化学学报 ›› 2026, Vol. 84 ›› Issue (2): 196-207.DOI: 10.6023/A25100334 上一篇 下一篇
研究论文
刘庆a, 陈双龙a, 王秋实a,*(
), 王雪娇b, 刘才龙c
投稿日期:2025-10-11
发布日期:2025-12-10
基金资助:
Qing Liua, Shuanglong Chena, Qiushi Wanga,*(
), Xuejiao Wangb, Cailong Liuc
Received:2025-10-11
Published:2025-12-10
Contact:
*E-mail: wang_jiu_jiu@foxmail.com
Supported by:文章分享
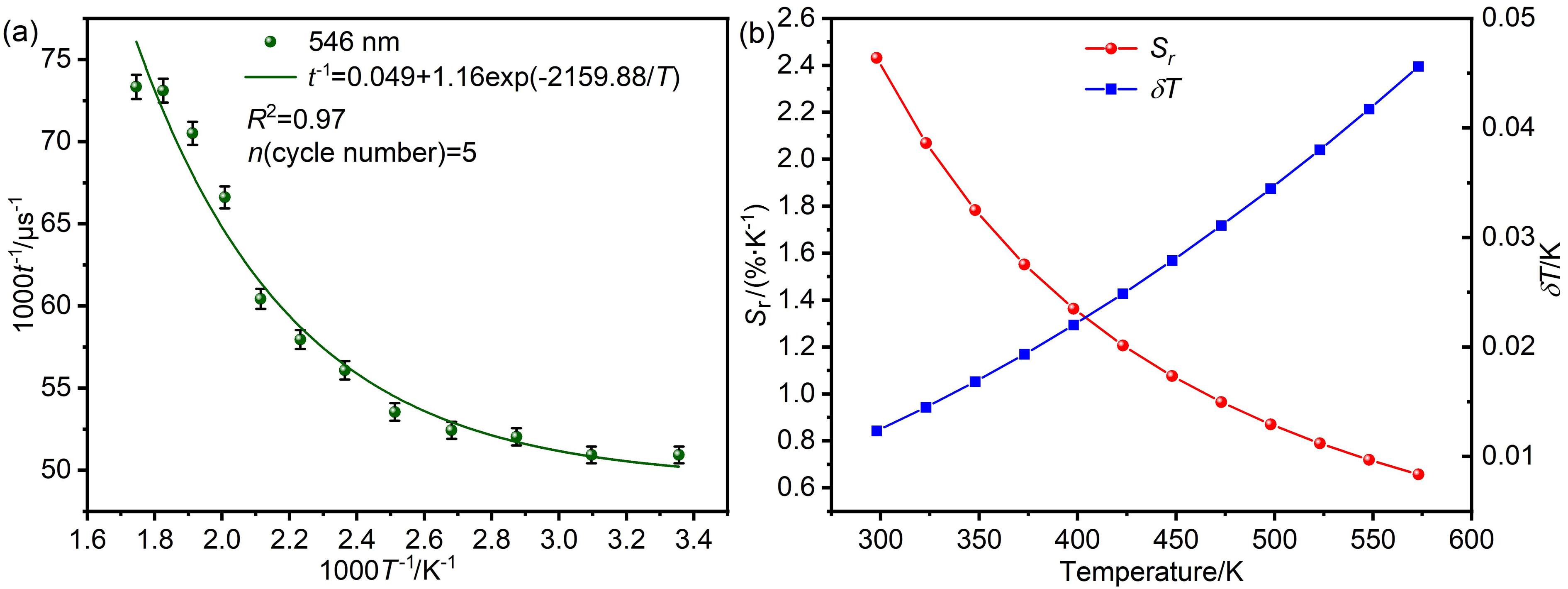
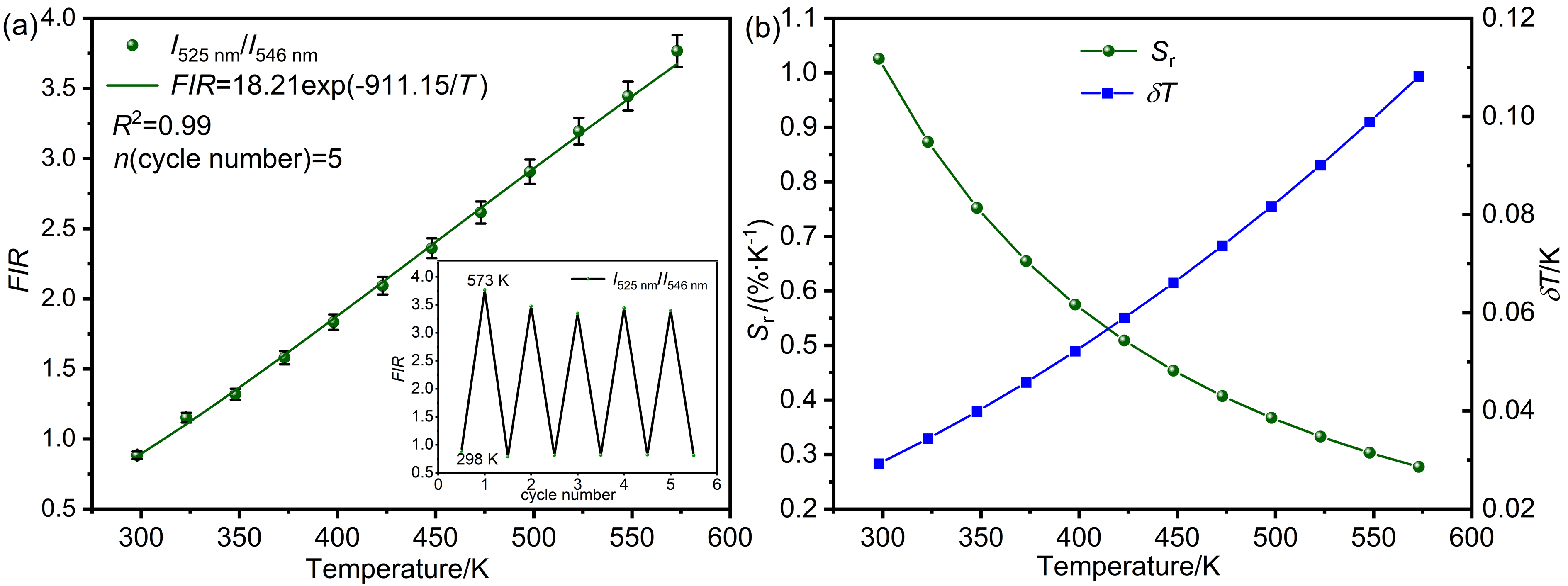
采用直流电弧等离子体法, 以Zn粉, Er2O3和Yb2O3粉末为反应原料, 在氧气环境中成功制备了ZnO:Er3+/Yb3+分级纳米棒. 通过多种表征手段(X射线衍射、Raman、X射线光电子能谱、扫描电子显微镜、透射电子显微镜和光致发光光谱), 系统分析了样品的晶体结构, 形貌和上转换发光性能. 在980 nm激光激发下, 样品在525 nm、546 nm以及662 nm呈现了发光峰. 变温发光(298~573 K)测试表明, 基于热耦合能级(2H11/2和4S3/2)和非热耦合能级(4S3/2和4F9/2)荧光强度比, 其最大相对灵敏度分别可达到1.03 %•K−1和2.20 %•K−1, 而基于4S3/2能级荧光寿命的最大相对灵敏度更是高达2.43 %•K−1. 本研究利用单一发光中心实现了三模态光学测温, 证明该分级纳米棒在宽温度范围内具有优异的信号区分度和高灵敏度, 在光学测温领域展现出重要应用潜力.
刘庆, 陈双龙, 王秋实, 王雪娇, 刘才龙. 等离子体辅助合成ZnO:Er3+/Yb3+分级纳米棒及其上转换发光的三模态光学测温性能[J]. 化学学报, 2026, 84(2): 196-207.
Qing Liu, Shuanglong Chen, Qiushi Wang, Xuejiao Wang, Cailong Liu. Plasma-assisted Synthesis of ZnO:Er3+/Yb3+ Hierarchical Nanorods and Their Upconversion Luminescence-based Trimodal Optical Thermometry Properties[J]. Acta Chimica Sinica, 2026, 84(2): 196-207.
