研究论文

电子给体的同分异构策略调控萘二酰亚胺基配位聚合物的光致变色性能

  • 秦晋 a ,
  • 张士民 c ,
  • 郝朋飞 , b, * ,
  • 申秋 b ,
  • 朱慧慧 b ,
  • 沈俊菊 b ,
  • 付云龙 , b, *
展开
  • a 山西师范大学材料科学与工程学院 太原 030031
  • b 山西师范大学化学与化工学院 太原 030031
  • c 运城学院应用化学系 运城 044000

收稿日期: 2025-11-19

  网络出版日期: 2026-01-21

基金资助

项目受山西省科技厅(20210302123324)

项目受山西省科技厅(201901D111275)

运城学院应用研究项目(YY-202510)

运城学院博士科研启动项目(YXBQ-202519)

山西省高等学校科技创新项目(2025L111)

优秀博士来晋专项经费(LJZX-2-202509)

Regulating Photochromic Properties of Naphthalenediimide-Based Coordination Polymers through Isomerization Strategy of Electron Donors

  • Qin Jin a ,
  • Zhang Shimin c ,
  • Hao Pengfei , b, * ,
  • Shen Qiu b ,
  • Zhu Huihui b ,
  • Shen Junju b ,
  • Fu Yunlong , b, *
Expand
  • a School of Materials Science and Engineering, Shanxi Normal University, Taiyuan 030031, China
  • b School of Chemistry and Chemical Engineering, Shanxi Normal University, Taiyuan 030031, China
  • c Department of Applied Chemistry, Yuncheng University, Yuncheng 044000, China

Received date: 2025-11-19

  Online published: 2026-01-21

Supported by

Natural Science Foundation of Science and Technology Agency of Shanxi Province(20210302123324)

Natural Science Foundation of Science and Technology Agency of Shanxi Province(201901D111275)

Applied Research Project of Yuncheng University(YY-202510)

Doctoral Research Start-up Project of Yuncheng University(YXBQ-202519)

Scientific and Technologial Innovation Programs of Higher Education Institutions in Shanxi(2025L111)

“LJ” Special Funds of Distinguished Doctorates(LJZX-2-202509)

摘要

电子给-受体(ED-EA)的界面关系是决定光致变色配位聚合物(PCCPs)光致变色性能的关键因素, 然而界面关系的调控仍处于初级阶段并且面临着严峻的挑战. 将N,N-二-(3-吡啶基)-1,4,5,8-萘二酰亚胺(3-DPNDI)和Zn(NO3)2分别与苯二甲酸的两个同分异构体[邻苯二甲酸(o-BDC)和间苯二甲酸(m-BDC)]进行组装, 构筑了两个PCCPs, [Zn(3-DPNDI)- (o-BDC)] (1)和[Zn(3-DPNDI)0.5(m-BDC)(H2O)]•2H2O (2). 利用单晶X射线衍射(SCXRD)、粉末X射线衍射(PXRD)、傅里叶变换红外光谱(FT-IR)、热重分析(TG)、紫外-可见(UV-Vis)吸收光谱和电子顺磁共振(EPR)等技术对12进行了详细的表征. 紫外光照射下, 12呈现不同的光致变色性能, 主要表现在颜色变化和光响应速率两个方面. 尽管二者具有相同的变色时间, 然而2吸光度的改变量ΔAbs远大于1, 表明2具有更快的变色速率, 并通过动力学曲线进一步证实. 两个PCCPs光致变色性能的差异主要归因于同分异构电子给体的引入以及不同ED-EA间界面关系的形成. 提出了一种通过引入同分异构电子给体调变CPs光致变色性能的策略, 为构建具有可调的光响应功能材料奠定了坚实的基础.

