Article

Mechanochemical Urea Synthesis Using Nitrogen, Water and Carbon Dioxide with TiO2 under Mild Conditions: An Experimental and Theoretical Study

  • Yichun Lou a ,
  • Chengli He a, b ,
  • Linrui Wang a ,
  • Xiaoli Cui , a, *
Expand
  • a College of Smart Materials and Future Energy, Fudan University, Shanghai 200433, China
  • b Suzhou Institute of Nano-Tech and Nano-Bionics, Chinese Academy of Sciences, Suzhou 215123, China
* E-mail: ; Tel.: 13817061363

Received date: 2025-04-14

  Online published: 2025-08-27

Abstract

As an important chemical, urea has a wide range of applications. However, the conventional Bosch-Meiser process suffers from high energy consumption and substantial carbon emissions. This study proposes a novel mechanochemical strategy for urea synthesis under ambient temperature and pressure using N2, CO2, and H2O as feedstocks. Five transition metal oxide catalysts (TiO2, ZnO, Cu2O, Nb2O5, Fe2O3) were investigated for their mechanocatalytic effects in a ZrO2 jar equipped with ZrO2 balls, with TiO2 exhibiting the highest performance. Urea production rate was up to 133.59 μg•L-1•h-1 with the presence of TiO2, which is 2.2 times larger than that the catalyst-free conditions. TiO2 was characterized using transmission electron microscope (TEM), energy dispersive spectrometer (EDS), X-ray diffraction (XRD), X-ray photoelectron spectroscopy (XPS), electron paramagnetic resonance (EPR), and Raman spectroscopy, revealing an increase in oxygen vacancies after the mechanochemical reaction. Fourier transform infrared spectroscopy (FT-IR) analysis was used to detect the adsorbed species on the TiO2 surface, providing mechanistic insights. Density functional theory (DFT) calculations identified H₂O dissociation and N2 activation as critical steps. The oxygen vacancies (Vo) in TiO2 not only enhanced the adsorption of N2 and H2O but also facilitated H2O dissociation to release free H atoms and weakened the N≡N bond. Both the H2O dissociation and the C—N coupling between *N2 and *CO were determined to be the rate-limiting step in urea formation. This study presents a green and energy-efficient mechanochemical approach for urea synthesis and elucidates the catalytic role of titanium dioxides in the process.

Cite this article

Yichun Lou , Chengli He , Linrui Wang , Xiaoli Cui . Mechanochemical Urea Synthesis Using Nitrogen, Water and Carbon Dioxide with TiO2 under Mild Conditions: An Experimental and Theoretical Study[J]. Acta Chimica Sinica, 2026 , 84(1) : 73 -85 . DOI: 10.6023/A25040118

1 引言

尿素是目前应用最广泛的化学品之一, 在农业中广泛应用于促进作物生长, 在工业中用于合成脲醛树脂、巴比妥酸盐等化工产品[1-2]. 传统的工业尿素合成技术(如Bosch-Meiser方法)依赖高温高压条件, 存在能耗高和环境污染等问题[3-5]. 因此, 开发低能耗、环境友好的尿素合成方法是当前研究面临的关键挑战[6-7].
前文[8]以CO2和NH3为前驱体通过机械化学方法合成了尿素并进行了理论分析. 目前工业上NH3的合成主要采用Haber-Bosch工艺, 在高温高压(400~500 ℃, 15~25 MPa)的条件下将N2和H2转化为NH3[9]. NH3的合成每年都需要消耗全球超过2%的能源[10-11], 并排放大量温室气体, 不符合可持续发展理念. 作为地球大气中最丰富的气体, 氮气(N2)约占体积的78%, 在自然界中储量巨大. 通过设计高效催化剂和优化反应路径, 在温和条件下降低N2活化能垒, 实现N2的高效转化已成为当前化学领域最具挑战性的前沿研究方向之一[12-14].
机械化学是通过机械能诱导化学反应[15-16], 具有操作简单的优点并符合“绿色化学”原则, 被国际纯粹与应用化学联合会列为可以改变世界的十大技术之一[17]. 机械化学方法不仅广泛应用于无机材料合成、有机物制备[18]、磁性材料开发以及冶金工程等传统领域, 同时在能量转换与存储、新能源开发等前沿领域也展现出独特的技术优势和广阔的应用前景[19-23]. 2021年, Han等[24]利用机械化学法以N2和H2为前驱体合成了NH3. 研究了球磨罐内气体压力、温度、球磨时的转速等条件对NH3产量的影响. 在温和条件下, 使用Fe粉为催化剂, N2和H2为反应物, 在45 ℃和0.1 MPa的反应条件下, 产NH3速率达0.765 mg•gcat-1•h-1, 并实现了高达82.5%体积分数的NH3浓度. Kim等[25]分别使用挥发性的K碱金属(FeK)、稳定的K2O(FeK2O)和KOH作为Fe机械催化合成NH3的促进剂, 研究发现FeK的机械催化合成NH3催化活性最高, 产NH3量是FeK2O产NH3性能的1.27倍, 是不使用促进剂时产NH3量的5.4倍. 最近Lee等[26]研究了利用氮化硅作为诱导缺陷的物理促进剂的机械化学NH3合成方法, 氮化硅的物理特性使其成为通过机械化学作用更高效地在铁催化剂上生成活性表面的理想材料. 引入氮化硅(3.0 at%)的铁催化剂实现了比未添加促进剂的铁催化剂高5.6倍的NH3浓度, 同时保持了良好的稳定性.
前期本课题组[27]以N2和H2O为原料利用不锈钢球磨罐通过机械化学方法在温和条件下实现了NH3的合成. 不锈钢材质的球磨罐和磨球本身为催化剂, 在反应体系中引入H2可以抑制$NO_{3}^{-}$的生成, 提高合成NH3的选择性[28]. 进一步研究了过渡金属氧化物作为机械催化剂的合成NH3性能, 发现TiO2能够机械活化N2[29], 在优化的实验条件下以商用P25(TiO2)为机械催化剂NH3产率相比不加催化剂可提高3.6倍. 在前期研究基础上, 本工作以N2、CO2和H2O为原料, 探索了通过机械催化方法一步直接合成尿素. 研究了基于TiO2的机械催化合成尿素的性能和影响因素, 结合密度泛函理论(DFT)计算, 推测了TiO2催化机械化学合成尿素的反应机理.

2 结果与讨论

2.1 过渡金属氧化物为催化剂对机械合成尿素的影响

图1展示了以N2、CO2和H2O作为原料利用二氧化锆罐和二氧化锆球通过机械球磨合成尿素的不同催化剂产率比较. 当无催化剂时, 尿素产率仅为58 μg•L-1. 引入TiO2、ZnO、Cu2O、Nb2O5、Fe2O3过渡金属氧化物作为催化剂, 分别研究其机械化学合成尿素的催化性能. 发现引入TiO2、ZnO、Fe2O3后尿素的产率均有不同程度的上升, 特别是加入TiO2时, 尿素的产率达到了113 μg•L-1. 实验结果表明TiO2、ZnO和Fe2O3对机械化学合成尿素有催化作用. 但加入Nb2O5和Cu2O作为催化剂时, 尿素的产率出现了下降.
图1 加入0.5 g不同的过渡金属催化剂后机械球磨合成尿素的产率. 标为“None”的表示不加入催化剂的条件下进行机械化学合成尿素. 使用ZrO2材质的磨球和球磨罐, 磨球装载量为140 g, 转速为650 r/min, 研磨时间为1.0 h

Figure 1 The mechanochemical urea yield rate with the addition of 0.5 g different metal oxide catalysts. The label “None” means performing mechanochemical urea synthesis without any additional catalysts. The grinding balls and grinding jar made of ZrO2 material were used, with a ball loading of 140 g, a rotation speed of 650 r/min, and a grinding time of 1.0 h