| Er3+/Yb3+掺杂不同基质材料 | 跃迁能级 | 温度范围/K | 最大相对灵敏度/(%•K−1) | 参考文献 |
|---|---|---|---|---|
| NaYF4 | 2H11/2, 4S3/2 | 198~498 | 0.46 | [ |
| β-NaGdF4 | 2H11/2, 4S3/2 | 303~563 | 0.37 | [ |
| NaLnTiO4 | 2H11/2, 4S3/2 | 300~510 | 0.45 | [ |
| LiGa5O8 | 2H11/2, 4S3/2 | 300~480 | 0.35 | [ |
| Ba2SrLu4O9 | 2H11/2, 4S3/2 2H11/2, 4F9/2 | 303~573 | 0.99 0.88 | [ |
| Ca3Y2Ge3O12 | 2H11/2, 4S3/2 2H11/2, 4F9/2 | 293~473 | 1.29 1.09 | [ |
| ZnO | 2H11/2, 4S3/2 2H11/2, 4F9/2 | 298~573 | 1.03 2.20 | 本文 |
| Er3+/Yb3+掺杂不同基质材料 | 跃迁能级 | 温度范围/K | 最大相对灵敏度/(%•K−1) | 参考文献 |
|---|---|---|---|---|
| NaYF4 | 2H11/2, 4S3/2 | 198~498 | 0.46 | [ |
| β-NaGdF4 | 2H11/2, 4S3/2 | 303~563 | 0.37 | [ |
| NaLnTiO4 | 2H11/2, 4S3/2 | 300~510 | 0.45 | [ |
| LiGa5O8 | 2H11/2, 4S3/2 | 300~480 | 0.35 | [ |
| Ba2SrLu4O9 | 2H11/2, 4S3/2 2H11/2, 4F9/2 | 303~573 | 0.99 0.88 | [ |
| Ca3Y2Ge3O12 | 2H11/2, 4S3/2 2H11/2, 4F9/2 | 293~473 | 1.29 1.09 | [ |
| ZnO | 2H11/2, 4S3/2 2H11/2, 4F9/2 | 298~573 | 1.03 2.20 | 本文 |
| Er3+/Yb3+掺杂不同基质材料 | 跃迁能级 | 温度范围/K | 最大相对灵敏度/(%•K−1) | 参考文献 |
|---|---|---|---|---|
| Ca2MgWO6 | 4S3/2 | 303~573 | 0.11 | [ |
| Ba9Y2Si6O24 | 4S3/2 | 303~483 | 0.14 | [ |
| Na2YMg2(VO4)3 | 4S3/2 | 323~573 | 0.09 | [ |
| Ba2SrLu4O9 | 4S3/2 | 303~573 | 0.36 | [ |
| Y1. 88WO6 | 4S3/2 | 303~543 | 0.10 | [ |
| Ca3Y2Ge3O12 | 4S3/2 | 293~473 | 1.03 | [ |
| ZnO | 4S3/2 | 298~573 | 2.43 | 本文 |
| Er3+/Yb3+掺杂不同基质材料 | 跃迁能级 | 温度范围/K | 最大相对灵敏度/(%•K−1) | 参考文献 |
|---|---|---|---|---|
| Ca2MgWO6 | 4S3/2 | 303~573 | 0.11 | [ |
| Ba9Y2Si6O24 | 4S3/2 | 303~483 | 0.14 | [ |
| Na2YMg2(VO4)3 | 4S3/2 | 323~573 | 0.09 | [ |
| Ba2SrLu4O9 | 4S3/2 | 303~573 | 0.36 | [ |
| Y1. 88WO6 | 4S3/2 | 303~543 | 0.10 | [ |
| Ca3Y2Ge3O12 | 4S3/2 | 293~473 | 1.03 | [ |
| ZnO | 4S3/2 | 298~573 | 2.43 | 本文 |
| [1] |
doi: 10.1021/acs.inorgchem.9b01229 |
| [2] |
doi: 10.6023/A13050490 |
|
(魏忠杰, 刘桂霞, 董相廷, 王进贤, 于文生, 化学学报, 2014, 72, 257.)
doi: 10.6023/A13050490 |
|
| [3] |
doi: 10.6023/A20050154 |
|
(黄清明, 化学学报, 2020, 78, 968.)
doi: 10.6023/A20050154 |
|
| [4] |
doi: 10.6023/A21120618 |
|
(胡晓柯, 商晓颖, 黄萍, 郑伟, 陈学元, 化学学报, 2022, 80, 244.)