本文引用格式

秦晋 , 张士民 , 郝朋飞 , 申秋 , 朱慧慧 , 沈俊菊 , 付云龙 . 电子给体的同分异构策略调控萘二酰亚胺基配位聚合物的光致变色性能[J]. 化学学报, 2026 , 84(3) : 364 -369 . DOI: 10.6023/A25110378

Abstract

The interfacial relationship between electron donors (ED) and acceptors (EA) is a key factor for determining the photochromic performance of photochromic coordination polymers (PCCPs). However, the regulation of the interfacial relationship is still in its infancy and continues to be a severe challenge. In this work, two PCCPs, [Zn(3-DPNDI)(o-BDC)] (1) and [Zn(3-DPNDI)0.5(m-BDC)(H2O)]•2H2O (2), have been successfully obtained through the assembly of N,N-di-(3- pyridyl)-1,4,5,8-naphthalenedicarboximide (3-DPNDI) and zinc nitrate (Zn(NO3)2) with two isomers of terephthalic acids [o-phthalic acid (o-BDC) and m-phthalic acid (m-BDC)]. Compounds 1 and 2 have been characterized in detail by single-crystal X-ray diffraction (SCXRD), powder X-ray diffraction (PXRD), Fourier transform infrared spectroscopy (FT-IR), thermogravimetry (TG), ultraviolet-visible (UV-vis) absorption spectroscopy, and electron paramagnetic resonance (EPR). Upon ultraviolet light (365 nm) irradiation, 1 and 2 exhibited different color change (from light brown to dark brown for 1 vs. from light brown to tan for 2) and photochromic response rates (color change time, 1 s for 1 vs. 1 s for 2; saturated time, 90 min for 1 vs. 30 min for 2). Although both 1 and 2 have the same color change time (1 s), the change of absorbance ΔAbs of 2 (0.07) is much larger than that of 1 (0.02), indicating that 2 has a faster photoresponse rate. Meanwhile, this result was further confirmed by the kinetic curves (1: 0.0078 s-1 and 2: 0.0110 s-1). The significantly different photochromic properties of the CPs are mainly attributed to the introduction of isomeric electron donors, which gives rise to different weak interactions be-tween ED and EA, viz. intermolecular electron transfer (ET) channels, demonstrating the subtle modulation effect of isomeric electron donors on the interfacial relationship of ED-EA and photochromic properties. This paper proposes a strategy for modulating the photochromic performance of CPs by introducing isomeric electron donors, which lays a solid foundation for the construction of controllable photoresponsive functional materials.

1 引言

近年来, 随着科技的不断进步, 人们对于新材料的使用需求不断增加. 其中光致变色材料不仅是新材料的典型代表, 而且属于智能材料的范畴, 其在智能窗、信息存储、防伪和传感等领域均具有重要的应用[1-5].
到目前为止, 光致变色材料主要分为无机、有机以及无机-有机杂化(配位聚合物/金属-有机框架[6-7])三类. 其中无机光致变色材料以多金属氧酸盐为典型代表, 变色机理为光诱导的金属离子价态变化(W6+→W5+), 例如, 2025年, 王训团队[8]合成了1 nm氧化钨纳米线, 光照15 s内, 可以发生由无色到蓝色的颜色转变. 偶氮化合物和螺吡喃是有机光致变色材料的“代言人”, 其中偶氮化合物的变色机理为光诱导的顺反异构[9], 而螺吡喃的变色机理为光诱导的电环化[10]. 无机-有机杂化光致变色材料将无机组分和有机组分结合, 通过“协同作用”改善材料的光致变色性能. 值得关注的是, 无机-有机杂化变色材料的机理大都是光诱导的分子间电子转移(ET). ET机制的优势在于对结构的影响相对较小, 为提升材料的光致变色性能(包括光响应速率、颜色对比度、可逆性和循环稳定性等)奠定了良好的基础[11-12]. 因此, 无机-有机杂化光致变色材料引起了广泛的关 注[13-19]. 为进一步优化无机-有机杂化光致变色材料的变色性能, 科研工作者提出了电子给受能力和界面关系匹配(ED和EA之间的相对位置关系, 包括堆积方式和距离等)两种策略. 研究表明, 这两种策略对于优化光致变色性能和提升光响应速率具有重要作用. 虽然基于给受能力匹配的策略(强强和弱弱匹配)已被充分研 究[20-23], 但是针对界面关系匹配策略的探索仍处于研究初期.
界面关系会影响ET通道和电荷转移(CT), 从而影响光诱导ET以及相伴而生的有色自由基和光致变色性能. 从以往的研究来看, 由于CT过强会降低电子受体接受电子的能力, 因此过强的CT会抑制光诱导ET, 最终造成光致变色性能的下降[24]. 另外, 部分研究表明, 适中的CT (ET通道相对较短)可以促进光诱导ET[25]. 因此, 调变界面关系实现CT和ET的微妙平衡是优化光致变色配位聚合物(PCCPs)光致变色性能的有效策略.
基于上述考虑, 本工作在Zn2+的存在下, 将两个同分异构体[邻苯二甲酸(o-BDC)和间苯二甲酸(m-BDC)]分别与3-DPNDI进行组装, 构筑了两个PCCPs, [Zn(3- DPNDI)(o-BDC)] (1)和[Zn(3-DPNDI)0.5(m-BDC)(H2O)]• 2H2O (2). 12表现出不同的光响应速率和颜色对比度, 主要归因于同分异构电子给体的引入, 从而形成具有明显差异的ED-EA间电子转移通道. 本工作提出了一种通过引入同分异构电子给体(图1)调控ED-EA间界面关系和光致变色性能的有效策略, 为具有可控光刺激响应变色性能的PCCPs构筑奠定了坚实的基础.
图1 同分异构体(邻苯二甲酸o-BDC和间苯二甲酸m-BDC)

