Acta Chimica Sinica ›› 2025, Vol. 83 ›› Issue (12): 1538-1550.DOI: 10.6023/A25070259 Previous Articles Next Articles
Article
戴磊a, 葛明成a, 钟野a, 梁琳娜b, 蒋海燕c, 张建国a, 李志敏a,*(
)
投稿日期:2025-07-18
发布日期:2025-09-11
基金资助:
Lei Daia, Mingcheng Gea, Ye Zhonga, Linna Liangb, Haiyan Jiangc, Jianguo Zhanga, Zhimin Lia,*(
)
Received:2025-07-18
Published:2025-09-11
Contact:
* E-mail: lizm@bit.edu.cn
Supported by:Share
Lei Dai, Mingcheng Ge, Ye Zhong, Linna Liang, Haiyan Jiang, Jianguo Zhang, Zhimin Li. Design, Preparation and Performance of Cyanoborohydride Based Coordination Compounds for Hypergolic Fuels[J]. Acta Chimica Sinica, 2025, 83(12): 1538-1550.
| Item No. | MCCHF-1 | MCCHF-2 | MCCHF-3 | MCCHF-4 |
|---|---|---|---|---|
| compounds | Co(1-MTZ)4(CBH)2 | Co(MIM)4(CBH)2 | Ni(MIM)4(CBH)2 | Ni(1-MTZ)4(CBH)2 |
| formula | C10H22B2N18Co | C18H30B2N10Co | C18H30B2N10Ni | C10H22B2N18Ni |
| form. mass | 475.01 | 467.07 | 466.85 | 474.79 |
| T/K | 296.15 | 293(2) | 293(2) | 296(2) |
| crystal system | Monoclinic | Monoclinic | Monoclinic | Monoclinic |
| space group | P21/c | P21/n | P21/c | P21/c |
| a/nm | 0.74388(4) | 0.78597(7) | 0.78521(7) | 0.7377 |
| b/nm | 1.69365(10) | 1.10832(11) | 1.10513(11) | 1.6947 |
| c/nm | 0.94913(5) | 1.41131(13) | 1.56381(14) | 0.9412 |
| α/(°) | 90.00 | 90 | 90 | 90.00 |
| β/(°) | 108.7460(10) | 94.484(2) | 115.738(5) | 108.58 |
| γ/(°) | 90.00 | 90 | 90 | 90.00 |
| V/nm3 | 1.13235(11) | 1.2256(2) | 1.2224(2) | 1.1154 |
| Z | 2 | 2 | 2 | 2 |
| ρcalcd/(g•cm−3) | 1.393 | 1.266 | 1.268 | 1.414 |
| μ/mm−1 | 0.796 | 0.725 | 0.819 | 0.908 |
| F(000) | 490 | 490 | 492 | 492 |
| Goodness-of-fit on F2 | 1.050 | 1.034 | 1.042 | 1.165 |
| Final R indexes [I≥2σ(I)] | R1=0.0413, wR2=0.0842 | R1=0.0954, wR2=0.1554 | R1=0.0895, wR2=0.1861 | R1=0.0732, wR2=0.1662 |
| Final R indexes [all data] | R1=0.0640, wR2=0.0952 | R1=0.2156, wR2=0.1814 | R1=0.1928, wR2=0.2109 | R1=0.1196, wR2=0.1828 |
| CCDC | 2240151 | 2451525 | 2451527 | 2240152 |
| Item No. | MCCHF-1 | MCCHF-2 | MCCHF-3 | MCCHF-4 |
|---|---|---|---|---|
| compounds | Co(1-MTZ)4(CBH)2 | Co(MIM)4(CBH)2 | Ni(MIM)4(CBH)2 | Ni(1-MTZ)4(CBH)2 |
| formula | C10H22B2N18Co | C18H30B2N10Co | C18H30B2N10Ni | C10H22B2N18Ni |
