; Hiramatsu K. J. Antibiot. 2017, 70, 264.

DOI

[76]
Li X. M.; Lv W.; Guo S. Y.; Li Y. X.; Fan B. Z.; Cushman M.; Kong F. S.; Zhang J.; Liang J. H. Eur. J. Med. Chem. 2019, 171, 235.

DOI

[77]
Qin Y. H.; Qiang S. S.; Ji S. L.; Liu Z. Y.; Hu C. Y.; Ma S. T. Bioorg. Med. Chem. Lett. 2018, 28, 3324.

DOI

[78]
Yan M.; Ma R. X.; Jia L.; Venter H.; Ma S. T. Eur. J. Med. Chem. 2017, 127, 874.

DOI PMID

[79]
Qin Y. H.; Xu L. L.; Teng Y. T.; Yang Y.; Wang Y. H.; Ma P. Z. Bioorg. Med. Chem. Lett. 2021, 49, 128330.

DOI

[80]
(a) Liang J. H.; Li X. L.; Wang H.; An K.; Wang Y. Y.; Xu Y. C.; Yao G. W. Eur. J. Med. Chem. 2012, 49, 289.

DOI

(b) Liang J. H.; Wang Y. Y.; Wang H.; Li X. L.; An K.; Xu Y. C.; Yao G. W. Bioorg. Med. Chem. Lett. 2010, 20, 2880.

DOI

(c) Liang J. H.; Wang Y. Y.; Zhu D. Y.; Dong L. J.; An M. M.; Wang R.; Yao G. W. J. Antibiot. 2009, 62, 605.

DOI

[81]
Grgičević I.; Mikulandra I.; Bukvić M.; Banjanac M.; Radovanović V.; Habinovec I.; Bertoša B.; Novak P. Int. J. Antimicrob. Agents 2020, 56, 106147.

DOI

[82]
(a) Ju Y. J.; Xian R. Q.; Zhang L.; Ma R. X.; Cao J. C.; Ma S. T. Bioorg. Med. Chem. Lett. 2010, 20, 3272.

DOI

(b) Qi Y. K.; Jiao B.; Ma X. D.; Cui W. P.; Ma S. T. Arch. Pharm. 2010, 343, 458.

DOI

[83]
Zhu D.; Xu Y. P.; Liu Y.; Chen X. Z.; Zhao Z. H.; Lei P. S. Bioorg. Med. Chem. Lett. 2013, 23, 6274.

DOI PMID

[84]
Ma S. T.; Jiao B.; Liu Z. P.; Wang H.; Xian R. Q.; Zheng M. J.; Lou H. X. Bioorg. Med. Chem. Lett. 2009, 19, 1698.

DOI

[85]
Zhang L.; Chai X. Y.; Wang B. G.; Yu S. C.; Hu H. G.; Zou Y.; Zhao Q. J.; Meng Q. G.; Wu Q. Y. Bioorg. Med. Chem. Lett. 2013, 23, 5057.

DOI PMID

[86]
Qin Y. H.; Sun M.; Zhang N.; Yang Y.; Ma P. Z. Bioorg. Chem. 2022, 127, 106020.

DOI

[87]
Yan M.; Ma X. D.; Dong R. Q.; Li X.; Zhao C.; Guo Z. Z.; Shen Y.; Liu F.; Ma R. X.; Ma S. T. Eur. J. Med. Chem. 2015, 103, 506.

DOI PMID

[88]
Wang Y. H.; Cong C.; Chai W. C.; Dong R. Q.; Jia L.; Song D.; Zhou Z. T.; Ma S. T. Bioorg. Med. Chem. Lett. 2017, 27, 3872.

DOI

[89]
Tevyashova A. N.; Korolev A. M.; Mirchink E. P.; Isakova E. B.; Osterman I. A. J. Antibiot. 2019, 72, 22.

DOI PMID

[90]
Li X.; Ma S. T.; Yan M.; Wang Y. Z.; Ma S. T. Eur. J. Med. Chem. 2013, 59, 209.

DOI

[91]
Klahn P.; Brönstrup M. Nat. Prod. Rep. 2017, 34, 832.

DOI PMID

[92]
Tevyashova A. N.; Bychkova E. N.; Korolev A. M.; Isakova E. B.; Mirchink E. P.; Osterman I. A.; Erdei R.; Szücs Z.; Batta G. Bioorg. Med. Chem. Lett. 2019, 29, 276.