doi: 10.6023/A21120618 |
|
| [5] |
doi: 10.1002/adom.v6.17 |
| [6] |
doi: 10.1016/j.cej.2019.06.015 |
| [7] |
doi: 10.1016/j.jlumin.2020.117145 |
| [8] |
doi: 10.1016/j.jnoncrysol.2021.121055 |
| [9] |
doi: 10.1039/C8TC02401D |
| [10] |
doi: 10.1016/j.cej.2020.125178 |
| [11] |
doi: 10.1021/acs.jpclett.1c04000 |
| [12] |
doi: 10.1021/jp0686689 |
| [13] |
doi: 10.1016/j.ceramint.2021.10.080 |
| [14] |
doi: 10.1039/C8TC03642J |
| [15] |
doi: 10.1111/jace.v107.7 |
| [16] |
doi: 10.1016/j.cej.2020.127470 |
| [17] |
doi: 10.1039/D3NR00893B |
| [18] |
doi: 10.1007/s12034-025-03432-3 |
| [19] |
doi: 10.1021/acs.inorgchem.0c02118 |
| [20] |
doi: 10.1016/j.cej.2021.128977 |
| [21] |
doi: 10.1021/acsami.5b06036 |
| [22] |
doi: 10.1016/j.ceramint.2020.09.106 |
| [23] |
doi: 10.1039/C8TC03851A |
| [24] |
doi: 10.1016/j.jallcom.2018.07.012 |
| [25] |
|
|
(李敬远, 刘欣, 刘胜杰, 中国材料进展, 2024, 43, 1118.)
|
|
| [26] |
doi: 10.1016/j.jcis.2011.03.036 |
| [27] |
doi: 10.1016/j.tsf.2014.03.078 |
| [28] |
doi: 10.1016/j.saa.2015.05.081 pmid: 26092606 |
| [29] |
doi: 10.1063/1.2980326 |
| [30] |
doi: 10.1166/jnn.2021.19489 pmid: 33980385 |
| [31] |
doi: 10.6023/A19070268 |
|
(孟双艳, 王明明, 吕柏霖, 薛群基, 杨志旺, 化学学报, 2019, 77, 1184.)
doi: 10.6023/A19070268 |
|
| [32] |
doi: 10.6023/A24110358 |
|
(佟浩, 邓玉雪, 李磊, 陶铮, 申来法, 张校刚, 化学学报, 2025, 83, 110.)
doi: 10.6023/A24110358 |
|
| [33] |
doi: 10.1007/s10854-018-9645-4 |
| [34] |
doi: 10.1016/j.sna.2017.11.033 |
| [35] |
doi: 10.1016/j.sna.2018.11.043 |
| [36] |
doi: 10.1088/2050-6120/aa9c13 |
| [37] |
doi: 10.1063/1.4906976 |
| [38] |
doi: 10.5185/amlett.2015.5801 |
| [39] |
doi: 10.1016/j.solidstatesciences.2008.10.016 |
| [40] |
doi: 10.1088/0022-3727/42/21/215007 |
| [41] |
doi: 10.1016/j.seppur.2019.115726 |
| [42] |
doi: 10.1039/C6TC04296A |
| [43] |
|
| [44] |
|
| [45] |
doi: 10.1039/c2nr31316b |
| [46] |
doi: 10.1039/C5RA08325G |
| [47] |
doi: 10.1016/j.jallcom.2022.164461 |
| [48] |
doi: 10.1039/c2ce26757h |
| [49] |
doi: 10.1016/j.jlumin.2015.06.017 |
| [50] |
doi: 10.1039/c1ce05159h |
| [51] |
doi: 10.6023/A13020187 |
|
(黄清明, 俞瀚, 张新奇, 俞建长, 化学学报, 2013, 71, 1071.)
doi: 10.6023/A13020187 |
|
| [52] |
doi: 10.1021/acs.jpcc.5b11786 |
| [53] |
doi: 10.1021/acs.inorgchem.0c01543 |
| [54] |
doi: 10.1016/j.saa.2007.02.017 |
| [55] |
doi: 10.1088/1742-6596/1695/1/012041 |
| [56] |
doi: 10.1016/j.jlumin.2023.119907 |
| [57] |
|
|
(李玉强, 杨健, 王帅, 郑基源, 赵炎, 周恒为, 刘玉学, 人工晶体学报, 2024, 53, 649.)
|
|
| [58] |
doi: 10.1039/c3ra47264g |
| [59] |
|
|
(于晓晨, 李华健, 高博扬, 蒋银林, 李小杰, 郑荣芳, 吴涵, 宋泽钰, 樊继斌, 赵鹏, 材料导报, 2022, 36, 21050128.)