Figure 1 Isomeride (o-BDC and m-BDC)

2 结果与讨论

2.1 [Zn(3-DPNDI)(o-BDC)] (1)单晶结构

1结晶于三斜晶系(P-1空间群, CCDC: 2503189), 不对称单元包括一个Zn2+离子、两半个3-DPNDI分子和一个完全去质子的o-BDC2-, 其中o-BDC2-的两个羧基相互垂直, 这是位阻效应导致的(图2a). Zn2+离子采取四配位四面体构型, 其中两个N原子来源于两个3-DPNDI配体, 两个O原子来源于两个o-BDC2-, 其中Zn—N键键长为0.206(13)和0.207(13) nm, Zn—O键键长为0.195(12)和0.197(11) nm, 与已报道的锌基配位聚合物的值基本一致[26]. 两个o-BDC2-和两个金属离子相连形成二核簇(图2b中粉色圆环), 二核簇通过3-DPNDI配体连接形成具有“方格状”孔道的二维(2D)层(图2b). 2D层交错堆积导致“方格状”孔道的消失并进一步通过π-π作用形成三维(3D)超分子网络(图2c). 二维层可以被简化为4-连接单节点sql拓扑, 拓扑符号为44.62(图2d).
图2 1的单晶结构: (a)不对称结构单元, (b)具有方格孔道的2D层, (c) 3D超分子网络, (d) 4-连接单节点sql拓扑

Figure 2 Single-crystal structure of 1: (a) asymmetric unit, (b) 2D layer with grid-shaped channels, (c) 3D supramolecular network, (d) 4-c single-node sql topology

2.2 [Zn(3-DPNDI)0.5(m-BDC)(H2O)]•2H2O (2)单晶结构

2结晶于三斜晶系(P-1空间群, CCDC: 2503190), 非对称结构单元如图3a所示, 主要包括一个Zn2+离子、半个3-DPNDI配体、一个完全去质子的m-BDC2-、一个配位水分子和两个晶格水分子. Zn2+离子为四配位(ZnO3N, 四面体构型), 其中三个氧原子分别来源于两个m-BDC2-和一个水, 一个氮原子来源于一个3- DPNDI配体. Zn—O键键长范围为0.196(18)~0.199(17) nm, Zn—N键键长为0.205(2) nm. m-BDC2-和金属相连形成一维(1D)金属-羧酸链(图3b), 两个链之间通过3-DPNDI配体进一步连接形成梯状链(图3b). 梯状链可以进一步简化为3-连接单节点拓扑(图S1, 见支持信息). 由于m-BDC2-和水的配位使结构不能向b方向延伸, 最终不能形成3D结构. 另外, 每个梯状链之间通过m-BDC2-之间的π-π相互作用(0.357(11) nm)形成2D超分子层(图3c). 最后, 每个2D超分子层之间通过m-BDC2-和3-DPNDI之间的π-π相互作用形成3D超分子网络(图3d).
图3 2的单晶结构: (a)不对称结构单元, (b) 1D羧酸-金属链和1D梯状链, (c) 2D超分子层, (d) 3D超分子网络