| form. mass | 475.01 | 467.07 | 466.85 | 474.79 |
| T/K | 296.15 | 293(2) | 293(2) | 296(2) |
| crystal system | Monoclinic | Monoclinic | Monoclinic | Monoclinic |
| space group | P21/c | P21/n | P21/c | P21/c |
| a/nm | 0.74388(4) | 0.78597(7) | 0.78521(7) | 0.7377 |
| b/nm | 1.69365(10) | 1.10832(11) | 1.10513(11) | 1.6947 |
| c/nm | 0.94913(5) | 1.41131(13) | 1.56381(14) | 0.9412 |
| α/(°) | 90.00 | 90 | 90 | 90.00 |
| β/(°) | 108.7460(10) | 94.484(2) | 115.738(5) | 108.58 |
| γ/(°) | 90.00 | 90 | 90 | 90.00 |
| V/nm3 | 1.13235(11) | 1.2256(2) | 1.2224(2) | 1.1154 |
| Z | 2 | 2 | 2 | 2 |
| ρcalcd/(g•cm−3) | 1.393 | 1.266 | 1.268 | 1.414 |
| μ/mm−1 | 0.796 | 0.725 | 0.819 | 0.908 |
| F(000) | 490 | 490 | 492 | 492 |
| Goodness-of-fit on F2 | 1.050 | 1.034 | 1.042 | 1.165 |
| Final R indexes [I≥2σ(I)] | R1=0.0413, wR2=0.0842 | R1=0.0954, wR2=0.1554 | R1=0.0895, wR2=0.1861 | R1=0.0732, wR2=0.1662 |
| Final R indexes [all data] | R1=0.0640, wR2=0.0952 | R1=0.2156, wR2=0.1814 | R1=0.1928, wR2=0.2109 | R1=0.1196, wR2=0.1828 |
| CCDC | 2240151 | 2451525 | 2451527 | 2240152 |
| MCCHF-1 | MCCHF-2 | MCCHF-3 | MCCHF-4 | |
|---|---|---|---|---|
| Ma/(g•mol−1) | 475.01 | 467.07 | 466.85 | 474.79 |
| ρb/(g•cm−3) | 1.393 | 1.266 | 1.268 | 1.414 |
| tidc/ms | 2 | 20 | 57 | 37 |
| Tp d/℃ | 152.4 | 176.3 | 171.8 | 168.8 |
| Eg e/(kJ•g−1) | 20.44 | 25.41 | 23.77 | 18.36 |
| Ev f/(kJ•cm−3) | 28.47 | 32.17 | 30.14 | 25.97 |
| ISg/J | 8 | >40 | >40 | 17 |
| FSh/N | 288 | >360 | >360 | 216 |
| ΔUc i/(J•g−1) | -20433.05 | -25434.78 | -23746.10 | -18367.83 |
| ΔHc j/(kJ•mol−1) | -9709.2 | -11868.24 | -11097.02 | -8717.14 |
| ΔHf k/(kJ•mol−1) | 1051.95 | -1080.41 | -1786.25 | 125.27 |
| MCCHF-1 | MCCHF-2 | MCCHF-3 | MCCHF-4 | |
|---|---|---|---|---|
| Ma/(g•mol−1) | 475.01 | 467.07 | 466.85 | 474.79 |
| ρb/(g•cm−3) | 1.393 | 1.266 | 1.268 | 1.414 |
| tidc/ms | 2 | 20 | 57 | 37 |
| Tp d/℃ | 152.4 | 176.3 | 171.8 | 168.8 |
| Eg e/(kJ•g−1) | 20.44 | 25.41 | 23.77 | 18.36 |
| Ev f/(kJ•cm−3) | 28.47 | 32.17 | 30.14 | 25.97 |
| ISg/J | 8 | >40 | >40 | 17 |
| FSh/N | 288 | >360 | >360 | 216 |
| ΔUc i/(J•g−1) | -20433.05 | -25434.78 | -23746.10 | -18367.83 |
| ΔHc j/(kJ•mol−1) | -9709.2 | -11868.24 | -11097.02 | -8717.14 |
