Article

Design, Preparation and Performance of Cyanoborohydride Based Coordination Compounds for Hypergolic Fuels

  • Lei Dai a ,
  • Mingcheng Ge a ,
  • Ye Zhong a ,
  • Linna Liang b ,
  • Haiyan Jiang c ,
  • Jianguo Zhang a ,
  • Zhimin Li , a, *
Expand
  • a State Key Laboratory of Explosion Science and Safety Protection, Beijing Institute of Technology, Beijing 100081, China
  • b North Institute of Science and Technical Information, Beijing 100089, China
  • c Xi’an Modern Chemistry Research Institute, Xi’an 710065, China
* E-mail:

Received date: 2025-07-18

  Online published: 2025-09-12

Supported by

National Natural Science Foundation of China(22175025)

Abstract

Solid-liquid hybrid hypergolic propellants have potential application in space power systems, in order to explore novel hypergolic fuels, four metal complex hypergolic fuels MCCHFs 1~4 were designed and synthesized by using Co(II) and Ni(II) as the central metal ions, 1-methylimidazole and 1-methyltetrazolium as ligands, and cyano-borohydride as the anion. The crystal structures of these complexes were accurately determined, and their thermal behavior, mechanical sensitivities, hypergolic and energetic performances were studied in detail. The results show that the peak temperatures of the thermal decomposition of the four complexes were in the range of 152.4~176.3 ℃, MCCHF-1 and MCCHF-4 exhibit mechanical stimulation sensitivity (IS: 8 J, 17 J; FS: 288 N, 216 N), MCCHF-2 and MCCHF-3 are insensitive to mechanical stimulation (IS>40 J, FS>360 N). The four compounds are all able to react with white fuming nitric acid by spontaneous ignition, and the ignition delay time are in the range of 2~57 ms, with MCCHF-1 performing the best of 2 ms. The heat of combustion of MCCHF-2 is the highest, with a mass energy density of 25.41 kJ•g−1 and a volumetric energy density of 32.17 kJ•cm−3. MCCHF-1, MCCHF-4 with HNO3, N2O4, and H2O2 three liquid oxidizers, show good specific impulse performance, in which the propellant combined with H2O2 has the best performance, with a vacuum specific impulse as high as 268.37 s, which was higher than that of the traditional spontaneous combustion fuels, such as meta-dimethylhydrazine (258 s). As a new type of hypergolic solid fuel, the active metal complexes based on cyanoborohydride anion are expected to promote the development of solid-liquid propellant technology.

Cite this article

Lei Dai , Mingcheng Ge , Ye Zhong , Linna Liang , Haiyan Jiang , Jianguo Zhang , Zhimin Li . Design, Preparation and Performance of Cyanoborohydride Based Coordination Compounds for Hypergolic Fuels[J]. Acta Chimica Sinica, 2025 , 83(12) : 1538 -1550 . DOI: 10.6023/A25070259

1 引言

固液混合推进剂作为新型的化学推进能源物质, 一般由固体燃料与液态氧化剂组成, 比冲介于传统液体与固体推进剂之间, 兼具能量高、推力可调、低温感、安全性高、环境污染小等优点, 突破了传统固体推进剂中高能燃料与氧化剂相容性受限以及液体推进剂中难以引入固体燃料组分的技术瓶颈[1-5], 在探空火箭、亚轨道飞行器以及载人飞船、先进姿轨控制动力系统和快速机动发射运载器推进系统等方面具有巨大的应用前景[6-8], 自2004年美国“太空船一号”亚轨道飞行器首次实现混合推进以来, 在全球航天领域掀起了固液混合推进技术研究热潮[9-10].
固液混合火箭发动机相比传统的液体和固体火箭推进系统具有许多优势, 包括安全性、可靠性、推进剂多样性、温度敏感性和低成本[11]. 目前, 面对我国日益增长的空间推进需求, 火箭发动机的应用领域不断拓宽, 这对其能量性能、安全性能、使用成本等提出了更为严苛的要求, 而固液混合发动机推力可调、成本低廉、多次启动等优势被视为一种极具前景的航天动力装 置[9,12], 并且固液混合推进剂能够在发动机的使用条件下, 通过固体燃料与液体氧化剂的相互接触实现自发点火并持续燃烧, 由于无需外界的点火装置, 极大简化了发动机的设计[13-14]. 然而, 当前固液混合推进技术的实际应用仍以石蜡基固体燃料为主体, 此类燃料虽具有低成本、低毒性等优势, 但存在能量密度偏低[15]、燃烧效率受氧化剂雾化质量限制显著等问题[16-17]. 相比之下, 自燃型固液混合推进系统可通过燃料与氧化剂的化学自燃特性解决点火可靠性问题, 目前液体火箭发动机中N2O4与肼类燃料组合作为一种自燃型推进剂已被广泛应用, 但其依赖纯液态燃料储存与输送, 存在挥发损失、管路腐蚀等问题[18]. 而自燃型固液混合推进剂可以通过固体燃料的固定形态与液态氧化剂的灵活调节相结合, 兼顾能量密度与操作安全性. 其中, 高性能的自燃燃料是影响固液混合推进剂性能的关键因素, 开发具有超快点火延迟时间和高能量密度的自燃燃料已成为研究人员的一项重要任务. 目前普遍使用的肼类自燃燃料虽具备优良的点火特性, 但其存在剧毒性、高挥发性及强致癌性等缺陷[19]. 因此, 开发兼具高能低毒、环境友好及低成本的新型自燃燃料, 已成为化学推进剂领域的迫切需求[20].
在自燃固体燃料中引入金属元素是一种新兴的策略, 而金属配合物自燃燃料具有高的能量、高的稳定性、可调控的燃烧特性等优点在新型自燃材料中极具潜 力[21-23]. 金属离子往往能够促进推进剂的燃烧性能, 添加的燃烧催化剂多含金属元素, 通过探究高氯酸铵(AP)的热分解机理[24], 可以改善AP的热分解特性[25-26]. 特别是过渡金属元素中含有较活泼的电子、多变的价态和空轨道, 可以作为催化位点, 在燃烧中表现出良好的反应活性[27-29]. 近年来, 已有报道探究了将金属配合物应用于自燃推进剂燃料中的可行性, 包括沸石咪唑骨 架[30-31]、金属有机框架材料[32-36]以及双金属离子液 体[37-40]等, 研究揭示了它们通过降低能垒促进与白烟硝酸的自燃点火过程, 可以有效缩短点火延迟时间, 甚至引发惰性燃料的自燃行为[41-42]. 2019年, Rogers等[43]报道了一系列的金属配合物自燃燃料, 它们虽然具有较短的点火延迟时间, 但操作过程复杂, 需要多步配位反应. 一直以来, 阴离子被证明能够引发和促进自燃点火. 因此, 易于氧化的关键富电子和富燃料阴离子, 如二氰胺根DCA⁻、硝基氰胺根NCA⁻、硼烷根BH4⁻及氰基硼氢根CBH⁻等已成功构建出多级配位结构, 但大多比冲性能较低, 且点火延迟时间较长[44-47], 不满足推进剂实际应用中所需的能量参数, 并且不同配位模式的阴离子也有较大的差别, 二氰胺根中由双齿和三齿配位模式构建的配合物自燃燃料则无法点燃白烟硝酸(WFNA)[45]. 其中以硼为中心的高能量密度阴离子表现出卓越的点火性能[48-49], 进一步的研究旨在探索氰基硼氢系列金属配合物不同配体对结构和反应活性的影响, 这对于推进绿色自燃航天燃料的发展具有重要的意义[50-51].
以具有强还原性的氰基硼氢阴离子为活性基团, 结合1-甲基咪唑、1-甲基四唑配体以及Co和Ni为金属中心, 合成了4种配合物固体燃料, 表征了它们的结构和基本性质, 研究了它们与白烟硝酸的自燃点火活性, 并分析了在不同氧燃比(O/F)条件下四唑基燃料MCCHF-1和MCCHF-4与HNO3、N2O4、H2O2液体氧化剂对推进剂真空比冲参数的影响.