|
|
| [60] |
doi: 10.1016/j.molstruc.2019.127665 |
| [61] |
doi: 10.1039/D1CE01651B |
| [62] |
doi: 10.1016/j.jlumin.2022.119121 |
| [63] |
doi: 10.1016/j.jlumin.2023.120331 |
| [64] |
doi: 10.1016/j.jlumin.2019.116632 |
| [65] |
doi: 10.1016/j.jallcom.2015.02.170 |
| [66] |
doi: 10.1039/C4RA11771A |
| [67] |
doi: 10.1039/C7TC04410K |
| [68] |
doi: 10.1016/j.matchemphys.2017.12.007 |
| [69] |
doi: 10.1021/acs.inorgchem.8b00102 pmid: 29664625 |
| [1] | 徐梦鑫, 杨智健, 孙径, 邹文强, 徐忠宁, 郭国聪. Pd/Pr-CeO2催化剂载体氧空位调控CO酯化制碳酸二甲酯选择性[J]. 化学学报, 2025, 83(7): 655-660. |
| [2] | 康健, 石梓煊, 李景梅. 高抗菌性光催化材料的制备及LED光驱动其抗菌性能研究[J]. 化学学报, 2024, 82(9): 962-970. |
| [3] | 王志强, 苏进展. 磷酸钴修饰Cu3V2O8/ZnO光阳极的动力学特性及光电化学水分解研究[J]. 化学学报, 2024, 82(1): 26-35. |
| [4] | 刘俊瑞, 陈晶琳, 杨杰, 许肖锋, 李若男, 黄有桂, 陈少华, 叶欣, 王维. 钾位铈掺杂黄钾铁矾的磷吸附特性及机理研究※[J]. 化学学报, 2022, 80(4): 476-484. |
| [5] | 胡晓柯, 商晓颖, 黄萍, 郑伟, 陈学元. NaYF4:Yb3+/Er3+单颗粒微米棒偏振上转换发光及其取向示踪※[J]. 化学学报, 2022, 80(3): 244-248. |
| [6] | 黄清明. 亚晶格能量团簇构建及晶场调控对四方LiYF4:RE上转换发光机制的影响研究[J]. 化学学报, 2020, 78(9): 968-979. |
| [7] | 熊静芳, 肖佩, 吴强, 王喜章, 胡征. 氧化锌多孔微米花的制备及其气敏性能研究[J]. 化学学报, 2014, 72(4): 433-439. |
| [8] | 郭畅, 李茂国. 稀土掺杂LaF3超小发光纳米晶的合成及癌细胞靶向上转换发光成像研究[J]. 化学学报, 2014, 72(2): 215-219. |
| [9] | 郝锐, 邓霄, 杨毅彪, 陈德勇. ZnO纳米线/棒阵列的水热法制备及应用研究进展[J]. 化学学报, 2014, 72(12): 1199-1208. |
| [10] | 黄清明, 俞瀚, 张新奇, 俞建长. 不同形貌Er, Yb共掺六方NaYF4的合成及上转换发光特性研究[J]. 化学学报, 2013, 71(07): 1071-1078. |
| [11] | 谢云龙, 钟国, 杜高辉. 硫化锌与硫化锌/氧化锌异质结纳米线的化学气相沉积法制备与表征[J]. 化学学报, 2012, 70(10): 1221-1226. |
| [12] | 邵纯红, 李芬, 王路, 庞静, 王伟. 多周期脱硫/再生对脱硫剂Ce-Fe/ZnO表面结构及再生性能影响[J]. 化学学报, 2011, 69(24): 3037-3042. |
| [13] | 郑建华, 张晓凯, 卢慧粉. 特定条件下的定向ZnO纳米棒的制备及表征[J]. 化学学报, 2011, 69(20): 2434-2438. |
| [14] | 米日古力?莫合买提, 阿斯娅?克里木, 帕提曼?尼扎木丁, 阿布力孜?伊米提. 溶胶-凝胶法制备氧化锌薄膜/锡掺杂玻璃光波导及其气敏性研究[J]. 化学学报, 2011, 69(15): 1840-1844. |
| [15] | 孙建平, 翁家宝, 林婷, 马琳璞. 聚(2-甲氧基-5-辛氧基)对苯乙炔/Tb4O7纳米复合材料的制备及其光物理性能研究[J]. 化学学报, 2010, 68(13): 1337-1342. |
| 阅读次数 | ||||||
|
全文 |
|
|||||
|
摘要 |
|
|||||