He等[29]分析了N2吸附在过渡金属氧化物上的特定晶面时几何优化后的构型, 并且进一步通过密度泛函理论计算了当N2吸附在不同催化剂上时N≡N键的长度[29]. 当N2吸附在TiO2、ZnO、Cu2O、Nb2O5、Fe2O3催化剂上时, N≡N键的长度分别为Fe2O3 (110)(0.1140 nm)>TiO2 (101)(0.1129 nm)>ZnO (101)(0.1117 nm)>Cu2O (111)(0.1115 nm)>N2(0.1114 nm)=Nb2O5 (001)(0.1114 nm). 结果表明TiO2、ZnO、Fe2O3这三种催化剂对于N≡N有活化作用, 而在Nb2O5表面N≡N键的长度保持不变, 对N≡N的活化几乎没有作用, 表现出较低的机械化学合成NH3的速率. 然而, 在Fe2O3 (110)表面时N≡N键的长度大于在TiO2 (101)表面时的长度. 此外, Cu2O (111)表面同样能略使N≡N键增长, 这看似和实验结果相冲突. 造成这一现象的原因是在机械化学合成NH3过程中, 除了N2的吸附活化以外, H2O在催化剂表面的吸附和裂解同样有着十分重要的影响[30]. 本工作以N2、CO2和H2O作为原料合成尿素,同样涉及N2的活化、H2O的裂解, 借鉴前文过渡金属氧化物催化机械化学合成NH3的解释, 可大致理解不同过渡金属氧化物催化剂对机械催化合成尿素的影响. 由于所使用机械催化剂均为过渡金属氧化物且TiO2催化剂机械球磨合成尿素的性能最高(图1), 本工作主要对TiO2催化剂的机械催化合成尿素进行了实验与理论分析.

2.2 N2、CO2和H2O体系TiO2机械催化合成尿素的影响因素

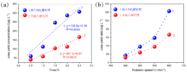
图2a所示, 利用ZrO2材质的磨球和球磨罐, 磨球装载量为140 g, 在650 r/min的转速下, 当不加入催化剂进行机械球磨合成尿素时, 从产物中检测出的尿素的浓度与机械球磨合成尿素的时间呈现线性关系, 斜率可表达为dCurea/dt=kurea=61.1 μg•L-1•h-1, 表明该反应符合零级动力学反应特征. 在同样的转速和磨球装载量的情况下, 在加入TiO2催化剂之后, 可以看到尿素的产率有了明显的提升. 从产物中检测出的尿素的浓度与机械球磨合成尿素的时间同样呈现线性关系, 其斜率可表达为dCurea/dt=kurea=133.6 μg•L-1•h-1, 同样符合零级动力学反应特征, 加入TiO2催化剂后单位时间内尿素的产率提升了2.2倍.
图2 N2、CO2和H2O体系机械化学合成尿素性能研究(100 mL ZrO2球磨罐和140 g磨球). (a)机械球磨尿素产量和球磨时间的关系; (b)机械球磨尿素产率和球磨转速的关系

Figure 2 The performance of mechanochemical synthesis of urea from N2, CO2 and H2O (100 mL ZrO2 ball milling jar and 140 g grinding balls). (a) Relationship between urea yield and ball milling time; (b) Relationship between urea yield and ball milling speed

图2b是不同转速下机械球磨合成尿素的产率和机械球磨时转速之间的相互关系示意图. 采用2.5 h的机械球磨时间, 并通过离心分离后测定液相中尿素含量来计算产率. 在保持其他条件不变的情况下, 可以观察到尿素的产率随球磨转速的提升呈现显著增加趋势. 当转速为500 r/min时, 机械球磨得到的尿素的产率仅为11.8 μg•L-1•h-1. 随着转速的逐渐增加, 从液体中所能够检测到的尿素量也随之增加. 当加入TiO2催化剂之后, 单位时间内所得到的尿素含量依然随着转速的增加而增大(图2b), 同时尿素的产率有了明显的提升.

2.3 TiO2催化剂的机械催化合成尿素分析

机械化学合成尿素实验结束后, 从球磨罐悬浊液中通过离心分离固体粉末, 经过在真空烘箱内烘干后, 对其进行了系列表征. 图3(a)3(d)展示了球磨前后TiO2催化剂的透射电子显微镜(TEM)图. 从图中可以观察到, TiO2催化剂的尺寸约为25 nm, 在经过机械球磨合成尿素后催化剂在形貌上无明显的变化. 图3(b)3(d)中皆可以看到清晰的晶格条纹. 图3(b)中晶格间距为0.249 nm和0.351 nm处分别对应了金红石型TiO2的(101)晶面和锐钛矿型TiO2的(101)晶面. 图3(d)中可以观察到晶格间距为0.325 nm和0.351 nm的晶格条纹, 分别对应了金红石型TiO2的(110)晶面和锐钛矿型TiO2的(101)晶面. 此外, 图中还能够观察到明显的无定形区域, 这可能是由于机械球磨导致了部分TiO2结构变得无序, 产生了无定形相的缘故[27].
图3 球磨前TiO2的(a) TEM图和(b) HRTEM图, 球磨后收集到的TiO2样品的(c) TEM图和(d) HRTEM图(650 r/min, 140 g磨球, 球磨时长2.5 h)

Figure 3 (a) TEM image, (b) HRTEM image of TiO2 before milling, and (c) TEM image, (d) HRTEM image of TiO2 after milling (650 r/min, 140 g milling balls, and ball milling for 2.5 h)

支持信息图S1是对机械球磨后的TiO2催化剂的能量色散X射线能谱(EDS) mapping分析, 可以看到明显的N、O、Ti的信号. 其中O和Ti的信号来源于TiO2, 而样品中检测到的微量N元素可能来源于三个方面: 合成的尿素产物、作为氮源的前驱体N2以及在反应过程中生成的含氮中间体. 选了三个不同的区域分别通过EDS mapping对其进行元素分析, 均可以观测到Ti、O、N以及Zr元素, 其中Zr元素缘于所使用的二氧化锆球磨介质.
图4是机械催化反应前后TiO2催化剂的X射线衍射(XRD)图, 图中25.3°、37.8°、48.0°、53.9°、55.1°和62.7°处出现的峰信号分别可以归属于锐钛矿相TiO2的(101)、(004)、(200)、(105)、(211)和(204)晶面(JCPDS 21-1272). 位于27.4°和76.5°处出现的峰信号则可归属于金红石相TiO2的(110)晶面(JCPDS 21-1276). 由图4中可以看到, 随着球磨时间的逐渐增加, 属于TiO2的峰信号逐渐减弱, 当球磨时间达到了2.5 h时, 有一些特征峰已经减弱至几乎无法被观察到(如37.8°, 76.5°). 这可能是由于机械球磨过程诱发了样品表面结构的无序化, 导致催化剂的结晶度下降, 并伴随非晶相的产生. 此外, XRD图中开始出现属于ZrO2的峰, 如30.2°、35.3°、50.2°和60.2°处的特征峰分别属于四方晶型ZrO2的(101)、(110)、(112) 和(211)晶面(JCPDS 79-1769). 随着球磨时间的逐渐增加, 可以观察到属于ZrO2的峰相对于属于TiO2的特征峰的强度正在逐渐增加, 这是由于随着机械球磨的进行, 磨球和球磨罐磨损产生了一定量的ZrO2碎屑, 且随着球磨时间的增长, ZrO2碎屑的量逐渐增加.
图4 机械化学合成尿素0, 0.5, 1.0, 1.5, 2.0, 2.5 h后催化剂TiO2的XRD图(650 r/min, 70 g磨球)

Figure 4 The XRD patterns of the TiO2 solid powders after the mechanochemical urea synthesis process for 0, 0.5, 1.0, 1.5, 2.0, 2.5 h (650 r/min, 70 g milling balls)