DOI PMID

[93]
Volynkina I. A.; Bychkova E. N.; Karakchieva A. O.; Tikhomirov A. S.; Zatonsky G. V.; Solovieva S. E.; Martynov M. M.; Grammatikova N. E.; Tereshchenkov A. G.; Paleskava A.; Konevega A. L.; Sergiev P. V.; Dontsova O. A.; Osterman I. A.; Shchekotikhin A. E.; Tevyashova A. N. Pharmaceuticals 2024, 17, 187.

DOI

[94]
Janas A.; Pecyna P.; Gajecka M.; Bartl F.; Przybylski P. ChemMedChem 2020, 15, 1529.

DOI

[95]
Yu J.; Cen D. W.; Chen Y. C.; Zhao H. L.; Xu M. Y.; Wu S. L.; Wang S.; Jin Q.; Shen T. RSC Adv. 2023, 13, 18651.

DOI

[96]
Zhanel G. G.; Hartel E.; Adam H.; Zelenitsky S.; Zhanel M. A.; Golden A.; Schweizer F.; Gorityala B.; Lagacé-Wiens P. R.; Walkty A. J. Drugs 2016, 76, 1737.

DOI

[97]
Llano-Sotelo B.; Dunkle J.; Klepacki D.; Zhang W.; Fernandes P.; Cate Jamie H. D.; Mankin Alexander S. Antimicrob. Agents Chemother. 2010, 54, 4961.

DOI PMID

[98]
(a) Rodgers W.; Frazier A. D.; Champney W. S. Antimicrob. Agents Chemother. 2013, 57, 1632.

DOI PMID

(b) Putnam S. D.; Sader H. S.; Farrell D. J.; Biedenbach D. J.; Castanheira M. Int. J. Antimicrob. Agents. 2011, 37, 39.

DOI

[99]
Kobayashi Y.; Wada H.; Rossios C.; Takagi D.; Higaki M.; Mikura S. I.; Goto H.; Barnes P. J.; Ito K. J. Pharmacol. Exp. Ther. 2013, 345, 76.

DOI PMID

[100]
Jamieson B. D.; Ciric S.; Fernandes P. Antimicrob. Agents Chemother. 2015, 59, 4379.

DOI PMID

[101]
MacLauchlin C.; Schneider S. E.; Keedy K.; Fernandes P.; Jamieson B. D. Antimicrob. Agents Chemother. 2018, 62, 01474.

[102]
Buege M. J.; Brown J. E.; Aitken S. L. Am. J. Health-Syst. Pharm. 2017, 74, 875.

DOI

[103]
Raj V. S.; Barman T. K.; Kalia V.; Purnapatre K.; Dube S.; Bhateja P.; Mathur T.; Chaira T.; Upadhyay D. J.; Surase Y. B. Antimicrob. Agents Chemother. 2014, 58, 4283.

DOI

[104]
Daher S. S.; Jin X.; Patel J.; Freundlich J. S.; Buttaro B.; Andrade R. B. Bioorg. Med. Chem. Lett. 2019, 29, 1386.

DOI

[105]
Daher S. S.; Lee M.; Jin X.; Teijaro C. N.; Barnett P. R.; Freundlich J. S.; Andrade R. B. Eur. J. Med. Chem. 2022, 233, 114213.

DOI

[106]
Jin L. L.; Zhang X. X.; Luo Z. G.; Wu X. F.; Zhao Z. H. Bioorg. Med. Chem. Lett. 2023, 80, 129115.

DOI

[107]
Bian C.; Zhang J.; Zheng X.; Qiao M. Q.; Li Y.; Chen X. F.; Si S. Y. Eur. J. Med. Chem. 2024, 267, 116181.

DOI

[108]
Tu D.; Blaha G.; Moore P. B.; Steitz T. A. Cell 2005, 121, 257.

DOI

[109]
Velvadapu V.; Paul T.; Wagh B.; Klepacki D.; Guvench O.; MacKerell A. Jr.; Andrade R. B. ACS Med. Chem. Lett. 2011, 2, 68.

PMID

[110]
Zhang J. M.; Yuan G. Y.; Zou Y. Nat. Prod. Rep. 2025, 42, 298.

DOI

[111]
(a) Driedger D.; Wilson D. M.; Britton R. Chem. Sci. 2025, 16, 5918.