Figure 3 Single-crystal structure of 2: (a) asymmetric unit, (b) 1D carboxylic acid-metal chain and 1D ladder-shaped chain, (c) 2D supramolecular layer, (d) 3D supramolecular network

2.3 粉末X射线衍射(PXRD)及热重(TG)分析

如图S2(见支持信息)所示, 实验谱的衍射峰基本与模拟谱的衍射峰吻合, 表明所合成的晶体是纯相. 为了考察12的热稳定性, 对其进行了热重测试(图S3, 见支持信息). 1在295 ℃之前可以稳定存在, 继续加热导致其骨架坍塌. 2在95 ℃之前是稳定的, 在95~390 ℃的失重主要归因于两个晶格水的丢失(实验值7.20%, 理论值7.29%), 继续加热到390 ℃会导致骨架分解. 2的骨架比1稳定的原因可能是由于不同电子给体的引入.

2.4 光致变色性能及变色机理

12具有一定的初始颜色, 主要原因是分子间的CT作用(由于d10电子构型金属Zn2+的使用, 排除了d-d跃迁引起颜色的可能). 如图4a4b所示, 紫外光(365 nm)照射下, 1在1 s以内发生变色, 由浅棕色变为棕黑色, 大约90 min饱和, 2在1 s内发生由浅棕色到褐色的颜色变化, 饱和时间大约为30 min. 12的变色行为是可逆的, 加热条件下12均可以褪色. 另外, 12的变色-褪色过程至少可以重复3次(图S4, 见支持信息). 光照后, 1在487、608、719和801 nm出现新的吸收峰, 2在492、545、617、707和787 nm处出现新的吸收峰, 这些吸收峰基本与NDI自由基的吸收峰保持一致, 初步表明变色行为归因于ET和NDI自由基的产生. 光照前后, PXRD和FT-IR基本保持不变(图S2和S5, 见支持信息), 排除结构改变的可能性, 并间接验证了ET机制. 为获得更为直观的证据, 我们对单晶样品进行了EPR测试(图4c, 4d). 光照前, 1没有自由基信号, 2具有微弱的自由基信号, 表明2具有相对优异的光敏性. 光照后, 二者的自由基信号(1: g=2.003; 2: g=2.001)明显增强, 确定了变色机理为ET. 为了获得更多的结构信息, 我们尝试测试了光照后1P的单晶结构(CCDC: 2522845, 表S1, 见支持信息). 研究发现, 单胞参数bc由1.1722(13)和1.4103(15) nm增加到1.1780(8)和1.4201(9) nm, 同时单胞体积由1.3106(3) nm3膨胀到1.3189(15) nm3, 生成自由基后会产生静电排斥, 导致结构轻微膨胀, 这与我们之前的研究结果一致[27], 进一步证明了ET机制.
图4 变色前后, (a) 1和(b) 2的紫外-可见吸收光谱及变色行为以及(c) 1和(d) 2的电子顺磁共振谱

Figure 4 Ultraviolet-visible absorption spectra and photochromic behavior of (a) 1 and (b) 2, and EPR spectra of (c) 1 and (d) 2, before and after color change