2 结果与讨论

2.1 晶体结构

通过溶剂挥发法获得了4种金属配合物的单晶样品, 外观形貌如图1所示. 受物质本身的性质以及温度、压力、溶液过饱和度等因素的影响, 晶体在不同方向的生长速率差异导致形态变化. 其中含Co的晶体MCCHF-1和MCCHF-2长势良好, 分别呈淡黄色或鲜红色块状, 形状规则, 棱角分明, 单晶表面无杂质. 而Ni的两种配合物形态差异较大, MCCHF-3为透明细块状晶体, MCCHF-4晶体体积较大, 其形状呈块状但通透性较差, 二者颜色均为淡绿色.
图1 (a) MCCHF-1, (b) MCCHF-2, (c) MCCHF-3和(d) MCCHF-4的晶体外观

Figure 1 Crystal appearance of (a) MCCHF-1, (b) MCCHF-2, (c) MCCHF-3 and (d) MCCHF-4

4种配合物的粉末样品X射线衍射图谱(PXRD)与其对应的单晶模拟的PXRD对比情况如图2所示, MCCHFs 1~4的粉末样品测试均在10°~15°及20°~30°衍射角范围内有较强峰出现, 出峰较清晰, 其与单晶模拟的衍射峰都能较好地吻合. 总体而言, 这4种配合物的粉末样品纯度较高, 质地均匀, 流散性好, 可以为后续性能测试及应用探究使用.
图2 (a) MCCHF-1, (b) MCCHF-2, (c) MCCHF-3和(d) MCCHF-4的X射线粉末衍射图

Figure 2 X-ray powder diffractograms of (a) MCCHF-1, (b) MCCHF-2, (c) MCCHF-3 and (d) MCCHF-4

通过单晶X-射线衍射解析可以得到4种配合物燃料的晶体学参数, 如表1所示. 咪唑基和四唑基的两组配合物均属于单斜晶系, 每个晶胞中最小的不对称单元数Z均为2. 4种配合物的晶胞体积相差较大, 分布在1.115~1.225 nm3范围内, 每组同类型的两种物质晶胞参数较为接近, 其中MCCHFs 2~3体积稍大, 超过了1.22 nm3, 但由于其晶胞体积内的空隙较大, 使得二者的理论密度低于四唑基配合物(MCCHF-1和MCCHF-4).
表1 MCCHFs 1~4的晶体学参数

Table 1 Crystallographic parameters of MCCHFs 1~4

Item No. MCCHF-1 MCCHF-2 MCCHF-3 MCCHF-4
compounds Co(1-MTZ)4(CBH)2 Co(MIM)4(CBH)2 Ni(MIM)4(CBH)2 Ni(1-MTZ)4(CBH)2
formula C10H22B2N18Co C18H30B2N10Co C18H30B2N10Ni C10H22B2N18Ni
form. mass 475.01 467.07 466.85 474.79
T/K 296.15 293(2) 293(2) 296(2)
crystal system Monoclinic Monoclinic Monoclinic Monoclinic
space group P21/c P21/n P21/c P21/c
a/nm 0.74388(4) 0.78597(7) 0.78521(7) 0.7377
b/nm 1.69365(10) 1.10832(11) 1.10513(11) 1.6947
c/nm 0.94913(5) 1.41131(13) 1.56381(14) 0.9412
α/(°) 90.00 90 90 90.00
β/(°) 108.7460(10) 94.484(2) 115.738(5) 108.58
γ/(°) 90.00 90 90 90.00
V/nm3 1.13235(11) 1.2256(2) 1.2224(2) 1.1154
Z 2 2 2 2
ρcalcd/(g•cm−3) 1.393 1.266 1.268 1.414
μ/mm−1 0.796 0.725 0.819 0.908
F(000) 490 490 492 492
Goodness-of-fit on F2 1.050 1.034 1.042 1.165
Final R indexes [I≥2σ(I)] R1=0.0413, wR2=0.0842 R1=0.0954, wR2=0.1554 R1=0.0895, wR2=0.1861 R1=0.0732, wR2=0.1662
Final R indexes [all data] R1=0.0640, wR2=0.0952 R1=0.2156, wR2=0.1814 R1=0.1928, wR2=0.2109 R1=0.1196, wR2=0.1828
CCDC 2240151 2451525 2451527 2240152
图3所示, 4种配合物的分子结构均呈中心对称性, 由一个中心金属原子和环绕在它周围的四个唑类配体以及两个氰基硼氢根阴离子组成, 金属原子与唑环和氰基硼氢根上氰基端的N原子相连, 硼原子一端向外延伸, 形成了六配位的结构. M—N是金属原子和唑环形成的配位键, 它们的键长相比金属原子和氰基硼氢根形成的M—N键键长略有不同, 但差距不大. 在MCCHFs 1~4中, 中心金属原子与两侧对称的配体和阴离子中的氮原子形成的键角为180°, 以MCCHF-1配合物为例, 金属与连接的任意两个N4、N8或N9原子所组成的平面共面, 同时N8-Co1-N4和N9-Co1-N8的键角分别为90.44(9)°及89.32(9)°, 均接近90°, 这也表明中心金属原子与配位原子形成的八面体结构, 如图3(e)所示. 支持信息表S1~S8列出了更多分子键长键角的数据.
图3 (a) MCCHF-1, (b) MCCHF-2, (c) MCCHF-3和(d) MCCHF-4的分子结构图; (e)中心金属与配位原子形成的八面体结构

Figure 3 Molecular structures of (a) MCCHF-1, (b) MCCHF-2, (c) MCCHF-3 and (d) MCCHF-4; (e) Octahedron formed by center metal atoms and the coordinating atoms

尽管MCCHFs 1~4晶胞中的最小不对称单元数均为2, 但它们在晶胞中的排列方式不同. 图4(a)和(c)中, MCCHF-1和MCCHF-3分子分布在晶胞的四条棱和晶胞中心处, 每个晶胞中占据数为单个分子的四分之一, 加上中心处的完整分子, 共同组成晶胞体系中的两个分子. 尽管在图4(b)和(d)中, MCCHF-2和MCCHF-4配合物均在晶胞的八个顶点处各分布一个分子, 每个晶胞中占据数为八分之一, 但沿a轴观察发现, 在MCCHF-2的晶胞内部中包含一个完整的分子, 而MCCHF-4内的分子分布在晶胞的前后平面处, 每个晶胞中各占据二分之一, 所以二者的晶胞中所包含的分子数也为2. 基于上述4种配合物的晶胞图, 氰基硼氢根阴离子向外伸展一端上的B原子没有与相邻分子的配体或阴离子相连, 分子与分子之间相互独立存在, 没有任何化学键连接, 说明它们在空间排布中均为零维结构.
图4 (a) MCCHF-1, (b) MCCHF-2, (c) MCCHF-3和(d) MCCHF-4的晶胞堆积图