DOI

(b) Velvadapu V.; Paul T.; Wagh B.; Glassford I.; DeBrosse C.; Andrade R. B. J. Org. Chem. 2011, 76, 7516.

DOI PMID

[112]
Sutro J. L.; Fürstner A. J. Am. Chem. Soc. 2024, 146, 2345.

DOI PMID

[113]
(a) Wagh B.; Paul T.; Glassford I.; DeBrosse C.; Klepacki D.; Small M. C.; MacKerell A. D. Jr.; Andrade R. B. ACS Med. Chem. Lett. 2012, 3, 1013.

DOI

(b) Velvadapu V.; Glassford I.; Lee M.; Paul T.; DeBrosse C.; Klepacki D.; Small M. C.; MacKerell A. D., Jr.; Andrade R. B. ACS Med. Chem. Lett. 2012, 3, 211.

PMID

(c) Glassford I.; Lee M.; Wagh B.; Velvadapu V.; Paul T.; Sandelin G.; DeBrosse C.; Klepacki D.; Small M. C.; MacKerell A. D., Jr.; Andrade R. B. ACS Med. Chem. Lett. 2014, 5, 1021.

DOI PMID

[114]
Andrade R. B. Synlett 2015, 26, 2199.

DOI

[115]
Seiple I. B.; Zhang Z.; Jakubec P.; Langlois-Mercier A.; Wright P. M.; Hog D. T.; Yabu K.; Allu S. R.; Fukuzaki T.; Carlsen P. N. Nature 2016, 533, 338.

DOI

[116]
Hutinec A.; Đerek M.; Lazarevski G.; Šunjić V.; Paljetak H. Č.; Alihodžić S.; Haber V. E.; Dumić M.; Maršić N.; Mutak S. Bioorg. Med. Chem. Lett. 2010, 20, 3244.

DOI PMID

[117]
(a) Pavlovic D.; Mutak S. ACS Med. Chem. Lett. 2011, 2, 331.

DOI

(b) Čipčić Paljetak H.; Verbanac D.; Padovan J.; Dominis- Kramarić M.; Kelnerić Ž.; Perić M.; Banjanac M.; Ergović G.; Simon N.; Broskey J.; Holmes David J.; Eraković Haber V. Antimicrob. Agents Chemother. 2016, 60, 5337.

DOI PMID

[118]
Kos V. M.; Koštrun S.; Fajdetić A.; Bosnar M.; Kelnerić Ž.; Stepanić V.; Haber V. E. Eur. J. Pharm. Sci. 2013, 49, 206.

DOI

[119]
Pavlović D.; Mutak S. Bioorg. Med. Chem. 2016, 24, 1255.

DOI

[120]
Pavlović D.; Fajdetić A.; Mutak S. Bioorg. Med. Chem. 2010, 18, 8566.

DOI

[121]
Ma C. X.; Lv W.; Li Y. X.; Fan B. Z.; Han X.; Kong F. S.; Tian J. C.; Cushman M.; Liang J. H. Eur. J. Med. Chem. 2019, 169, 1.

DOI

[122]
Fan B. Z.; Hiasa H.; Lv W.; Brody S.; Yang Z. Y.; Aldrich C.; Cushman M.; Liang J. H. Eur. J. Med. Chem. 2020, 193, 112222.

DOI

[123]
Ma C. X.; Liu W. T.; Li X. M.; Ding J.; Liu S. M.; Xue F.; Li Y.; Liang J. H. Eur. J. Med. Chem. 2024, 276, 116630.

DOI

[124]
Pavlović D.; Kimmins S.; Mutak S. Eur. J. Med. Chem. 2017, 125, 210.

DOI PMID

[125]
Zhang N.; Liu W. T.; Cui X. Y.; Liu S. M.; Ma C. X.; Liang J. H. Bioorg. Chem. 2024, 151, 107712.

DOI

[126]
Liu X. P.; Lv W.; Zhao F.; Ding J.; Zhang J. R.; Xue F.; Zhang J. Z.; Liu L. Y.; Cushman M.; Li Y.; Liang J. H. Bioorg. Med. Chem. Lett. 2022, 68, 128761.

DOI

[127]
Barmada M. I.; Conn G. L. Nat. Chem. Biol. 2024, 20, 1555.

DOI

Outlines

/