为了进一步分析机械球磨后TiO2催化剂的表面环境和化学状态, 利用X射线光电子能谱(XPS)对催化剂进行表征分析(图5). 从图5a中可以看到, 在球磨前催化剂表面含有Ti、O、C和N元素, 正对应了TiO2中的Ti元素和O元素以及污染碳和气氛中所存在的N元素. 在机械球磨过后, 上述元素仍然能被检测到, 此外还能够看到XPS全谱中多出了Zr元素的特征峰, 这是由于在机械球磨过程中, 产生的磨球屑混入了催化剂中.
图5 球磨前后的TiO2粉末的(a) XPS全谱以及(b) Ti 2p, (c) O 1s, (d) N 1s高分辨谱(650 r/min, 140 g磨球, 2.5 h)

Figure 5 (a) XPS spectra of TiO2 before and after milling and corresponding high-resolution spectra of (b) Ti 2p, (c) O 1s, and (d) N 1s of TiO2 powders (650 r/min, 140 g milling balls, 2.5 h)

图5b是机械球磨处理前后Ti的2p高分辨精细谱. 球磨前, 458.4 eV和464.1 eV处的结合能分别对应了Ti4+的2p3/2和2p1/2能级. 在球磨后, Ti4+的2p3/2和2p1/2能级的结合能均向低结合能处偏移了0.1 eV, 分别为 458.3 eV和464.0 eV, 这一现象可归因于机械球磨过程中TiO2表面氧空位(Vo)的形成[31-32]. Ti的2p图中未能分出明显的Ti3+的峰, 这可能是由于Ti3+的含量较少. O 1s高分辨谱(图5c)中可以观察到, 机械球磨过后的TiO2可以拟合出529.7、531.3、532.4 eV这三个亚峰, 分别对应了晶格氧、氧空位(Vo)和催化剂表面的羟基, 这为球磨后的催化剂含有Vo提供了证据. 此外, 在机械球磨前的TiO2催化剂中也能分出属于Vo的亚峰, 表明TiO2催化剂本身便存在一定量的Vo[29]. 然而, 可以明显地观察到在球磨过后属于氧空位的亚峰的峰面积有明显的增加, 这可能是因为机械球磨的过程中诱发了催化剂表面形成了新的氧空位, 从而使得氧空位的总含量上升. 图5d是催化剂样品的N 1s谱, 在机械球磨前位于399.7 eV处的峰可归属于N2在TiO2催化剂上的物理吸附. 而在球磨结束过后在397.9 eV处出现了新的特征峰, 这可能是由于球磨合成尿素的过程中N元素残留在TiO2表面[33-34].
对球磨前后的TiO2进行了拉曼散射光谱的分析以进一步研究其在机械球磨过程中的结构变化. 如图6a所示, 在144, 399, 514和640 cm-1处出现了明显的特征峰, 分别对应TiO2锐钛矿晶型的Eg、B1g、A1g以及E1g振动模式[35-36]. 从图中可以看到, 这些特征峰在球磨后并没有发生明显的偏移. 图6b是拉曼光谱400~500 cm-1处局部放大图, 可以观察到474 cm-1处存在随着球磨时间而逐渐增强的特征峰, 该信号可归于四方晶型ZrO2的Eg振动模式. 当仅球磨0.5 h时, 从拉曼图谱中完全无法观察到该特征峰. 而随着球磨的时间逐渐增长, 该特征峰的强度也逐渐增加, 当球磨时间为2.5 h, 可以观察到较为明显的特征峰. 表明随着球磨的进行, 有ZrO2混入了固体粉末中.
图6 机械球磨合成尿素0, 0.5, 1.0, 1.5, 2.0, 2.5 h TiO2的(a)拉曼光谱和(b) 400 cm-1到500 cm-1处的局部放大图(650 r/min, 70 g磨球)

Figure 6 (a) Raman spectra and (b) local magnification in the range of 400 cm-1 to 500 cm-1 of solid powders obtained after mechanical ball milling synthesis of urea for 0, 0.5, 1.0, 1.5, 2.0, and 2.5 h (650 r/min, 70 g grinding balls)

利用电子顺磁共振波谱进一步表征机械球磨合成尿素后所收集到的TiO2粉末的氧空位(图7). 位于g值为1.983左右处出现的信号可归属于体相中的Ti3+[37-39]. 在g值为2.003处出现了一对明显的对称峰, 这是氧空位的存在所导致的未成对电子的信号[40-43]. 上述信息为球磨后的样品中存在一定量的氧空位提供了证据.
图7 机械催化反应后TiO2粉末的电子顺磁共振波谱(球磨时间2.5 h)

Figure 7 Electron paramagnetic resonance spectrum of TiO2 powders obtained after mechanochemical urea synthesis for 2.5 h

利用傅里叶变换红外光谱(FT-IR)对TiO2表面残余的中间体基团进行了研究(图8), 从图8a可以看出, 在3423 cm-1处出现的宽的吸收峰, 可归属于N—H或O—H所对应的伸缩振动[44-45]. 在2925和2852 cm-1处出现的一对双峰, 可以归属于NH2的伸缩振动[46-48]. 而在2960 cm-1处还可以检测到属于O—H的信号[49]. 图8b中, 于1640 cm-1处出现了属于C=O的吸收峰[50], 1540 cm-1处的吸收峰可能属于COO-. 位于1577 cm-1处的小吸收峰, 可归属于N—H的弯曲振动[48]. 位于1745和1468 cm-1处出现的新的吸收峰可分别归属于NCON和C—N的伸缩振动[50-51]. 这进一步预示N2和CO2之间发生了C—N偶联反应. 根据红外光谱, 可以推测TiO2表面存在着NH2、COO-、C—N、C=O等官能团, 为推测反应机理提供了证据.
图8 TiO2机械球磨合成尿素0 h, 2.5 h后所得的固体粉末的红外光谱. (a) 3800~2400 cm-1区域, (b) 1800~1200 cm-1区域

Figure 8 FT-IR spectra of solid powders obtained after TiO2-catalyzed mechanochemical urea synthesis for 0 and 2.5 h. (a) 3800~2400 cm-1 region, (b) 1800~1200 cm-1 region

2.4 TiO2机械催化合成尿素的可能机理

机械催化合成尿素是前所未有的新尝试, 这里借鉴利用N2和CO2电催化合成尿素的反应机理[52a]. 目前电催化尿素合成反应机理的研究主要依赖于密度泛函理论计算和原位表征. 由于电催化剂的不同以及反应途径的复杂性和中间体的多样性, 准确认识尿素合成机理面临很大的挑战. 基于对球磨后TiO2的红外光谱等分析结果, 并借鉴文献中关于电催化碳氮偶联合成尿素机理[52b,53], 本工作提出了可能的机械球磨合成尿素反应路径(图9, 式(1)到(8)). 图9(a)9(b)分别展示了N2侧向吸附和端向吸附于催化剂表面时与CO2生成的*CO发生C—N偶联反应, 生成尿素的可能路径. 该反应大致可分为四个步骤. (1) N2和CO2在催化剂表面的吸附. (2) *CO2还原为*CO中间体(式(1)和(2)). (3) *N2和*CO之间发生C—N偶联反应生成*NCON*中间体(式(3)). (4) *NCON*中间体加氢生成尿素(式(4)到(8)).
*CO2+H•→*COOH
*COOH+H•→*CO+H2O
*CO+*N2→*NCON*
*NCON*+H•→*NCONH
*NCONH+H•→*NCONH2
*NCONH+H•→*NHCONH
*NCONH2+H•→*NHCONH2
*NHCONH2+H•→*NH2CONH2
图9 通过CO2和N2机械化学合成尿素的不同机理及其中间物. 从CO2生成*CO的途径, N2以(a)侧向吸附或(b)端向吸附[52]. 路径中的H•和e-代表机械能诱导的活性氢与局域电子, 由H2O裂解及缺陷位点提供, 非电化学过程