Figure 4 Packing diagram of (a) MCCHF-1, (b) MCCHF-2, (c) MCCHF-3 and (d) MCCHF-4

2.2 基础物理化学性质

采用热重分析(TGA)和微商热重法(DTG)研究了MCCHFs 1~4在升温速率为10 ℃/min时的热行为. 在室温下MCCHFs 1~4都为固体, TGA曲线和DTG曲线如支持信息图S2~S5所示. 其中, MCCHF-1和MCCHF-4都发生剧烈的放热分解过程, 伴随着极剧的质量损失, 分别为86.85%和69.35%. 相比之下两种咪唑基燃料分解相对温和, 发生两个连续的分解过程, 放热并伴随质量损失64.28%和68.25%. 结合差示扫描量热法(DSC)曲线分析, MCCHFs 1~4放热过程峰值温度分别为177.7、203.5、213.3和177.6 ℃, MCCHFs 1~4在放热过程中都发生了质量损失, 说明配合物在分解过程中释放大量的热和气体, 反应结束后物质未完全分解的现象表明MCCHFs 1~4有残渣剩余, 推测成分主要为金属氧化物和积碳.
实验中根据Parr 6200型氧弹量热仪测定4种金属配合物在充氧条件下的恒容燃烧热, 先以苯甲酸样品校正后, 室温条件下称量定量样品0.25 g左右, 将样品置于坩埚中, 安装镍铬桥丝使其与样品充分接触; 封闭弹体, 旋开氧气气瓶阀, 控制压力为3 MPa, 持续对弹体内部充气60 s, 充气完毕后将弹体放入量热仪中进行测试. 测试得到MCCHFs 1~4的燃烧热(ΔUc); 再根据燃烧反应方程, 在考虑燃烧反应中反应物和生成物气态组分数量的差异(Δn)的基础上, 根据公式ΔcHθmcUθm+[ng(产物)-ng(反应物)]RT即可计算得到MCCHFs 1~4的标准燃烧焓(ΔHc), 其中R=8.314 J•mol−1•K−1, T=298.15 K; 再根据MCCHFs 1~4的分子量和密度, 可分别计算得到其质量能量密度(Eg)与体积能量密度(Ev), 以此评估其能量性能. 各样品的完全燃烧反应方程式如下:
MCCHF-1: C10H22B2N18Co+17.67O2→10CO2+11H2O+B2O3+9N2+1/3Co3O4
MCCHF-2: C18H30B2N10Co+27.67O2→18CO2+15H2O+B2O3+5N2+1/3Co3O4
MCCHF-3: C18H30B2N10Ni+27.5O2→18CO2+15H2O+B2O3+5N2+NiO
MCCHF-4: C10H22B2N18Ni+17.5O2→10CO2+11H2O+B2O3+9N2+NiO
在含能材料研究中, 生成焓(ΔHf)是表征其能量性质的重要参数, 因此获取含能材料的生成焓数值至关重要. 根据前面计算得到MCCHFs 1~4的标准燃烧焓后, 再根据盖斯定律, 可计算得到各样品的生成焓, 以此进一步评估其能量性能. 计算所依据的盖斯公式为ΔfHθm=ΣΔfHθm (product)-ΔcHθm, 从标准摩尔生成焓表查到各燃烧产物标准摩尔生成焓为ΔfHθm(Co3O4)=-918.24 kJ•mol−1, ΔfHθm(NiO)=-240.7 kJ•mol−1, ΔfHθm(B2O3)=-1271.94 kJ•mol−1, ΔfHθm(CO2)=-393.51 kJ•mol−1, ΔfHθm(H2O)=-285.83 kJ•mol−1, 具体的测试数据列于表2中.
表2 MCCHFs 1~4的物理化学性质

Table 2 Physicochemical properties of MCCHFs 1~4

MCCHF-1 MCCHF-2 MCCHF-3 MCCHF-4
Ma/(g•mol−1) 475.01 467.07 466.85 474.79
ρb/(g•cm−3) 1.393 1.266 1.268 1.414
tidc/ms 2 20 57 37
Tp d/℃ 152.4 176.3 171.8 168.8
Eg e/(kJ•g−1) 20.44 25.41 23.77 18.36
Ev f/(kJ•cm−3) 28.47 32.17 30.14 25.97
ISg/J 8 >40 >40 17
FSh/N 288 >360 >360 216
ΔUc i/(J•g−1) -20433.05 -25434.78 -23746.10 -18367.83
ΔHc j/(kJ•mol−1) -9709.2 -11868.24 -11097.02 -8717.14
ΔHf k/(kJ•mol−1) 1051.95 -1080.41 -1786.25 125.27

a Molar mass; b Density; c Ignition delay time; d Peak decomposition temperature; e Mass energy density; f Volumetric energy density; g Impact sensitivity; h Friction sensitivity; i Heat of combustion; j Standard enthalpy of combustion; k Enthalpy of formation.

表2的物化性能参数可知, 4种物质的燃烧热和标准燃烧焓较大, 有较好的能量性能, 说明在反应中内部能量变化显著, 作为燃料能够提供良好的能量储存与释放潜力. 四唑类配合物的生成焓均为正值, 咪唑类配合物的生成焓均为负值, 在-1786.25~1051.95 kJ•mol−1之间. 4种固体燃料的质量能量密度Eg为18.36~25.41 kJ•g−1, 体积能量密度Ev为25.97~32.17 kJ•cm−3, 高于三硝基甲苯(TNT, Eg=15.0 kJ•g−1, Ev=24.8 kJ•cm−3), 具有应用于高能燃料的潜力. 其中, MCCHF-1、MCCHF-4两种燃料由于结构中含有的高活性氮杂环结构使得二者感度较高, 而咪唑基物质具有较高的稳定性, 对机械刺激钝感(IS>40 J, FS>360 N), 因此在使用过程中相对安全.