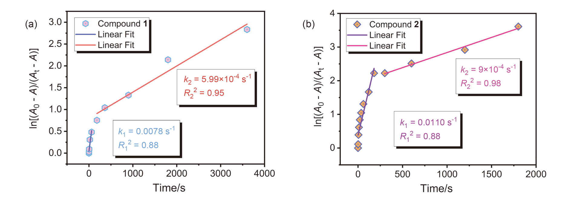
我们发现, 12的变色时间均为1 s, 不利于对比两个化合物的变色速率. 于是, 我们计算了固定光照时间[28](1 s)光照前后吸光度的改变量(ΔAbs). 其中, 1ΔAbs为0.02, 而化合物2ΔAbs为0.07, 表明2具有更快的光致变色速率. 为进一步证实这一结论, 我们分别绘制了12的动力学曲线[29], 结果表明二者均属于两阶段一级动力学(分为单晶表面和内部). 12的速率常数k1分别为0.0078和0.0110 s-1, 速率常数k2分别为5.99×10-4和9×10-4 s-1. 2的速率常数明显大于1, 进一步表明, 2具有更优异的光致变色性能(图5).
图5 (a) 1(基于487 nm吸收峰)和(b) 2(基于492 nm吸收峰)的动力学曲线

Figure 5 Kinetics curve of (a) 1 (based on 487 nm) and (b) 2 (based on 492 nm)

2.5 界面关系分析

为了探明结构和光致变色性能之间的构效关系, 我们对12中ED-EA间界面关系进行了详细的分析. 如图6所示, 12中ED和EA之间通过π-π相互作用[1: 0.362(3)、0.372(3)和0.378(4) nm; 2: 0.358(10)、0.364(10) 和0.375(10) nm]分别形成了离散的[ED-EA-ED]和无限的[ED-EA-ED]堆积模式. 这种不同强度的界面关系的形成主要归因于位置异构同分异构电子给体的引入. 如图S6(见支持信息)所示, 与1相比, 2的吸收边带明显红移, 表明化合物2具有更强的CT作用, 主要是由于2中ED-EA间具有相对较强的π-π相互作用. 并且, 2具有比1更快的光响应速率的原因可能归因于其ED-EA间较短的ET通道. 因此, 本研究证实了适中的CT有利于促进光诱导ET. 另外, 1具有相对较长的饱和时间, 是由于其具有相对较弱的CT, 导致其电子受体可以接受更多的电子.
图6 (a) 1和(b) 2的电子转移通道

Figure 6 Electron transfer channels of (a) 1 and (b) 2

3 结论

以3-DPNDI为电子受体, 金属Zn2+为节点, 分别和邻苯二甲酸/间苯二甲酸进行组装, 构筑了两例PCCPs, [Zn(3-DPNDI)(o-BDC)] (1)和[Zn(3-DPNDI)0.5(m-BDC)- (H2O)]•2H2O (2). 化合物12展现不同的光响应速率和颜色对比度, 主要归因于同分异构芳香羧酸电子给体的引入导致界面关系的差异. 另外, 过强的CT会降低电子受体接受电子的能力, 过弱的CT不利于ET, 本研究发现适中的CT作用有利于PCCPs光致变色性能的提升. 本研究发展了一种通过同分异构电子给体调控ED- EA界面关系和光致变色性能的有效策略, 为具有可控光刺激响应变色性能的PCCPs构筑提供一条简单可行的路径.

4 实验部分

4.1 试剂与仪器

1,4,5,8-萘二酰亚胺购自上海迈瑞尔化学技术有限公司, 3-氨基吡啶购自上海麦克林生化科技有限公司, 邻苯二甲酸和间苯二甲酸购自上海阿拉丁生化科技股份有限公司, 硝酸锌购自成都化夏化学试剂有限公司, N,N-二甲基甲酰胺(DMF)购自天津市科密欧化学试剂有限公司, 所有试剂购买后直接使用. N,N-二-(3-吡啶基)-1,4,5,8-萘二酰亚胺(3-DPNDI)根据文献[30]合成.
X射线粉末衍射仪(日本理学公司, Ultima IV-I85), 热重分析仪(北京恒久, HCT-2), 紫外-可见吸收光谱仪(上海元析仪器有限公司, METASH UV-9000S), 傅立叶变换红外光谱仪(Varian公司, Varian660-IR), 电子自旋共振谱仪(布鲁克, A300-10/12), X射线单晶衍射仪(布鲁克, D8 Venture), 光源(300 W、365 nm的紫外灯光源).