Figure 9 Different mechanisms of mechanochemical urea synthesis from CO2 and N2 and corresponding intermediate: the formation pathway of *CO from CO2, the adsorption way of N2 via (a) side-on and (b) end-on[52]. The H• and e- present in the pathway denote mechanically induced active hydrogen species and localized electrons, originating from water (H2O) splitting and defect sites, respectively; this mechanism operates independently of electrochemical processes

为了进一步证实*COOH在机械化学合成尿素过程中的作用, 使用草酸((COOH)2)作为碳源合成尿素. 将2 g (COOH)2溶于30 mL的H2O中, 向体系内以1.5 L•min-1的流速通入N2, 持续30 min. 在650 r/min的转速下, 装载140 g磨球, 球磨时间为1 h, 尝试机械化学合成尿素. 如图10A所示, 在机械球磨过后离心所收集到的液体中检测出了尿素. 这为*COOH是机械球磨合成尿素过程中重要的中间体提供了依据.
图10 分别使用A: 2 g (COOH)2, N2和30 mL H2O以及B: N2和30 mL H2O以及C: CO2和30 mL H2O为原料机械球磨合成尿素(球磨时间1.0 h, 650 r/min, 140 g磨球)

Figure 10 Control experiments of mechanical ball mill urea synthesis. Urea synthesized via A: 2 g (COOH)2, N2, with 30 mL H2O, B: N2, with 30 mL H2O, and C: CO2, with 30 mL H2O (1.0 h ball milling time, 650 r/min, 140 g milling balls)

当不加入CO2, 仅用H2O和N2尝试通过机械化学法合成尿素时, 在收集到的溶液中未能检测出尿素的存在. 这一结果表明机械球磨法成功合成的尿素是以CO2作为碳源合成所得, 并且可以确定体系不存在其他碳源污染的情况(图10B).
此外, 利用CO2和H2O作为原料, 进行机械化学合成尿素实验. 为了排除体系中N2的干扰, 在初始阶段, 以 1.5 L•min-1 的流速向溶液中鼓泡通入CO2, 持续 30 min. 随后, 使用机械泵对球磨罐进行抽真空处理, 之后再向球磨罐内通入CO2气体, 直至压力恢复至常压状态. 通过这样的操作, 不仅能使球磨罐内的压力保持常压, 而且能减少体系内N2的残留. 采用该体系进行机械球磨合成尿素. 结果仅能检测到极其微量的尿素(图10C). 尿素含量的大幅降低, 表明了机械球磨所合成的尿素主要是以N2作为氮源合成的. 对于仍然存在微量尿素可能缘于难以完全排除球磨罐内的N2, 导致体系内存在有微量的N2所致.

2.5 TiO2机械催化N2+CO2+H2O体系合成尿素的密度泛函理论计算

体系的总能量与其稳定性呈负相关, 即总能量越低, 体系越稳定. 基于这一原理, 通过模拟计算, 系统考察了多种可能的吸附构型和吸附位点, 并筛选出总形成能最低的若干模型作为后续深入分析和讨论的基础.

2.5.1 TiO2催化剂在机械球磨过程中氧空位(Vo)的形成机制

采用密度泛函理论计算分析了TiO2催化剂在机械球磨过程中氧空位(Vo)的形成机制. 理论计算表明, 机械球磨作用可在催化剂表面诱导产生新的活性位点和氧空位[54]. 如图11所示, 在机械能的作用下, TiO2 (101)晶面上可能形成两种不同类型的Vo. 计算结果显示, 这两种构型的形成能分别为5.04和4.75 eV. 由于构型(2)的形成能显著低于构型(1), 因此可以推断在机械球磨过程中, TiO2 (101)晶面更倾向于形成构型(2)的氧空位(Vo). 基于这一结果, 为简化计算过程, 本工作采用构型(2)作为催化剂模型进行分析.
图11 在TiO2 (101)表面上可能形成的两种Vo(灰色小球代表Ti, 红色小球代表O)

Figure 11 Two types of Vo that may form on TiO2 (101) surface (grey balls represent Ti and red balls represent O)

2.5.2 H2O在Vo-TiO2 (101)表面的化学吸附和解离

作为体系中唯一的氢源, H2O在以N2和CO2为原料机械化学合成尿素的过程中起到重要的作用. H2O在催化剂表面吸附后裂解, 释放自由H这一过程对机械化学合成尿素的反应速率有着很大的影响. 因此, 首先讨论了H2O在催化剂表面吸附, 再裂解成OH和H, 最后逐步释放自由H的一系列过程. 如图12所示, 理论计算模拟了H2O分别在Vo-TiO2 (101)表面的邻近Vo的Ti位点(图12a)和远离Vo的Ti位点上(图12b)吸附、解离和最后释放自由H的过程.
图12 H2O在Vo-TiO<H2O在Vo-TiO2 (101)表面的化学吸附和解离(每一步的形成能在图中已标出). (a)邻近Vo的Ti位点, (b)远离Vo的Ti位点(灰色小球代表Ti, 红色小球代表O, 白色小球代表H)

Figure 12 The pathway of H2O molecules chemisorbed and dissociated on the Vo-TiO2 (101) surface (Each step has its corresponding formation energy value marked). (a) Ti sites adjacent to Vo, and (b) Ti sites away from Vo (grey balls represent Ti, red balls O, white balls H)

支持信息表S1中详细列出了每一步反应经过几何优化后所得模型和其对应的能量. 当H2O在Vo-TiO2 (101)表面吸附于邻近Vo的Ti位点时, 其吸附能为 –1.32 eV. 而当H2O在Vo-TiO2 (101)表面吸附于远离Vo的Ti位点时, 其吸附能仅为–0.78 eV. 这意味着H2O有吸附于Vo-TiO2 (101)表面趋势, 且它更倾向于吸附在邻近Vo的Ti位点上. 当H2O吸附在邻近Vo的Ti位点上时, H2O中的O—H键断裂生成OH同时产生自由H这一过程仅需克服2.38 eV的形成能. 失去一个H原子之后, H2O在Vo-TiO2 (101)表面只剩下OH. 而剩余的OH在克服3.26 eV的势垒之后可再次释放自由H. 最后, 只剩一个裸露的氧原子留在Vo-TiO2 (101)表面. 对氧原子残留在Vo-TiO2 (101)表面的模型进行几何优化后发现, 所得的模型在结构和能量上与TiO2 (101)表面相同, 因此推断最后剩余的氧原子可能倾向于填补Vo-TiO2 (101)表面上的Vo.
当H2O吸附在远离Vo的Ti位点上时, 首次O—H的断裂便需要克服3.68 eV形成能, 这一数值显著大于H2O吸附在邻近Vo的Ti位点上O—H的断裂所需要克服的形成能. 此外, 第二次O—H的断裂同样需要克服较大的形成能, 达到了4.27 eV. 与吸附在邻近Vo的Ti位点相比(两次O—H键断裂所需形成能分别为2.38 eV和3.26 eV), 远离Vo的Ti位点上两步反应所需克服的形成能均明显更高. 上述结果意味着H2O不但更倾向于吸附在邻近Vo的Ti位点上, 而且在该位点上O—H的断裂所需要克服的形成能较低, 更容易释放自由H.