2.3 非等温动力学

样品的热稳定性和动力学分析是在非等温条件下通过差示扫描量热仪进行DSC分析进行的. 动力学参数指前因子A和表观活化能Ea在微观上量化表征化合物的分解动力学特征, 基于不同加热速率(5、10、15、20 ℃•min−1)下的放热峰温, 采用Kissinger法[52]和Ozawa法[53]研究了所有样品放热分解过程的动力学参数, 计算公式见式(1)~(2).
ln(β/Tp2)=ln(AR/Ek)-Ek/(RTp)
logβ+0.4567(Eo/RTp)=C
式中Tp为最高分解放热峰温, K; R为气体常数, 8.314 J•mol−1•K−1; β为线性升温速率, K•min−1; Ea为反应活化能, kJ•mol−1; A为指前因子, s−1. 下标带“K”和“O”的值分别通过Kissinger和Ozawa方法计算.
Kissinger和Ozawa法的计算结果见表3, 两种计算结果误差均在标准误差范围之内, 得到的活化能结果一致性较好. 通过Kissinger法可以计算出表观活化能和指前因子, lnA取自Kissinger法计算出的指前因子, 分别为64.41、65.49、70.26和64.97. Ea是两种方法得出的活化能平均值, 分别为256.2、271.7、295.8和253.5 kJ•mol−1, 参照公式lnK=lnAEa/RT可以得出MCCHFs 1~4的Arrhenius方程. MCCHF-1: lnK=64.41-256.2×103/RT; MCCHF-2: lnK=70.26-295.8×103/RT; MCCHF-3: lnK=64.97-253.5×103/RT; MCCHF-4: lnK=65.49-271.7×103/RT. Arrhenius方程通常可用于估计样品热分解过程的速率常数, 一般来说, 物质的Ea值越小, 就越容易分解. 每个样品的活化能可以从表3中直观地看到, 进一步通过计算吉布斯自由能ΔG来比较物质是否容易分解. 活化焓、活化熵和吉布斯自由能可以用公式(3)~(5)计算.
表3 MCCHFs 1~4物质的热分解峰温和非等温动力学参数

Table 3 Thermal decomposition peak temperature and non-isothermal kinetic parameters of MCCHFs 1~4 substances

参数 MCCHF-1 MCCHF-2 MCCHF-3 MCCHF-4
β/(℃•min−1) 5 173.5 200.2 209.6 172.8
10 177.7 203.5 213.3 177.6
15 180.5 206.4 216.2 179.8
20 182.4 209.5 218.5 181.7
Kissinger法 EK/(kJ•mol−1) 255.3 274.7 299.3 256.3
lg AK 27.97 28.44 30.51 28.21
RK -0.9996 -0.9836 -0.9957 -0.9986
Ozawa法 EO/(kJ•mol−1) 249.9 268.8 292.3 250.8
RO -0.9997 -0.9845 -0.9959 -0.9986
Ea/(kJ•mol−1) 256.2 271.7 295.8 253.5
Tpo a/℃ 167.40 195.90 204.90 163.10
Tb b/℃ 173.91 202.75 211.42 169.45
ΔS c/(J•K−1•mol−1) 287.29 295.77 335.24 291.97
ΔHd/(kJ•mol−1) 251.64 270.80 295.33 252.67
ΔG≠ e/(kJ•mol−1) 126.07 132.07 135.06 125.30

a Peak exothermic value when the rate of warming tends to zero. b Thermal explosion critical temperature. c Entropy of activation. d Enthalpy of activation. e Gibbs free energy.

ΔH=EaRTp
ΔS=R[lnA-ln(kBTp/h)]
ΔGHTpΔS
其中h (6.626×10−34 J•s−1)和kB (1.381×10−23 J•K−1)分别为普朗克常数和玻尔兹曼常数. 表3是根据上述公式计算出的MCCHFs 1~4每个样品热力学参数的结果.
4种物质的热爆炸分解临界温度均超过169 ℃, 并且ΔH和ΔG均为正值, 说明热分解过程是非自发的吸热过程, 需要在外界热量的刺激下发生热分解反应. ΔG的排序为MCCHF-4<MCCHF-1<MCCHF-2<MCCHF-3. 众所周知, ΔG越低, 就越容易反应, 上述的结果中, MCCHF-4的Ea值也最小, 表示最容易分解, 因此MCCHF-4最先分解. 根据活化能值, 剩下的分解先后顺序对应的实验现象与计算结果一致. 所有的四唑基样品的ΔG值均低于咪唑基物质, 且值越小, 分解温度越低.

2.4 分子间作用力

为进一步了解4种氰基硼氢化物的分子间相互作用力, 采用Crystal Explore[54]软件对MCCHFs 1~4的Hirshfeld表面和2D指纹图以及原子间相互作用的比例进行了拟合, 如图5所示. 在Hirshfeld表面上, 分子中红色区域代表相互作用力较强的部分, 蓝色区域代表相互作用力较弱的部分. 由图5a~5d可知, MCCHFs 1~4的Hirshfeld表面呈现整体平整结构, 红色区域主要分布在结构的边缘, 这些红色区域主要分布在图5e~5h左下角的两个尖锐区域, 代表离子盐中氰基硼氢根和唑基阳离子之间的氢键作用(N…H), 分别占Hirshfeld表面的40.6%、7.7%、7.4%、40.2%, MCCHF-1和MCCHF-4中含量较高的氢键和N—N键, 使其具有较高的化学反应活性. Hirshfeld表面上蓝色区域代表分子间的π-π相互作用(H…H、C…H等), 分别占Hirshfeld表面积的59.4%、92.3%、92.6%和59.8%, H…H相互作用占主要弱相互作用的很大一部分, 较高的范德华力有利于降低含能物质对外界机械刺激的敏感性, 这也是四唑基配合物具有较高感度的主要原因. 在配合物MCCHFs 1~4的静电势图中, 红色和蓝色部分分别为负电荷和正电荷集中分布的区域, 颜色越深表示该位置的电荷分布越集中. 由图5可知, 负电荷主要集中在氰基硼氢根阴离子处, 最大值分布在-496.22~866.51 kJ•mol−1, 正电荷主要集中在1-甲基四唑、1-甲基咪唑配体和中心金属处, 最大值分布在280.91~616.72 kJ•mol−1. 较大的静电势(ESP)正值和较宽的电正性区域通常会导致更敏感的含能化合物, 这与实验结果一致.
图5 MCCHFs 1~4的Hirshfeld表面(a~d)、二维指纹图(e~h)、原子间相互作用的比例(i~l)和表面静电势图(m~p)

Figure 5 Hirshfeld surfaces (a~d), two-dimensional fingerprint plots (e~h), proportions of interatomic interactions (i~l), and surface electrostatic potential maps (m~p) of MCCHFs 1~4

2.5 自燃点火延迟时间

燃料与氧化剂接触发生自燃点火燃烧是自燃推进剂的重要性质, 一般通过“点火延迟时间”进行量化表征. 即: 燃料与氧化剂初始接触至首次出现火焰之间的时间间隔. 采用白烟硝酸(WFNA)作为本次实验的氧化剂.
实验前先将待测的MCCHFs 1~4粉末在60 ℃的烘箱完全烘干以待使用, 随后将粉末样品经玛瑙研钵研磨后过200目标准筛, 确保颗粒粒径分布均匀. 称量约15 mg粉末样品于离心管中, 震荡使其分布均匀. 采用“氧化剂滴入燃料”的方法时, 氧化剂WFNA在使用前通过恒温水浴预热至25 ℃, 并使用移液枪(量程0~100 μL)精确移取50 μL氧化剂, 从距离燃料样品固定2 cm高度处滴入, 确保氧化剂滴加速度和初始温度恒定. 用Sony-AX700高速摄像机以每秒1000帧的速度记录整个自燃点火过程, 找出WFNA与样品接触瞬间以及出现火花瞬间的照片, 两张之间的帧数即为点火延迟时间(ms), 获得的点火延迟时间列于表2中.
图6中记录了以氰基硼氢根为阴离子的4种配合物与氧化剂WFNA接触后的点火反应过程. 值得注意的是, 4种物质均能顺利点火并且都表现出了较短的点火延迟时间, 处于2~57 ms之间, 说明配合物具有较强的反应活性. 金属配合物自燃材料的点火延迟时间由中心金属离子、外界阴离子和配体种类共同决定, 金属元素的催化能力和富氮类配体的取代基均能影响点火延迟时间. 这种现象在两种四唑基物质中更为明显, 在图6(a)和(c)中, 两种物质有相同的中心金属和阴离子, 相较于咪唑基配体, 1-甲基四唑含氮量更高, 具有更高的能量. 特别是中心金属Co的参与, 使得MCCHF-1活性更强, 相比于MCCHF-2表现出了超快自燃点火性能, 使得时间缩短了约96.5%, 仅为2 ms, 而含Ni金属的物质活性稍弱, 表现为自燃点火时间稍长. 4种物质中, 四唑基配合物的点火延迟时间更短, 反应过程中发出较大爆鸣声, 燃烧迅猛, 火焰较大. 观察点火照片可得, 配合物得益于结构中具有高还原活性的氰基硼氢根离子, 在发生自燃点火后均可以保持稳定的自持燃烧.
图6 MCCHFs 1~4与WFNA的点火过程