4.2 [Zn(3-DPNDI)(o-BDC)] (1)的合成

将0.021 g (0.05 mmol) 3-DPNDI、0.019 g (0.1 mmol)硝酸锌和0.0084 g (0.05 mmol)邻苯二甲酸置于烧杯中, 加入1 mL DMF和2 mL水. 随后将反应液转移至带有聚四氟乙烯内衬的反应釜中, 于95 ℃的烘箱中反应4 d. 反应液经抽滤、洗涤及干燥, 得浅棕色块状晶体[31], 产率为43%(基于3-DPNDI). Anal. calcd for C32H16N4- O8Zn: C 59.14, H 2.48, N 8.62; found C 60.12, H 2.36, N 8.58.

4.3 [Zn(3-DPNDI)0.5(m-BDC)(H2O)]•2H2O (2)的合成

将0.021 g (0.05 mmol) 3-DPNDI、0.019 g (0.1 mmol)硝酸锌和0.0084 g (0.05 mmol)间苯二甲酸溶于DMF/H2O (VV=4∶2, 6 mL)的混合溶液中, 随后将溶液转移至带有聚四氟乙烯内衬的反应釜中, 于95 ℃的烘箱中反应48 h. 反应液经抽滤、洗涤及干燥, 得棕黄色块状晶体[32], 产率为42%(基于3-DPNDI). Anal. calcd for C20H16N2O9Zn: C 48.65, H 3.27, N 5.67; found C 48.71, H 3.34, N 5.71.
(Zhao, C.)
[1]
Yao H.; Cao W. Y.; Wang J. W.; Yang F. X.; Qin S. N.; Wei T. B.; Shi B. B.; Lin Q. Chin. J. Chem. 2025, 43, 1487.

DOI

[2]
Li N. Y.; Liu D.; Abrahams B. F.; Lang J. P. Chem. Commun. 2018, 54, 5831.

DOI

[3]
Han X. T.; Yi Z. H.; Gao Y. F.; Wang Z. P.; Su T.; Wu J. B.; Liang Z. Q.; Li J. Y. Inorg. Chem. 2025, 64, 20415.

DOI

[4]
Zhang Q. Q.; Wang Y.; Braunstein P.; Lang J. P. Chem. Soc. Rev. 2024, 53, 5227.

DOI

[5]
Hu F. L.; Wang H. F.; Guo D.; Zhang H.; Lang J. P.; Beves J. E. Chem. Commun. 2016, 52, 7990.

DOI

[6]
Li S. L.; Han M.; Li G. P.; Li M.; He G.; Zhang X. M. J. Am. Chem. Soc. 2019, 141, 12663.

DOI

[7]
Wang J. F.; Hao P. F.; Zhang S. M.; Xu Y.; Qin J.; Shen J. J.; Fu Y. L. Chem. Eng. J. 2025, 519, 165131.

DOI

[8]
Yu B.; Xiu Y. Y.; Zhang S. M.; Wang X. J. Am. Chem. Soc. 2025, 147, 26626.

DOI

[9]
Ovalle M.; Doellerer D.; Feringa B. L. Angew. Chem., Int. Ed. 2025, 64, e202501872.

[10]
Luo W. F.; Castán J. M. A. C.; Mirani D.; Riquelme A. J.; Sachan A. K.; Kurman O.; Kim S.; Faini F.; Zimmermann P.; Hinderhofer A.; Patel Y.; Frei A. T.; Moser J. E.; Ramirez D.; Schreiber F.; Maldivi P.; Seo J. Y.; Tress W.; Grancini G.; Demadrille R.; Milić J. V. Adv. Mater. 2025, 37, 2420143.

DOI

[11]
Zhang S. M.; Hao P. F.; Yu W. Y.; Zhu H. H.; Yang H. Y.; Shen J. J.; Fu Y. L. Acta Chim. Sinica 2025, 83, 1356 (in Chinese).