| ΔHf k/(kJ•mol−1) | 1051.95 | -1080.41 | -1786.25 | 125.27 |
| 参数 | MCCHF-1 | MCCHF-2 | MCCHF-3 | MCCHF-4 | |
|---|---|---|---|---|---|
| β/(℃•min−1) | 5 | 173.5 | 200.2 | 209.6 | 172.8 |
| 10 | 177.7 | 203.5 | 213.3 | 177.6 | |
| 15 | 180.5 | 206.4 | 216.2 | 179.8 | |
| 20 | 182.4 | 209.5 | 218.5 | 181.7 | |
| Kissinger法 | EK/(kJ•mol−1) | 255.3 | 274.7 | 299.3 | 256.3 |
| lg AK | 27.97 | 28.44 | 30.51 | 28.21 | |
| RK | -0.9996 | -0.9836 | -0.9957 | -0.9986 | |
| Ozawa法 | EO/(kJ•mol−1) | 249.9 | 268.8 | 292.3 | 250.8 |
| RO | -0.9997 | -0.9845 | -0.9959 | -0.9986 | |
| Ea/(kJ•mol−1) | 256.2 | 271.7 | 295.8 | 253.5 | |
| Tpo a/℃ | 167.40 | 195.90 | 204.90 | 163.10 | |
| Tb b/℃ | 173.91 | 202.75 | 211.42 | 169.45 | |
| ΔS≠ c/(J•K−1•mol−1) | 287.29 | 295.77 | 335.24 | 291.97 | |
| ΔH≠ d/(kJ•mol−1) | 251.64 | 270.80 | 295.33 | 252.67 | |
| ΔG≠ e/(kJ•mol−1) | 126.07 | 132.07 | 135.06 | 125.30 | |
| 参数 | MCCHF-1 | MCCHF-2 | MCCHF-3 | MCCHF-4 | |
|---|---|---|---|---|---|
| β/(℃•min−1) | 5 | 173.5 | 200.2 | 209.6 | 172.8 |
| 10 | 177.7 | 203.5 | 213.3 | 177.6 | |
| 15 | 180.5 | 206.4 | 216.2 | 179.8 | |
| 20 | 182.4 | 209.5 | 218.5 | 181.7 | |
| Kissinger法 | EK/(kJ•mol−1) | 255.3 | 274.7 | 299.3 | 256.3 |
| lg AK | 27.97 | 28.44 | 30.51 | 28.21 | |
| RK | -0.9996 | -0.9836 | -0.9957 | -0.9986 | |
| Ozawa法 | EO/(kJ•mol−1) | 249.9 | 268.8 | 292.3 | 250.8 |
| RO | -0.9997 | -0.9845 | -0.9959 | -0.9986 | |
| Ea/(kJ•mol−1) | 256.2 | 271.7 | 295.8 | 253.5 | |
| Tpo a/℃ | 167.40 | 195.90 | 204.90 | 163.10 | |
| Tb b/℃ | 173.91 | 202.75 | 211.42 | 169.45 | |
| ΔS≠ c/(J•K−1•mol−1) | 287.29 | 295.77 | 335.24 | 291.97 | |
| ΔH≠ d/(kJ•mol−1) | 251.64 | 270.80 | 295.33 | 252.67 | |
| ΔG≠ e/(kJ•mol−1) | 126.07 | 132.07 | 135.06 | 125.30 | |
| 输入参数 | 来源 | |
|---|---|---|
| 燃料 | MCCHF-1 (C10H22B2N18Co) MCCHF-4 (C10H22B2N18Ni) | 实验室自制 |
| 氧化剂 | HNO3/H2O2/N2O4 | NASA-CEA默认数据库 |
| 氧燃比 | 1.0~10.0 | 参数化研究 |
| 生成焓(ΔHf) | MCCHF-1: 1051.95 kJ•mol−1 MCCHF-4: 125.27 kJ•mol−1 | 氧弹量热仪实测 |
| 燃烧室压力(Pc) | 2.533 MPa | 文献[51] |
| 喷管出口压力(Pe) | 0.1013 MPa | |
| 喷管面积比(Ae/At) | 4 | |
| 流动模型 | IAC模型 | |
| 输入参数 | 来源 | |
|---|---|---|
| 燃料 | MCCHF-1 (C10H22B2N18Co) MCCHF-4 (C10H22B2N18Ni) | 实验室自制 |
| 氧化剂 | HNO3/H2O2/N2O4 | NASA-CEA默认数据库 |