Figure 6 Spontaneous ignition of MCCHFs 1~4 with WFNA

为进一步探讨影响自燃燃料点火延迟时间的因素, 密度泛函理论(DFT)是整个理论计算过程的基础. 理论计算通过Materials Studio 2020软件中的Dmol3程序进行. 此外, 几何优化和静电势(ESP)计算选择了广义梯度近似(GGA)结合Perdew-Burke-Ernzerhof (PBE)泛函. 对四种配合物的晶体结构进行几何优化, 并在此基础上进行后续的性能计算与结果分析. 计算体系总能量收敛精度设为5.0×10−6, 最大循环次数为100. 在研究的金属配合物中, 钴基和镍基表现出磁有序性质, 因此考虑自旋极化对计算而言至关重要, 从而更好地分析MCCHFs 1~4的结构与其化学反应性之间的关系. 根据分子轨道理论[55], 对于具有相似组成和结构的化合物, 最高占据分子轨道(HOMO)和最低未占据分子轨道(LUMO)之间的能隙(ΔEL-H)表示动力学稳定性. 一般认为, 间隙越大, 动力学稳定性越高, 化学反应性越 低[56-57], ΔEL-H用于表示自燃能力的标准, 在自燃反应中, 燃料分子与氧化剂WFNA的反应启动依赖于电子从燃料分子的HOMO向氧化剂的LUMO的转移能力. 具体的计算结果列于图7中, 带隙ΔEL-H按以下顺序增加: MCCHF-1<MCCHF-2<MCCHF-4<MCCHF-3.
图7 MCCHFs 1~4的分子轨道能级图

Figure 7 Molecular orbital energy level diagrams for MCCHFs 1~4

在本研究中的MCCHFs 1~4系列配合物中: 当带隙ΔEL-H较小时, 对于MCCHF-1分子, 外层电子更容易吸收环境能量发生跃迁, 与氧化剂发生电子转移, 启动化学反应的活化能更低, 表现为点火延迟时间更短. 实验测得MCCHF-1的点火延迟时间最短, 与这一机制完全吻合. 随着带隙ΔEL-H增大, 电子跃迁所需能量升高, 反应启动难度增加, 理论上点火延迟时间应逐渐延长. 实验结果中 MCCHF-4与MCCHF-3的点火延迟时间顺序与计算结果一致, 验证了这一规律. 对于MCCHF-2的偏差现象, 计算结果与实验值测得的点火延迟时间有较大差异, 除前述配位作用因素外, 进一步分析表明: 其ΔEL-H计算值虽大于MCCHF-1, 但由于1-甲基咪唑配体的给电子能力较弱, 导致分子实际电子云密度分布与理论模型存在差异, 配体环上的π电子密度偏低, 无法有效填充Co2+的空轨道, 导致Co2+的催化活性被抑制, 使得与WFNA的质子转移反应的速率降低, 最终表现为实测点火延迟时间反而长于理论预测值. 因此, 实验和理论都证明不同的中心金属和配体, 尤其是Co2+和四唑配体, 具有较高的化学反应性. 这也证实具有不同官能团的配体可以调节自燃燃料的性质, 为高能燃料的设计和合成提供了线索.

2.6 理论比冲

为了提升系统性能, 人们进行了大量的研究, 通过提高燃烧室压力和温度来增加比冲, 但这种方法在成本、时间和风险等方面与现代火箭技术的要求不符. 自21世纪以来, 从推进剂供应系统的角度来看, 调整燃料与氧化剂之间恰当的氧燃比是一种较优的解决方法, 可以确定最佳的推进剂配方组成. 考虑到合成的金属配合物为固体, 难以直接用于液体推进剂, 并且由于离子液体的阴离子缺少氧化性物质容易导致燃烧不充分, 因此将配合物燃料添加到自燃离子液体中形成共混物是一种有效的措施. 这样的含能离子液体配方中含氮量较高, 以便能够释放出较高的能量, 且分解产物主要是氮气, 这消除了不完全燃烧时产生的碳积尘问题, 提升了推进剂分解的整体性能.
比冲(Isp)指的是每消耗单位推进剂所产生的总冲量, 它是衡量火箭发动机效率的重要参数, 反映了燃料用于推进的有效性. 此外, 在NASA-CEA (Chemical Equilibrium with Applications)中我们还考虑了以下参数: 生成焓(ΔHf)和密度(ρ), 燃料和氧化剂的元素组成, 环境温度(298.15 K), 氧燃比O/F(1.0~10.0), 燃烧室压力Pc (2.533 MPa), 出口喷管压力Pe (0.1013 MPa). Isp计算过程中都考虑了喷管出口面积与喉部面积之比Ae/At=4, 基于化学反应平衡假设, 燃气组分在喷管喉部冻结, 燃烧室的计算参数参考Bhosale等[51]的工作, 推力室内可视为达到化学反应平衡; 喷管外由于流速过高, 忽略其化学反应, 具体的输入参数如表4所示. 理论计算得到了在相同燃烧室条件下不同燃料体系的真空比冲Ivac、比冲Isp、特征速度C*和燃烧室温度等性能参数, 如表5所示, 依据真空比冲Ivac峰值确定固液混合推进剂的最佳氧燃比, 以确定最佳性能的推进剂配方, 从而更好地对推进剂体系的性能进行评估.
表4 NASA-CEA输入参数表

Table 4 NASA-CEA Input Parameter Table

输入参数 来源
燃料 MCCHF-1 (C10H22B2N18Co)
MCCHF-4 (C10H22B2N18Ni)
实验室自制
氧化剂 HNO3/H2O2/N2O4 NASA-CEA默认数据库
氧燃比 1.0~10.0 参数化研究
生成焓(ΔHf) MCCHF-1: 1051.95 kJ•mol−1
MCCHF-4: 125.27 kJ•mol−1
氧弹量热仪实测
燃烧室压力(Pc) 2.533 MPa 文献[51]
喷管出口压力(Pe) 0.1013 MPa
喷管面积比(Ae/At) 4
流动模型 IAC模型
表5 自燃燃料在最佳氧燃比下的性能参数