2.5.3 N2在Vo-TiO2 (101)表面上不同吸附模式

在机械化学合成尿素的过程中, N2在催化剂表面的吸附是关键的一步. 如图13所示, 通过理论计算分别讨论了N2在Vo-TiO2 (101)表面上的三种吸附方式: 在Vo上的侧向吸附方式、端向吸附方式和在邻近Vo处的端向吸附方式. 上述三种吸附模式对应的吸附能分别为 –0.94、–0.57和–0.25 eV, 这意味着N2在Vo-TiO2 (101)表面上最有可能在Vo上的侧向吸附模式吸附.
图13 几何优化后N2吸附在富含氧空位的TiO2 (101)表面上不同吸附构型: (a)在Vo上的侧向吸附方式和(b)端向吸附方式, (c)邻近Vo的端向吸附方式(对应吸附构型的吸附能已在图中标出, 灰色小球代表Ti, 红色小球代表O, 蓝色小球代表N)

Figure 13 The adsorption structu

The adsorption structure of N2 molecules on the TiO2 (101) surface with the presence of oxygen vacancies (Vo) after geometry optimization, with different adsorption sites: (a) side-on adsorption and (b) end-on adsorption at Vo site, and (c) end-on adsorption adjacent to Vo (The adsorption energies corresponding to these configurations are marked in the figure, grey balls represent Ti, red balls O, blue balls N)

单独将N2放入空晶胞中进行几何优化后, 计算所得其中的N≡N的键长为0.1116 nm, 通过密度泛函理论计算对吸附构型进行几何优化后, 发现三种吸附模式会导致键长发生不同程度的变化: (1)在Vo上侧向吸附时, N≡N的键长增长至0.1191 nm; (2)在Vo位点的端向吸附时, 键长增至0.1145 nm; (3)在邻近Vo位点的端向吸附时, 键长微增至0.1126 nm. N≡N键的增长意味着其键能的降低. 因此Vo-TiO2 (101)表面对N2中的N≡N有活化作用, 特别是当N2在Vo上侧向吸附时, 对N≡N的活化作用最大.
支持信息图S2中展示三种吸附方式的差分电荷密度图, 可以看到Ti原子与N2之间皆发生了明显的电荷重分布现象. 其中电荷从N2中的N原子向TiO2中Vo附近的Ti原子汇聚, 这可能是由于Ti原子接受了N原子的孤对电子, 通过共享d轨道的电子给πN—N反键轨道用来活化N2[55]. 综上所述, N2在Vo-TiO2 (101)表面上最有可能以在Vo上的侧向吸附方式吸附, 且Vo-TiO2 (101)表面能够削弱和活化N≡N.
为了进一步分析不同吸附模式下Vo-TiO2 (101)表面和所吸附的N2之间的相互作用, 分别对三种吸附模式进行了态密度分析的计算. 支持信息图S3和S4是N2分别在Vo上进行侧向吸附, 在Vo上进行端向吸附和在邻近Vo的端向吸附这几种方式在几何优化后, 选取体系中距离最近的一对N原子和Ti原子进行态密度分析所得到的结果. 当N2以侧向吸附方式吸附在Vo-TiO2 (101)表面的Vo上时(图S3), 由于体系中存在N(1)原子和Ti(1)原子之间的距离与N(2)原子和Ti(2)原子之间的距离十分接近, 分别为0.2153 nm和0.2072 nm, 因此对上述两对原子分别进行了态密度分析.
在0 eV附近, Ti原子和N原子的态密度谱图呈现出显著的重叠特征, 其中Ti原子的重叠峰主要来源于其d轨道(图S3和S4). 这再次印证了Ti原子接受了N原子的孤对电子, 通过共享d轨道的电子给πN—N反键轨道用来活化N2的推测[55]. 此外, 可以观察到, 在图S3中, 图a和图b中Ti原子和N原子之间的峰重叠度十分接近. 而相比于图S4中的图a和图b, 图S3中两峰的重叠程度显著较高. 这说明当N2以在Vo上以侧向吸附方式吸附在Vo-TiO2 (101)表面上时, 二者的相互作用最大. 这也和理论计算中得出的, N2在Vo上进行侧向方式吸附在Vo-TiO2 (101)表面上时其吸附能最大这一结论相吻合.

2.5.4 尿素在Vo-TiO2 (101)表面的生成

为了进一步探究Vo-TiO2 (101)表面机械化学合成尿素的机制, 本工作分析了该过程中可能涉及的机理. 分别建立了当N2侧向吸附和端向吸附于Vo-TiO2 (101)表面上时和CO2通过C—N偶联反应生成尿素的可能的演变路径过程中涉及的相关模型, 对其进行分析(图14, 图15).
图14 N2在Vo-TiO2 (101)表面于Vo上侧向吸附时机械化学合成尿素可能的演变路线(灰色小球代表Ti, 红色小球代表O, 蓝色小球代表N, 白色小球代表H, 深灰色小球代表C)

Figure 14 The possible evolution pathway for the mechanochemical synthesis of urea with the side-on adsorption of N2 on the Vo site of the Vo-TiO2 (101) surface (grey balls represent Ti, red balls O, blue balls N, white balls H, dark-grey balls C)

图15 N2在Vo-TiO2 (101)表面于Vo上端向吸附时机械化学合成尿素可能的演变路线(灰色小球代表Ti, 红色小球代表O, 蓝色小球代表N, 白色小球代表H, 深灰色小球代表C)

Figure 15 The possible evolution pathway for the mechanochemical synthesis of urea with the end-on adsorption of N2 on the Vo site of the Vo-TiO2 (101) surface (grey balls represent Ti, red balls O, blue balls N, white balls H, dark-grey balls C)

表S1中显示了每一步反应几何优化后所得的总能量和结构. 如图14所示, 当N2在Vo-TiO2 (101)表面上侧向吸附时, CO2分子在催化剂表面的吸附能为–0.22 eV, 随后CO2分子经过两步反应还原为*CO中间体. *CO与被活化的N2有着相匹配的分子轨道, 从而形成塔状的*NCON*中间体[56]. 根据理论计算, 这一步需要克服0.45 eV的形成能(图16). 而后续的陆续获取自由氢直到生成尿素这几步的形成能皆为负值. 这表明当N2和*CO发生C—N偶联反应生成了*NCON中间体后, 后续捕获体系中的自由氢, 生成最终产物尿素这几步反应皆在热力学上有利. 此外, 根据理论计算所得, *NCON中间体获得一个H原子生成*NCONH中间体这一步的形成能为–4.31 eV. 当该中间体进一步加氢时, 存在两种可能的反应路径: 其一是在已获得氢的N原子上继续加氢形成*NCONH2中间体, 该步反应的形成能为–5.70 eV; 其二是在另一个N原子上加氢形成*NHCONH中间体, 该步反应的形成能为–5.45 eV. 由于前者具有更低的形成能, 因此本工作认为H原子倾向于优先加成到已得到H原子的N原子上, 从而生成*NCONH2中间体.
图16 N2在Vo-TiO2 (101)表面上以侧向吸附和端向吸附时机械球磨合成尿素过程中各反应步骤之间形成能的变化

Figure 16 The formation energy between each reaction step during the mechanical ball milling synthesis of urea with N2 adsorbed on the Vo-TiO2 (101) surface via side-on and end-on adsorption

H2O裂解与C—N耦合共同构成串联式共决速步. H2O的裂解能垒(3.26 eV)较高, 但其在氧空位位点的裂解能垒(2.38 eV)更接近C—N耦合反应能垒(0.45 eV), 且具有更强的路径依赖性, 同时实验也证实C—N耦合是尿素生成的必经步骤, 而催化剂的氧空位位点通过协同促进N2活化与H2O裂解, 实现整体速率提升.
图15为N2在Vo-TiO2 (101)表面于Vo上端向吸附时机械化学合成尿素可能的演变路线, 可以观察到*CO2→*COOH→*CO这两步反应的形成能分别为 –2.27 eV和–0.20 eV. 但是随后*N2和*CO生成*NCON中间体这一步的形成能却高达1.71 eV. 这意味着这一步在Vo-TiO2 (101)表面上的发生需要克服较高的形成能. 后续反应和N2在Vo-TiO2 (101)表面上侧向吸附时一样, 在生成*NCON中间体后, 通过连续的加氢反应能够生成目标产物尿素.
图16总结了N2在Vo-TiO2 (101)表面上以侧向吸附和端向吸附时机械球磨合成尿素过程中各反应步骤形成能的变化. 无论N2在Vo-TiO2 (101)表面上侧向吸附还是端向吸附, 整个反应过程中N2和*CO发生C—N偶联反应生成了*NCON中间体这一步所需要克服的形成能最大, 分别为0.45 eV(侧向吸附)和1.71 eV(端向吸附). ΔE的显著差异(1.26 eV)表明侧向吸附路径的活化能垒更低. 结合实验观测的更高尿素产率(133.59 μg•L-1•h-1), 可推断侧向吸附构型在动力学上更有利. 因此, *NCON中间体的生成这一步为以N2和CO2合成尿素过程中的速控步. 而当N2在Vo-TiO2 (101)表面上侧向吸附时, 该速控步所需要克服的形成能较低, 因此, 推测N2侧向吸附于催化剂表面更有利于尿素的生成.
综上所述, 在N2、H2O和CO2作为原料通过机械化学法合成尿素的过程中, 存在两个关键反应步骤: 首先, H2O在Vo-TiO2 (101)表面发生吸附和解离, 生成自由H原子, 这些自由H原子为N2和CO2的还原提供了重要的氢源. 其次, 含氮中间体(*N2)与含碳中间体(*CO)之间发生C—N偶联反应生成关键的尿素中间体(*NCON). 这两个协同作用的步骤是尿素合成过程的核心反应路径, 对尿素的生成速率有着很大的影响.