| 氧燃比 | 1.0~10.0 | 参数化研究 |
| 生成焓(ΔHf) | MCCHF-1: 1051.95 kJ•mol−1 MCCHF-4: 125.27 kJ•mol−1 | 氧弹量热仪实测 |
| 燃烧室压力(Pc) | 2.533 MPa | 文献[51] |
| 喷管出口压力(Pe) | 0.1013 MPa | |
| 喷管面积比(Ae/At) | 4 | |
| 流动模型 | IAC模型 | |
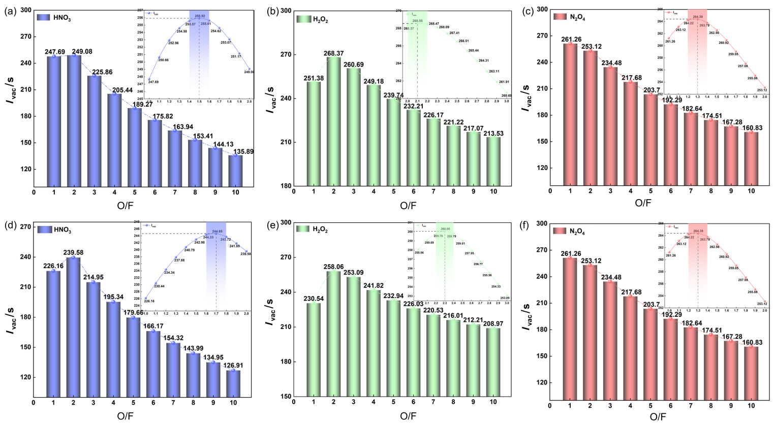
| Hypergolic-fuels | MCCHF-1 | MCCHF-4 | MMH[ | UDMH[ | |||||
|---|---|---|---|---|---|---|---|---|---|
| HNO3 | N2O4 | H2O2 | HNO3 | N2O4 | H2O2 | ||||
| O/F | 1.5 | 1.3 | 2.1 | 1.7 | 1.4 | 2.3 | 2.5 | 3 | |
| Ivac/s | 255.92 | 264.43 | 268.57 | 244.65 | 252.77 | 260.05 | 260 | 258 | |
| Isp/s | 225.76 | 237.73 | 236.07 | 215.44 | 222.48 | 229.11 | — — | ||
| 燃烧室温度/K | 3079.93 | 3338.88 | 2963.39 | 2933.77 | 3162.48 | 2842.46 | |||
| 特征速度/(m•s−1) | 1544.4 | 1595.4 | 1619.2 | 1474.3 | 1522.5 | 1567.8 | |||
| 燃烧产物的摩尔质量/(kg•kmol−1) | 26.60 | 26.86 | 23.38 | 27.89 | 27.96 | 23.92 | |||
| Hypergolic-fuels | MCCHF-1 | MCCHF-4 | MMH[ | UDMH[ | |||||
|---|---|---|---|---|---|---|---|---|---|
| HNO3 | N2O4 | H2O2 | HNO3 | N2O4 | H2O2 | ||||
| O/F | 1.5 | 1.3 | 2.1 | 1.7 | 1.4 | 2.3 | 2.5 | 3 | |
| Ivac/s | 255.92 | 264.43 | 268.57 | 244.65 | 252.77 | 260.05 | 260 | 258 | |
| Isp/s | 225.76 | 237.73 | 236.07 | 215.44 | 222.48 | 229.11 | — — | ||
| 燃烧室温度/K | 3079.93 | 3338.88 | 2963.39 | 2933.77 | 3162.48 | 2842.46 | |||
| 特征速度/(m•s−1) | 1544.4 | 1595.4 | 1619.2 | 1474.3 | 1522.5 | 1567.8 | |||
| 燃烧产物的摩尔质量/(kg•kmol−1) | 26.60 | 26.86 | 23.38 | 27.89 | 27.96 | 23.92 | |||
| [1] |
doi: 10.1016/j.combustflame.2017.03.021 |
| [2] |
|
| [3] |
doi: 10.6023/A24010017 |
|
(崔勇康, 成守飞, 凌琳, 李玉学, 吕龙, 化学学报, 2024, 82, 377.)
doi: 10.6023/A24010017 |
|
| [4] |
doi: 10.3390/en18020267 |
| [5] |
doi: 10.1016/j.ijhydene.2025.01.403 |
| [6] |
|
| [7] |
doi: 10.1002/prep.v45.11 |
| [51] |
doi: 10.1016/j.combustflame.2020.01.013 |
| [52] |
doi: 10.1021/ac60131a045 |
| [53] |
doi: 10.1246/bcsj.38.1881 |
| [54] |
doi: 10.1107/S1600576721002910 |
| [55] |
doi: 10.1002/prep.v40.1 |
| [56] |
doi: 10.1002/anie.v53.11 |
| [57] |
|
| [8] |
doi: 10.1016/j.tca.2023.179562 |
| [9] |
|
|
(蔡国飙, 推进技术, 2012, 6, 831.)
|
|
| [10] |
doi: 10.1016/j.ast.2006.08.008 |
| [11] |
doi: 10.1016/j.fpc.2021.11.010 |
| [12] |
|
|
(陈启航, 付小龙, 蔚红建, 孟赛钦, 兵器装备工程学报, 2025, 46, 279.)