Table 5 Performance parameters of pyrophoric fuel at the optimal oxygen-fuel ratio

Hypergolic-fuels MCCHF-1 MCCHF-4 MMH[2] UDMH[2]
HNO3 N2O4 H2O2 HNO3 N2O4 H2O2
O/F 1.5 1.3 2.1 1.7 1.4 2.3 2.5 3
Ivac/s 255.92 264.43 268.57 244.65 252.77 260.05 260 258
Isp/s 225.76 237.73 236.07 215.44 222.48 229.11 — —
燃烧室温度/K 3079.93 3338.88 2963.39 2933.77 3162.48 2842.46
特征速度/(m•s−1) 1544.4 1595.4 1619.2 1474.3 1522.5 1567.8
燃烧产物的摩尔质量/(kg•kmol−1) 26.60 26.86 23.38 27.89 27.96 23.92
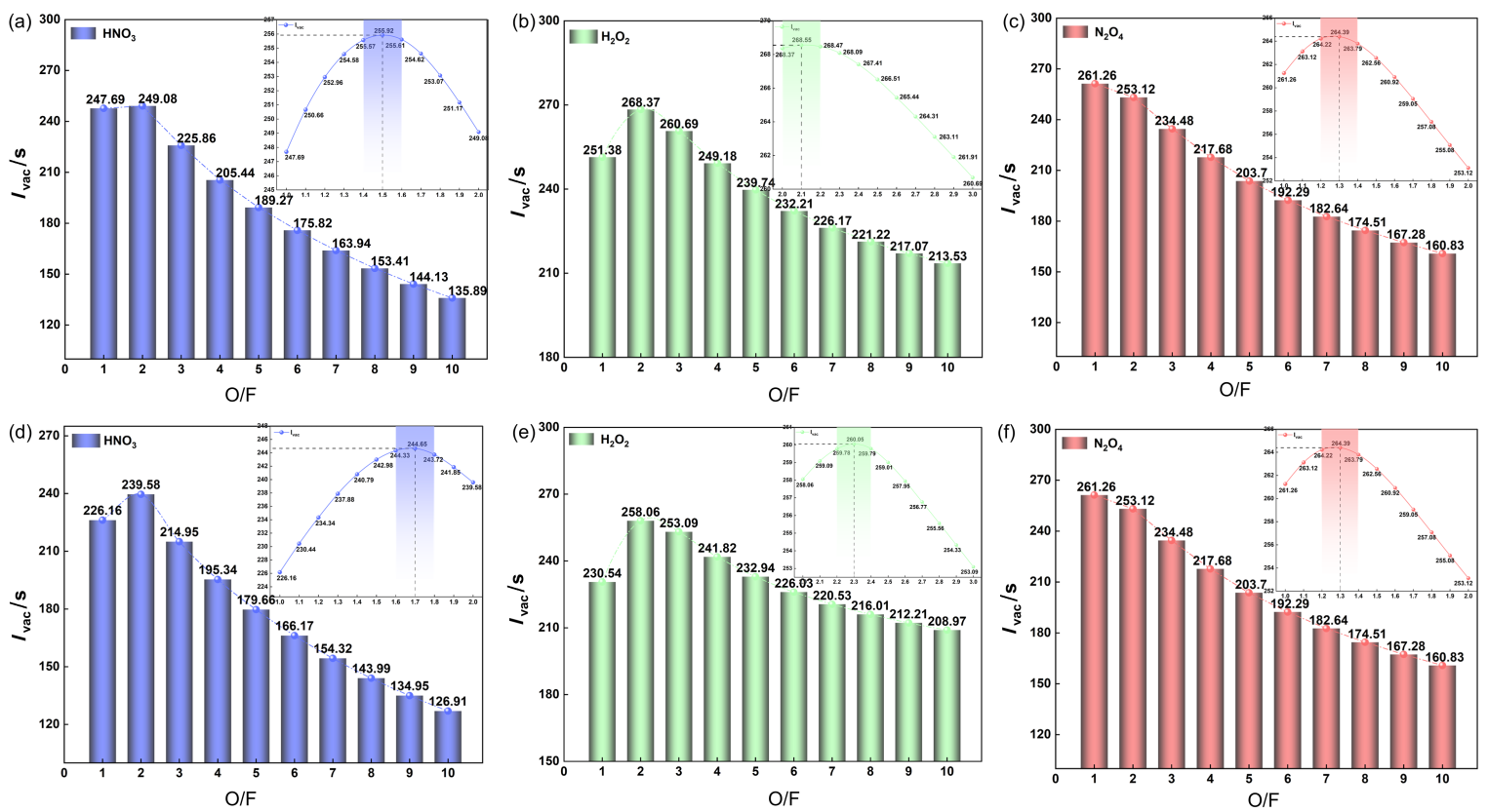
实验条件下, 四唑基配合物的反应活性优于咪唑基物质, 为进一步探究不同液体氧化剂: HNO3、火箭级H2O2(浓度>90%)、N2O4对推进剂整体性能的影响, 我们选取了性能较优的MCCHF-1和MCCHF-4作为研究对象. 如图8所示, 两种物质作燃料时, 体系的真空比冲值都在氧燃比为1~3的范围内达到最大值, 进一步缩小范围可以得出MCCHF-1与3种液体氧化剂的最佳氧燃比为1.5、1.3和2.1, 真空比冲值分别为255.92 s、264.39 s和268.55 s, 比冲值也依次升高, 这有助于航天器获得更大的速度增量, 意味着可以携带更少的推进剂达到同样的任务目标, 节省燃料和发射成本. 三者中, 燃烧室的温度最高达3300 K, 混合H2O2时的燃温相对较低, 较低的燃温对发动机材料的要求相对较低, 可降低发动机材料选择和设计的难度, 减少高温对发动机部件的损害, 延长使用寿命, 并且特征速度达到1619.1 m/s, 高于HNO3 (1544.4 m/s)和N2O4 (1595.2 m/s). 同样的, 选用MCCHF-4作燃料时最佳氧燃比下对应的真空比冲值为244.65 s、252.77 s和260.05 s. 混合H2O2的特征速度达到1567.9 m/s, 高于HNO3 (1474.3 m/s)和N2O4 (1522.6 m/s). 有趣的是, 在最佳氧燃比条件下, MCCHF-1和MCCHF-4的比冲均高于传统自燃燃料甲基肼(MMH, 260 s)和偏二甲肼(UDMH, 258 s)[2]. 向液体氧化剂中添加固体燃料, 能提升体系的比冲性能, 而比冲与温度直接相关, 这表明MCCHF-1和MCCHF-4两种配合物燃料适用于含能应用领域. 尽管在理论计算中, MCCHF-1和MCCHF-4选用H2O2作氧化剂时, 较低的燃烧产物摩尔质量虽然在一定程度上有助于提高排气速度, 但可能也会影响燃烧产物的热力学性质, 在某些情况下对发动机性能产生一定的负面影响. 整体而言, 这一组固液混合推进剂的真空比冲、比冲、特征速度等参数均优于另外两组液体氧化剂, 可能是H2O2单位质量的氧含量(约94.1%)高于HNO3 (76.2%)和N2O4 (69.6%), 并且金属催化H2O2分解后释放的O2活性更高, 更能促进燃料的完全燃烧, 根据比冲公式: Isp ∝(Tc/M)1/2, 生成的低分子量气体产物提高了体系的比冲性能. 另一方面, H2O2作为推进剂时已具备自放热分解的特性, 与燃料结合后进一步释放能量, 可以形成更高的总焓变, 在分解时会释放出大量热量, 显著提升了燃烧温度. 高温使气体膨胀速度更快, 而HNO3、N2O4的分解或燃烧反应放热较少, 燃温相对较低, 限制了比冲的提升, 这一差异在与含能配合物的共混后尤为明显, 使得H2O2成为三者中性能最优的选择.
图8 MCCHF-1 (a~c)和MCCHF-4 (d~f)与HNO3、H2O2、N2O4不同氧燃比的真空比冲值