3 结论

本工作通过实验和理论计算研究了在常温常压下利用N2、CO2和H2O为前驱体, 利用TiO2为催化剂通过机械催化一步合成尿素的新方法. 当加入的H2O为30 mL, 二氧化锆磨球的装载量为140 g、机械球磨转速为650 r/min、加入TiO2量为0.5 g时, 尿素的产率能够达到133.59 μg•L-1•h-1. 提出了可能的反应机理, 通过DFT理论计算发现, TiO2能促进N2的吸附并活化N2且有助于H2O中O—H键的断裂, 为体系中提供自由H原子. 这些自由H原子可作为N2和CO2还原过程中的关键氢源有助于尿素的合成.
支持信息表S2列举了近年来不同尿素合成工艺以及本工作尿素合成性能的对比情况. 可以看出, 尽管在产率方面机械催化法相较于光催化和电催化方法略低, 但考虑到其自身的工艺优势, 仍展现出一定的应用潜力. 目前机械催化合成尿素尚处于萌芽阶段, 其尿素产率具有提升的空间, 有望通过优化催化剂提高尿素产率. 作为一种绿色低碳的合成技术, 机械化学方法具有能耗低、规模灵活可控等优势, 有希望实现分布式部署, 即在使用现场直接建立生产设施, 实现“即产即用”的一体化模式, 从而有效降低传统集中式生产中运输、分配、管理和存储等环节所产生的成本.

4 实验部分

4.1 N2+CO2+H2O体系机械化学合成尿素

将30 mL的H2O加入到100 mL的二氧化锆球磨罐中, 然后以1.5 L•min-1的流速向H2O中鼓泡通入CO2持续30 min使溶液饱和. 之后再向球磨罐中加入140 g的二氧化锆磨球, 接着以1.5 L•min-1的流速向溶液中通入N2持续30 min. 最后加入0.5 g的催化剂, 将填料完毕的球磨罐对称地安装于行星球磨机内, 设置参数使得球磨机每隔30 min便顺时针、逆时针交替运行, 运行方向转换之间停止运行5 min. 最后设置球磨的总时间为2.5 h, 球磨的转速为650 r/min.
待机械球磨反应完成之后, 卸下球磨罐, 收集其内的悬浊液, 并使用离心机在12500 r/min转速下, 运行5 min, 将其中的固体和液体分离后分别收集清澈的液体和固体粉末. 将所收集到的固体粉末在真空干燥箱内80 ℃下干燥12 h为后续的表征做准备. 对于所收集到的液体, 使用二乙酰一肟法利用分光光度检测其中的尿素的浓度.

4.2 二乙酰一肟分光光度法测定样品中的尿素浓度

机械球磨合成尿素反应结束后, 使用二乙酰一肟法检测离心分离出的溶液中尿素的浓度. 显色剂配制如下:
溶液A: 酸性铁溶液, 将10 mL浓磷酸、30 mL浓硫酸和60 mL去离子水混合, 然后在得到的溶液中溶解100 mg三氯化铁.
溶液B: 二乙酰一肟(DAMO)-硫代氨基脲(TSC)溶液. 将0.5 g DAMO和10 mg TSC溶于蒸馏水, 稀释至100 mL. 然后制备尿素标准溶液(范围为0~10 mg•L-1).
尿素检测工作曲线的绘制: 将2 mL的A溶液和1 mL的B溶液加入到1 mL已知浓度的尿素溶液中, 通过超声波清洗机震荡使其混合均匀. 然后将混合溶液在封闭的试剂瓶中于鼓风烘箱内加热至100 ℃, 并在此温度下保存15 min取出, 然后在常温下暗处水浴冷却3 min. 随后在525 nm处测量其吸光度, 并建立相应的工作曲线[8], 吸光度与尿素浓度呈良好的线性关系.
反应完成后离心分离待测液, 将2 mL的A溶液和1 mL的B溶液加入到1 mL待测液中, 并通过超声波清洗机震荡使其混合均匀. 同样将混合溶液在封闭的试剂瓶中于鼓风烘箱内加热至100 ℃, 并在此温度下保存15 min取出, 然后在常温下暗处水浴冷却3 min. 随后在525 nm处测量其吸光度. 依据尿素浓度和吸光度的关系计算待测液中尿素的浓度. 尿素的浓度和吸光度遵循以下关系: ABS=0.0789Curea+0.06687.

4.3 DFT理论计算

本研究采用Materials Studio软件中的CASTEP程序包进行密度泛函理论(Density Functional Theory, DFT)计算[57]. 计算过程中选用Perdew-Burke-Ernzerhof(PBE)泛函结合广义梯度近似(GGA)方法, 并构建了超晶胞模型, k点网格设置为1×1×1. 计算参数设置如下: 能量收敛公差为2.0×10-5 eV•atom-1, 最大应力收敛标准为0.5 eV•nm-1, 最大压力容差为0.1 GPa, 最大位移收敛标准为0.0002 nm. 赝势处理采用OTFG超软赝势, 并应用Koelling-Hamon方法进行相对论效应修正. 平面波截断能设置为400 eV, 自洽场(SCF)计算收敛标准为2.0×10-6 eV•atom-1, 最大自洽迭代次数设置为500次.
在计算吸附能时, 计算公式为(9):
ΔEA=E(sub/A)–E(sub)–EA
E(sub/A)代表A (=*CO2, *COOH, *CO, *NH3, *NH2, *H2O等)在催化剂上的总能量. E(sub)和EA分别代表催化剂基底和A的总能量.
在计算氧空位(Vo)的形成能时, 计算公式为(10):
ΔE(Vo)=Et(TiO2表面含Vo)+0.5Et(O2)–Et(TiO2表面)
对于形如A+B→C+D的反应, 其形成能可通过式(11)计算:
ΔE=Et(C)+Et(D)–Et(A)–Et(B)
Et(A)、Et(B)、Et(C)、Et(D)分别代表A、B、C、D的总能量.
由于CASTEP仅能对周期性结构进行计算, 因此先建立了一个空的晶胞, 将单一的H2O、N2、CO2等分子分别放入晶胞中, 分别进行几何优化.
基于XRD得到的信息以及前人的工作[29], 选取了锐钛矿晶型的TiO2 (101)晶面作为主要研究的对象. 为满足平面波赝势计算所需的周期性条件, 构筑了包含体相和表面的锐钛矿晶型TiO2 (101)晶胞模型. TiO2 (101)表面的厚度设定为3.0层, 并在此基础之上构建了厚度为1.5 nm的真空层. 之后, 构筑了1×2×1的超晶胞, 该晶胞中共包含114个原子. 其中, 内部原子的坐标以及晶胞参数均保持松弛状态. 固定底层以及倒数第二层所有原子的分数坐标与笛卡尔坐标, 仅使表面一层的原子保持松弛状态后, 对该晶胞进行几何优化(图17).
图17 TiO2 (101)晶面结构(几何优化后所得的结果): (a)俯视图, (b)侧视图, (c)主视图(灰色小球表示Ti, 红色小球表示O)

Figure 17 The structure of TiO2 (101) surface (the result from geometry optimization): (a) top view, (b) side view, (c) main view (grey balls represent Ti, red balls represent O)

表S1中分别列出了理论计算中所涉及的所有模型经过几何优化后所得到的构型, 以及其对应的最终焓值(白色球、红色球、深灰色球、蓝色球、灰色球分别代表H、O、C、N、Ti原子). 基于最终焓值, 可以进一步计算某一步反应的吸附能或形成能[式(9)到(11)].
(Cheng, B.)
[1]
Kumar, V.; Garg, A.-K.; Sarkar, S.; Sonkar, S.-K. J. Phys. Chem. Lett. 2025, 16, 1501.