|
|
| [13] |
doi: 10.1016/j.fuel.2019.115729 |
| [14] |
doi: 10.1016/j.combustflame.2019.10.029 |
| [15] |
|
|
(王印, 胡松启, 刘林林, 李连强, 推进技术, 2020, 48, 1807.)
|
|
| [16] |
|
|
(张泽林, 林鑫, 王若岩, 罗家枭, 王泽众, 张春元, 李飞, 余西龙, 推进技术, 2023, 44, 2211059.)
|
|
| [17] |
|
|
(杨玉新, 胡春波, 何国强, 蔡体敏, 宇航学报, 2008, 5, 1616.)
|
|
| [18] |
|
| [19] |
|
| [20] |
doi: 10.3866/PKU.WHXB201812031 |
|
(郑东, 熊鹏飞, 钟北京, 物理化学学报, 2019, 35, 1241.)
|
|
| [21] |
doi: 10.1016/j.cej.2019.122623 |
| [22] |
|
|
(林彩霞, 郭琳, 李庆山, 张正之, 袁耀锋, 徐凤波, 有机化学, 2014, 34, 239.)
doi: 10.6023/cjoc201307055 |
|
| [23] |
doi: 10.1002/adma.v28.28 |
| [24] |
doi: 10.6023/A23020056 |
|
(杨洁, 凌琳, 李玉学, 吕龙, 化学学报, 2023, 81, 328.)
doi: 10.6023/A23020056 |
|
| [25] |
doi: 10.6023/A19120419 |
|
(武艳, 庞爱民, 胡磊, 何根升, 张莹莹, 张利雄, 李明海, 马振叶, 化学学报, 2020, 78, 337.)
doi: 10.6023/A19120419 |
|
| [26] |
doi: 10.6023/A25040108 |
|
(喻尧, 李晓强, 刘佳鑫, 顾军, 涂涛, 杨军, 化学学报, 2025, 83, 1018.)
doi: 10.6023/A25040108 |
|
| [27] |
doi: 10.6023/A22100425 |
|
(马雪璐, 李蒙, 雷鸣, 化学学报, 2023, 81, 84.)
doi: 10.6023/A22100425 |
|
| [28] |
doi: 10.3390/ma16010067 |
| [29] |
|
|
(杨利, 张国英, 刘影, 张同来, 物理化学学报, 2017, 33, 2463.)
|
|
| [30] |
doi: 10.1039/c8qi01279b |
| [31] |
doi: 10.1039/C8NJ04143A |
| [32] |
doi: 10.1016/j.cej.2024.157616 |
| [33] |
|
| [34] |
doi: 10.1016/j.fuel.2024.132615 |
| [35] |
doi: 10.1016/j.combustflame.2021.111556 |
| [36] |
doi: 10.1016/j.combustflame.2020.10.035 |
| [37] |
doi: 10.1021/acs.inorgchem.2c02479 |
| [38] |
|
| [39] |
doi: 10.1016/j.fuel.2025.134683 |
| [40] |
doi: 10.1039/D2QI00968D |
| [41] |
doi: 10.1039/C6TA02699K |
| [42] |
doi: 10.1080/07370652.2020.1770897 |
| [43] |
|
| [44] |
doi: 10.1021/acs.inorgchem.1c00109 |
| [45] |
doi: 10.1021/acs.cgd.4c01648 |
| [46] |
|
|
(费腾, 徐冉, 赵鹏宇, 徐涛, 杜宗罡, 火箭推进, 2024, 50, 33.)
|
|
| [47] |
|
|
(武颖韬, 费立涵, 孔祥东, 王帜, 汤成龙, 黄佐华, 化工学报, 2024, 75, 2017.)
doi: 10.11949/0438-1157.20240102 |
|
| [48] |
doi: 10.1016/j.cej.2021.131866 |
| [49] |
|
| [50] |
doi: 10.1016/j.jcis.2007.04.028 |
| [1] | Li Dongyan, Wang Jingbo, Guo Junjiang, Tan Ningxin, Li Xiangyuan. Investigations of Chemical Kinetic Mechanisms for Low-to-medium Temperature Ignition of Ethylene [J]. Acta Chim. Sinica, 2017, 75(4): 375-382. |
| [2] | HONG PINJIE;WU ZONGMIN. The calculation of the spectrum entropy for NF3 and ethylene oxide, assuming the non-rigid rotator [J]. Acta Chimica Sinica, 1983, 41(11): 1065-1066. |
| Viewed | ||||||
|
Full text |
|
|||||
|
Abstract |
|
|||||