Figure 8 Vacuum specific impulse values of MCCHF-1 (a~c) and MCCHF-4 (d~f) with different oxygen-fuel ratios of HNO3, H2O2, and N2O4

3 结论与展望

基于氰基硼氢根阴离子、1-甲基咪唑、1-甲基四唑与过渡金属离子Co/Ni制备了4种金属配合物燃料MCCHFs 1~4, 并获得了它们的单晶结构. 对4种高活性配合物的基础性质进行了表征, MCCHFs 1~4具有较高的能量密度, 其中MCCHF-2的质量能量密度最高为25.41 kJ•g−1, 与镁金属粉(24.7 kJ•g−1)相当, 四种物质的燃烧热和标准燃烧焓较大, 有较好的能量性能, 作为燃料能够提供良好的能量储存与释放潜力. 高活性的富氮杂环结构使得MCCHF-1和MCCHF-4感度较高, 而MCCHF-2和MCCHF-3具有较高的稳定性, 对机械刺激钝感(IS>40 J, FS>360 N), 是一种安全的高活性燃料. 4种燃料与白烟硝酸均能自燃点火, 点火延迟时间在2~57 ms范围之间, MCCHF-1表现出了超快的自燃点火性能, 点火延迟时间为2 ms. 相较于1-甲基咪唑, 1-甲基四唑含氮量更高, 具有更高的能量. MCCHF-1和MCCHF-4与HNO3、N2O4和H2O2组成推进剂的比冲参数中, 以H2O2为氧化剂组成的推进剂表现最佳, 真空比冲值分别为268.55 s和260.05 s, 高于传统自燃燃料甲基肼(260 s)和偏二甲肼(258 s), 成为替代传统有毒推进系统的一种绿色自燃燃料的选择.
在含能材料的其他应用领域中, MCCHF-1、MCCHF-4也可应用于短程导弹推进剂和小型火箭发动机中, 它们点火性能好、比冲参数高, 能够在短时间内迅速产生推力, 满足短程导弹快速发射和快速达到所需速度的要求. 而MCCHF-2和MCCHF-3虽然性能等不如前两者, 但安全钝感, 可能具有相对稳定的能量释放特性, 在大口径火炮发射药的应用中, 能够通过合理的配方设计和装药结构优化, 实现稳定的燃烧和能量输出, 为炮弹提供稳定的推力. 然而, 在实际的应用中, 如何在保证高能量输出的同时, 降低材料对外界刺激的敏感性, 一直是含能材料领域研究的重点与难点. 鉴于此, 考虑采用双金属节点(Co-Ni双金属)替代单一的金属中心, 借助金属-金属协同作用和化学结构增强配位键强度, 以此降低对外界刺激的敏感性, 同时维持高氮含量带来的能量输出, 这对于提升含能材料在更多复杂场景下的应用性能具有潜在的应用前景.

4 实验部分

4.1 试剂和仪器

六水合硝酸钴(Co(NO3)2•6H2O)、氰基硼氢化钠(NaBH3CN), 分析纯, 阿拉丁试剂有限公司. 六水合硝酸镍(Ni(NO3)2•6H2O), 分析纯, 北京市通广精细化工公司. 1-甲基咪唑(C4H6N2, 简记为MIM), 分析纯, 百灵威化学技术有限公司. 1-甲基四唑(C2H4N4, 简记为1-MTZ)分析纯, 上海迈瑞尔化学技术有限公司.
单晶结构数据采用配备MoKα辐射(λ=0.071073 nm)的Rigaku AFC-10/Saturn 724+CCD型衍射仪收集. 采用Olex 2软件采集数据和提取初始的晶胞, 用SHELXL-97程序解析得到金属配合物结构, 并进行各向异性精修. 粉末X射线衍射数据(PXRD)采用Rigaku D/Max-2500 PC X射线衍射仪收集. 样品的燃烧热值使用PARR 6200氧弹量热仪测定. 热分析测试在N2环境下, 采用上海精科天美科学仪器有限公司的CRY-1P型差示扫描量热仪进行DSC分析, 升温速率:10 ℃•min⁻¹, 温度范围为50~450 ℃. 采用梅特勒METTLER TOLEDO TGA仪器对配合物进行热重分析(TGA), 样品置于坩埚内, 升温速率为10 ℃•min⁻¹, 数据由计算机自动采集. 配合物的撞击感度(IS)和摩擦感度(FS)分别使用标准BAM落锤仪(BFH-12)和摩擦测试仪(BAM摩擦装置FSA-12)进行测试.

4.2 金属配合物自燃燃料的合成

氰基硼氢系列配合物的合成过程如图9所示, 按照Co、Ni两种金属硝酸盐、氰基硼氢化钠、1-甲基咪唑/1-甲基四唑的物质的量比为1∶2∶4进行原料配比. 4种物质的合成过程类似, 以Co(1-MTZ)4(CBH)2为例: 称取0.29 g (1 mmol)的Co(NO3)2•6H2O置于100 mL三颈烧瓶中, 加入约10 mL去离子水作为反应溶剂, 在60 ℃水浴条件下持续搅拌直到其完全溶解, 金属盐溶液呈深粉色. 称取0.34 g (4 mmol)的1-甲基四唑置于烧杯中, 用去离子水溶解并用滴管匀速滴加至上述溶液中, 在水浴加热条件下搅拌使配体溶液与金属盐溶液均匀反应约10 min, 随后称量0.13 g (2 mmol)的氰基硼氢化钠, 用10 mL去离子水溶解并匀速滴加至混合的反应溶液中. 所有反应物添加完毕后体系在60 ℃水浴条件下保持反应30 min. 反应结束后, 过滤, 将过滤产物用去离子水或乙醇洗涤2~3次, 并在60 ℃条件下干燥24 h以获得粉末产品. 过滤所得的滤液在室温条件下缓慢蒸发约7 d, 获得单晶. 按照这种投料步骤, 获得的4种金属配合物分别为: Co(1-MTZ)4(CBH)2 (MCCHF-1)、Co(MIM)4(CBH)2 (MCCHF-2)、Ni(MIM)4(CBH)2 (MCCHF-3)和Ni(1-MTZ)4(CBH)2 (MCCHF-4).
图9 MCCHFs 1~4的合成

Figure 9 Syntheses of MCCHFs 1~4

(Cheng, B.)
[1]
Hongjae K.; Jonghan W.; Wook B. S.; Sejin K. Combust. Flame 2017, 181, 149.