DOI

[2]
Kohlhaas, Y.; Tschauder, Y. S.; Plischka, W.; Simon, U.; Eichel, R.-A.; Wessling, M.; Keller, R. Joule 2024, 8, 1579.

DOI

[3]
Gao, Y.-H.; Wang, J.-N.; Sun, M.-L.; Jing, Y.; Chen, L.-L.; Liang, Z.-Q.; Yang, Y.-J.; Zhang, C.; Yao, J.-N.; Wang, X. Angew. Chem. Int. Ed. 2024, 63, e202402215.

DOI

[4]
Erisman, J.-W.; Sutton, M. A.; Galloway, J.; Klimont, Z.; Winiwarter, W. Nat. Geosci. 2008, 1, 636.

DOI

[5]
Pérez-Fortes, M.; Bocin-Dumitriu, A.; Tzimas, E. Energy Procedia. 2014, 63, 7968.

DOI

[6]
Xu, W.; Wu, Z.-C.; Tao, S.-W. Energy Technol. 2016, 4, 1329.

DOI

[7]
Ying, H.-Z.; Zhang, Y.-F.; Cheng, J.-J. Nat. Commun. 2014, 5, 3218.

DOI

[8]
Lou, Y.-C.; Chen, H.-Y.; Wang, L.-R.; Chen, S.-P.; Song, Y.-M.; Ding, Y.-F.; Hao, Z.-X.; He, C.-L.; Qiu, D.; Li, H.; Wang, J.-J.; Liu, D.-Y.; Cui, X.-L. ACS Sustainable Chem. Eng. 2025, 13, 151.

DOI

[9]
Giddey, S.; Badwal, S. P. S.; Kulkarni, A. Int. J. Hydrogen Energy 2013, 38, 14576.

DOI

[10]
Li, S.-J.; Bao, D.; Shi, M.-M.; Wulan, B.-R.; Yan, J.-M.; Jiang, Q. Adv. Mater. 2017, 29, 1700001.

DOI

[11]
Chen, S.-M.; Perathoner, S.; Ampelli, C.; Mebrahtu, C.; Su, D.-S.; Centi, G. Angew. Chem. Int. Ed. 2017, 56, 2699.

DOI

[12]
Shi, M.-M.; Bao, D.; Wulan, B.-R.; Li, Y.-H.; Zhang, Y.-F.; Yan, J.-M.; Jiang, Q. Adv. Mater. 2017, 29, 1606550.

DOI

[13]
Bao, D.; Zhang, Q.; Meng, F.-L.; Zhong, H.-X.; Shi, M.-M.; Zhang, Y.; Yan, J.-M.; Jiang, Q. Zhang, X.-B. Adv. Mater. 2017, 29, 1604799.

DOI

[14]
Chen, G.-F.; Cao, X.-R.; Wu, S.-Q.; Zeng, X.-Y.; Ding, L.-X.; Zhu, M.; Wang, H.-H. J. Am. Chem. Soc. 2017, 139, 9771.

DOI

[15]
Szczęśniak, B.; Borysiuk, S.; Choma, J.; Jaroniec, M. Mater. Horiz. 2020, 7, 1457.

DOI

[16]
James, S.-L.; Adams, C.-J.; Bolm, C.; Braga, D.; Collier, P.; Friščić, T.; Grepioni, F.; Harris, K. D.-M.; Hyett, G.; Jones, W.; Krebs, A.; Mack, J.; Maini, L.; Orpen, A.-G.; Parkin, I.-P.; Shearouse, W.-C.; Steed, J.-W.; Waddell, D.-C. Chem. Soc. Rev. 2012, 41, 413.

DOI

[17]
Gomollón-Bel, F. Chem. International. 2019, 41, 12.

[18]
Xu, Q.-L.; Sun, R.-F.; Wang, J.-L.; He, X.-S. Chin. J. Org. Chem. 2025, 45, 2416. (in Chinese)

DOI

(许秋玲, 孙瑞芬, 王均亮, 何晓山, 有机化学, 2025, 45, 2416.)

DOI

[19]
Liu, X.-G.; Li, Y.-J.; Zeng, L.; Li, X.; Chen, N.; Bai, S.-B.; He, H.-N.; Wang, Q.; Zhang, C.-H. Adv. Mater. 2022, 34, 2108327.

DOI

[20]
Zhang, Y.-Q.; Liu, J.-Z.; Xue, D.-X.; Shi, Y.-X.; Zhang, W.-X. Acta Chim. Sinica 2025, 83, DOI: 10.6023/A25030074. (in Chinese)

(张聿棋, 刘金泽, 薛东旭, 史昱翔, 张伟贤, 化学学报, 2025, 83, DOI: 10.6023/A25030074.)

[21]
Liu, Y.-H.; Gao, P. Acta Chim. Sinica 2024, 82, 1114. (in Chinese)

DOI

(刘雨涵, 高盼, 化学学报, 2024, 82, 1114.)

DOI

[22]
Wang, G.-W.; Pan, H. Chin. J. Org. Chem. 2023, 43, 4010. (in Chinese)

DOI

(王官武, 潘虹, 有机化学, 2023, 43, 4010.)

DOI

[23]
Feng, H.-Y.; Shao, X.-Y.; Wang, Z.-H.; Pan, X.-C. Chin. Sci. Bull. 2024, 69, 3412. (in Chinese)

(冯浩洋, 邵晓阳, 王振华, 潘翔城, 科学通报, 2024, 69, 3412.)

[24]
Han, G.-F.; Li, F.; Chen, Z.-W.; Coppex, C.; Kim, S.-J.; Noh, H.-J.; Fu, Z.-P.; Lu, Y.-L.; Singh, C. V.; Siahrostami, S.; Jiang, Q.; Baek, J.-B. Nat. Nanotechnol. 2021, 16, 325.

DOI

[25]
Kim, J.-H.; Dai, T.-Y.; Yang, M.; Seo, J.-M.; Lee, J.-S.; Kweon, D.-H.; Lang, X.-Y.; Ihm, K.; Shin, T. J.; Han, G.-F.; Jiang, Q.; Baek, J.-B. Nat. Commun. 2023, 14, 2319.

DOI

[26]
Lee, J.-S.; Kim, S.; Kim, S.-H.; Baek, J.-H.; Seo, J.-M.; Lee, S.-J.; Li, C.-Q.; Guan, R.-N.; Jang, B.-J.; Han, G.-F.; Han, S.-S.; Baek, J.-B. Nat. Commun. 2025, 16, 5703.

DOI

[27]
He, C.-L.; Li, Q.-D.; Zhang, X.-Y.; Lu, Y.-X.; Qiu, D.; Chen, Y.; Cui, X.-L. ACS Sustainable Chem. Eng. 2022, 10, 746.

DOI

[28]
He, C.-L.; Hao, Z.-X.; Wang, L.-R.; Qiu, D.; Wang, M.-Y.; Chen, Y.; Cui, X.-L. ChemCatChem. 2023, e202201244.