DOI

(张士民, 郝朋飞, 于炜玉, 朱慧慧, 杨海英, 沈俊菊, 付云龙, 化学学报, 2025, 83, 1356).

[12]
Han S. D.; Hu J. X.; Wang G. M. Coord. Chem. Rev. 2022, 452, 214304.

DOI

[13]
Chen S. L.; Yang Q. T.; Shen X.; Cheng F. X.; Liu J. J. Inorg. Chem. 2025, 64, 3008.

DOI

[14]
Zhao G. Z.; Jia J. F.; Liu J. J. Cryst. Growth Des. 2025, 25, 9507.

DOI

[15]
Lang F. F.; Pang J. D.; Bu X. H. eScience 2024, 4, 100231.

DOI

[16]
Xue J. H.; Yang D. D.; Shi Y. S.; Yang Y. Y.; Ma Q.; Zheng X. J. Inorg. Chem. Front. 2025, 12, 8315.

DOI

[17]
Di Y. M.; Song Y. P.; Zhang S. Q.; Lin M. J. Inorg. Chem. 2025, 64, 6183.

DOI

[18]
Zhang S. M.; Liu X. X.; Hao P. F.; Li G. P.; Shen J. J.; Fu Y. L. Inorg. Chem. 2023, 62, 14912.

DOI

[19]
Zhou B.; Cao L. H.; Huang M. F.; Yang Y.; Qi S. M.; Cao X. J.; Chen X. Y. Angew. Chem., Int. Ed. 2025, 64, e202504645.

[20]
Yu T. L.; Hao P. F.; Shen J. J.; Li H. H.; Fu Y. L. Dalton Trans. 2016, 45, 16505.

DOI

[21]
Sun C.; Wang M. S.; Li P. X.; Guo G. C. Angew. Chem., Int. Ed. 2017, 56, 554.

DOI

[22]
Gong T.; Yang X.; Fang J. J.; Sui Q.; Xi F. G.; Gao E. Q. ACS Appl. Mater. Interfaces 2017, 9, 5503.

DOI

[23]
Zhang J.; Yao Z. G.; Liao S. J.; Dai J. C.; Fu Z. Y. J. Mater. Chem. A 2013, 1, 4945.

DOI

[24]
Liu J. J.; Xia S. B.; Liu D.; Hou J. Y.; Suo H. B.; Cheng F. X. Dyes Pigm. 2020, 177, 108269.

DOI

[25]
Hao P. F.; Gao B. H.; Li G. P.; Shen J. J.; Fu Y. L. Inorg. Chem. Front. 2022, 9, 2852.

DOI

[26]
Zhao W. N.; Yu G. J.; Xu L. P.; Han L. Inorg. Chem. Commun. 2013, 34, 47.

DOI

[27]
Zhang S. M.; Hao P. F.; Zhang Y. F.; Li G. P.; Shen J. J.; Yang H. Y.; Fu Y. L. Inorg. Chem. Front. 2025, 12, 3919.

DOI

[28]
Zhang S. M.; Hao P. F.; Yang H. Y.; Shen J. J.; Fu Y. L. Inorg. Chem. 2025, 64, 12226.

DOI

[29]
Wang Y.; Zhang Q. Q.; Huang X. Y.; Liu Q.; Lang J. P. J. Am. Chem. Soc. 2025, 147, 22192.

DOI

[30]
Zhu H. H.; Hao P. F.; Shen Q.; Shen J. J.; Li G. P.; Zhao G. Z.; Xing H. Y.; Fu Y. L. CrystEngComm 2021, 23, 3356.

DOI

[31]
Shen Q. M.S. Thesis, Shanxi Normal University, Taiyuan, 2023 (in Chinese).

(申秋, 硕士论文,山西师范大学, 太原, 2023.)

[32]
Zhu H. H. M.S. Thesis, Shanxi Normal University, Taiyuan, 2021 (in Chinese).

(朱慧慧, 硕士论文,山西师范大学, 太原, 2021.)

文章导航

/