[29]
He, C.-L.; Chen, Y.; Hao, Z.-X.; Wang, L.-R.; Wang, M.-Y.; Cui, X.-L. Small 2024, 20, e2309500.

[30]
Cao, N.; Chen, Z.; Zang, K.-T.; Xu, J.; Zhong, J.; Luo, J.; Xu, X.; Zheng, G.-F. Nat. Commun. 2019, 10, 2877.

DOI PMID

[31]
Li, J.-L.; Zhang, M.; Guan, Z.-J.; Li, Q.-Y.; He, C.-Q.; Yang, J.-J. App. Catal. B: Environ. 2017, 206, 300.

DOI

[32]
Liang, J.-L.; Xu, Q.-H.; Teng, X.; Guan, W.-J.; Lu, C. Anal. Chem. 2020, 92, 1628.

DOI

[33]
Asahi, R.; Morikawa, T.; Ohwaki, T.; Aoki, K.; Taga, Y. Science 2001, 293, 269.

DOI PMID

[34]
Ding, Z.-P.; Sun, M.-X.; Liu, W.-Z.; Sun, W.-B.; Meng, X.-L.; Zheng, Y.-Q. Sep. Purif. Technol. 2021, 276, 119287.

DOI

[35]
Li, C.; Gu, M.-Z.; Gao, M.-M.; Liu, K.-N.; Zhao, X.-Y.; Cao, N.-W.; Feng, J.; Ren, Y.-M.; Wei, T.; Zhang, M.-Y. J. Colloid. Interf. Sci. 2022, 609, 341.

DOI

[36]
Wang, J.-P.; Lin, W.; Ran, Y.; Cui, J.-Y.; Wang, L.; Yu, X.-L.; Zhang, Y.-H. J. Phys. Chem. C 2020, 124, 1253.

DOI

[37]
Rychtowski, P.; Paszkiewicz, O.; Román-Martínez, M.-C.; Lillo-Ródenas, M.-Á.; Markowska-Szczupak, A.; Tryba, B. Molecules 2022, 27, 9032.

DOI

[38]
Hurum, D.-C.; Agrios, A.-G.; Gray, K.-A.; Rajh, T.; Thurnauer, M.-C. J. Phys. Chem. B 2003, 107, 4545.

DOI

[39]
Howe, R.-F.; Grätzel, M. J. Phys. Chem. 1985, 89, 4495.

DOI

[40]
Zhang, X.; Wang, C.-H.; Guo, Y.-M.; Zhang, B.; Wang, Y.-T.; Yu, Y.-F. J. Mater. Chem. A 2022, 10, 6448.

DOI

[41]
Li, Y.-H.; Wu, X.-P.; Liu, C.; Wang, M.; Song, B.-T.; Yu, G.-Y.; Yang, G.; Hou, W.-H.; Gong, X.-Q.; Peng, L.-M. Acta Phys.-Chim. Sin. 2020, 36, 1905021.

[42]
Rutar, M.; Rozman, N.; Pregelj, M.; Bittencourt, C.; Cerc Korošec, R.; Sever Škapin, A.; Mrzel, A.; Škapin, S.-D.; Umek, P. Beilstein J. Nanotech. 2015, 6, 831.

DOI

[43]
Zhang, Z.-Z.; Wang, X.-X.; Long, J.-L.; Gu, Q.; Ding, Z.-X.; Fu, X.-Z. J. Catal. 2010, 276, 201.

DOI

[44]
Xu, Z.-F.; Yang, Z.-W.; Lu, H.; Zhu, J.-C.; Li, J.-L.; Fan, M.-H.; Zhao, Z.; Kong, X.-D.; Wang, K.; Geng, Z.-G. Nano Lett. 2024, 24, 11730.

DOI

[45]
Ye, W.; Zhang, Y.; Chen, L.; Wu, F.-F.; Yao, Y.-H.; Wang, W.; Zhu, G.-P.; Jia, G.; Bai, Z.-C.; Dou, S.-X.; Gao, P.; Wang, N.-N.; Wang, G.-X. Angew. Chem. Int. Ed. 2024, 63, e202410105.

DOI

[46]
Yao, Y.; Zhu, S.-Q.; Wang, H.-J.; Li, H.; Shao, M.-H. J. Am. Chem. Soc. 2018, 140, 1496.

DOI PMID

[47]
Coleman, M. M.; Lee, K. H.; Skrovanek, D. J.; Painter, P. C. Macromolecules 1986, 19, 2149.

DOI

[48]
Xia, M.-K.; Mao, C.-L.; Gu, A.-L.; Tountas, A. A.; Qiu, C.-Y.; Wood, T. E.; Li, Y.-F.; Ulmer, U.; Xu, Y.-F.; Viasus, C. J.; Ye, J.; Qian, C.-X.; Ozin, G. Angew. Chem. Int. Ed. 2022, 61, e202110158.

DOI

[49]
Song, S.-X.; Wei, J.-Y.; He, X., Yan, G.-F.; Jiao, M.-Y.; Zeng, W.; Dai, F.-F.; Shi, M.-D. RSC Adv. 2021, 11, 35361.

DOI

[50]
Zhang, X.-R.; Zhu, X.-R.; Bo, S.-W.; Chen, C.; Cheng, K.; Zheng, J.-Y.; Li, S.; Tu, X.-J.; Chen, W.; Xie, C.; Wei, X.-X.; Wang, D.-D.; Liu, Y.-Y.; Chen, P.-S.; Jiang, S.-P.; Li, Y.-F.; Liu, Q.-H.; Li, C.-G.; Wang, S.-Y. Angew. Chem. Int. Ed. 2023, 62, e202305447.

DOI

[51]
Yang, S.-Y.; Zhang, W.-S.; Pan, G.-L.; Chen, J.-Y.; Deng, J.-Y.; Chen, K.; Xie, X.-L., Han, D.-X.; Dai, M.-J.; Niu, L. Angew. Chem. Int. Ed. 2023, 62, e202312076.

DOI

[52]
(a) Zhan, X.-R.; Zheng, J.-Y.; Lv, Y.-H.; Wang, S.-Y. Chem. J. Chinese Universities 2023, 44, 20220717.

(b) Yuan, J.-L.; Hu, L.; Huang, J.; Chen, Y.-Q.; Qiao, S.-S.; Xie, H.-B. Appl. Catal. B: Environ. 2023, 339, 123146.

DOI

[53]
Zhu, X.-R.; Zhou, X.-C.; Jing, Y.; Li, Y.-F. Nat. Commun. 2021, 12, 4080.

DOI

[54]
Tricker, A.-W.; Hebisch, K.-L.; Buchmann, M.; Liu, Y.-H.; Rose, M.; Stavitski, E.; Medford, A.-J.; Hatzell, M.-C.; Sievers, C. ACS Energy Lett. 2020, 5, 3362.

DOI

[55]
Zhang, Y.-Z.; Chen, X.; Zhang, S.-Y.; Yin, L.-F.; Yang, Y. Chem. Eng. J. 2020, 401, 126033.

DOI

[56]
Chen, C.; Zhu, X.-R.; Wen, X.-J.; Zhou, Y.-Y.; Zhou, L.; Li, H.; Tao, L.; Li, Q.-I.; Du, S.-Q.; Liu, T.-T.; Yan, D.-F.; Xie, C.; Zou, Y.-Q.; Wang, Y.-Y.; Chen, R.; Huo, J.; Li, Y.-F.; Cheng, J.; Su, H.; Zhao, X.; Cheng, W.-R.; Liu, Q.-H.; Lin, H.-Z.; Luo, J.; Chen, J.; Dong, M.-D.; Cheng, K.; Li, C.-G.; Wang, S.-Y. Nat. Chem. 2020, 12, 717.

DOI PMID

[57]
Clark, S.-J.; Segall, M.-D.; Pickard, C.-J.; Hasnip, P.-J.; Probert, M. I. J.; Refson, K.; Payne, M. C. Z. Kristallogr. 2005, 220, 567.

Outlines

/