DOI

[2]
Bhosale V. K.; Jeong. J.; Kwon S. Fuel 2019, 255, 16.

[3]
Cui Y. K.; Cheng S. F.; Ling L.; Li Y. X.; Lu L. Acta Chim. Sinica 2024, 82, 377 (in Chinese).

DOI

(崔勇康, 成守飞, 凌琳, 李玉学, 吕龙, 化学学报, 2024, 82, 377.)

DOI

[4]
Bablee A.; Amarasekara A.; Gabitto J.; Bhuiyan A.; Shamim N. Energies 2025, 18, 267.

DOI

[5]
Yu Y.; Jiang J.; Zeng X.-L.; Ju X.-H. Int. J. Hydrogen Energy 2025, 105, 959.

DOI

[6]
Bao L. R.; Zhang W.; Zhang X. J.; Chen Y. Y.; Chen S. H.; Wu L. Z.; Shen R. Q.; Ye Y. H. Combust. Flame 2020, 218, 10.

[7]
Bao L. R.; Wang H.; Zheng T. T.; Chen S. H.; Zhang W.; Zhang X. J.; Huang Y. Y.; Shen R. Q.; Ye Y. H. Propell. Explos. Pyrot. 2020, 45, 1790.

DOI

[8]
Lim D. H.; Gnanaprakash K.; Rajak R.; Yoh J. J. Thermochim. Acta 2023, 727, 179562.

DOI

[9]
Cai G. B. J. Propuls. Technol. 2012, 6, 831 (in Chinese).

(蔡国飙, 推进技术, 2012, 6, 831.)

[10]
Davydenko N. A.; Gollender R. G.; Gubertov A. M.; Mironov V. V.; Volkov N. N. Aerosp. Sci. Technol. 2007, 11, 55.

DOI

[11]
Wei T. F.; Cai G. B.; Tian H.; Zhu H.; Zhang Y. J.; Li X. T. FirePhysChem 2021, 1, 212.

DOI

[12]
Chen Q. H.; Fu X. L.; Yu H. J.; Meng S. Q. J. Ordn. Equip. Eng. 2025, 46, 279 (in Chinese).

(陈启航, 付小龙, 蔚红建, 孟赛钦, 兵器装备工程学报, 2025, 46, 279.)

[13]
Bhosale V. K.; Jeong J.; Kwon S. Fuel 2019, 255, 115729.

DOI

[14]
John J.; Nandagopalan P.; Baek S. W.; June C. S. Combust. Flame 2020, 212, 205.

DOI

[15]
Wang Y.; Hu S. Q.; Liu L. L.; Liu L. L.; Li L. Q. J. Propuls. Technol. 2020, 48, 1807 (in Chinese).

(王印, 胡松启, 刘林林, 李连强, 推进技术, 2020, 48, 1807.)

[16]
Zhang Z. L.; Lin X.; Wang R. Y.; Luo J. X.; Wang Z. Z.; Zhang C. Y.; Li F.; Yu X. L. J. Propuls. Technol. 2023, 44, 2211059 (in Chinese).

(张泽林, 林鑫, 王若岩, 罗家枭, 王泽众, 张春元, 李飞, 余西龙, 推进技术, 2023, 44, 2211059.)

[17]
Yang Y. X.; Hu C. B.; He G. Q.; Cai T. M. J. Astronaut. 2008, 5, 1616 (in Chinese).

(杨玉新, 胡春波, 何国强, 蔡体敏, 宇航学报, 2008, 5, 1616.)

[18]
Ju Y. J.; Song C. J.; Lee B. J. J. Propul. Power 2024, 4, 42.

[19]
Radhika K. S.; Saraswathi R.; Thomas D.; Periya K. V.; Kuttan P. ChemistrySelect 2025, 10, e202405705.

[20]
Zheng D.; Xiong P. F.; Zhong B. J. Acta Phys. Chim. Sin. 2019, 35, 1241 (in Chinese).

DOI

(郑东, 熊鹏飞, 钟北京, 物理化学学报, 2019, 35, 1241.)

[21]
He W.; Ao W.; Yang G. C.; Yang Z. J.; Guo Z. Q.; Liu P. J.; Yan Q. L. Chem. Eng. J. 2020, 381, 122623.

DOI

[22]
Lin C. X.; Guo L.; Li Q. S.; Zhang Z. Z.; Yuan Y. F.; Xu F. B. Chin. J. Org. Chem. 2014, 34, 239 (in Chinese).

(林彩霞, 郭琳, 李庆山, 张正之, 袁耀锋, 徐凤波, 有机化学, 2014, 34, 239.)

DOI

[23]
Wang Q. Y.; Feng X.; Wang S.; Song N. M.; Chen Y. F.; Tong W. C.; Han Y. Z.; Yang L.; Wang B. Adv. Mater. 2016, 28, 5837.

DOI

[24]
Yang J.; Ling L.; Li Y. X.; Lu L. Acta Chim. Sinica 2023, 81, 328 (in Chinese).

DOI

(杨洁, 凌琳, 李玉学, 吕龙, 化学学报, 2023, 81, 328.)

DOI

[25]
Wu Y.; Pang A. M.; Hu L.; He G. S.; Zhang Y. Y.; Zhang L. X.; Li M. H.; Ma Z. Y. Acta Chim. Sinica 2020, 78, 337 (in Chinese).

DOI

(武艳, 庞爱民, 胡磊, 何根升, 张莹莹, 张利雄, 李明海, 马振叶, 化学学报, 2020, 78, 337.)

DOI

[26]
Yu Y.; Li X. Q.; Liu J. X.; Gu J.; Tu T.; Yang J. Acta Chim. Sinica 2025, 83, 1018 (in Chinese).

DOI

(喻尧, 李晓强, 刘佳鑫, 顾军, 涂涛, 杨军, 化学学报, 2025, 83, 1018.)

DOI

[27]
Ma X. L.; Li M.; Lei M. Acta Chim. Sinica 2023, 81, 84 (in Chinese).

DOI

(马雪璐, 李蒙, 雷鸣, 化学学报, 2023, 81, 84.)

DOI

[28]
Mikula A.; Kusior A. Materials 2022, 16, 67.

DOI

[29]
Yang L.; Zhang G. Y.; Liu Y.; Zhang T. L. Acta Phys. Chim. Sin. 2017, 33, 2463 (in Chinese).

(杨利, 张国英, 刘影, 张同来, 物理化学学报, 2017, 33, 2463.)

[30]
Zhao K.; Li H. T.; Tian S. Q.; Yang W. J.; Wang X. X.; Pang A. M.; Xie C. S.; Zeng D. W. Inorg. Chem. Front. 2019, 6, 715.

DOI

[31]
Wang J. F.; Li Y.; Qiao Y. D.; Yu G. Z.; Wu J. Z.; Wu X. H.; Qin W.; Xu L. New J. Chem. 2018, 42, 18001.

DOI

[32]
Chen B. Q.; Zhang C. L.; Pang Z. G.; Rong X. G.; Guo Y. L.; He W. Chem. Eng. J. 2024, 501, 157616.

DOI

[33]
Chang J. Y.; Ding N.; Sun Q.; Wei Z. H.; Zhan Z. H.; Ren X. T.; He J. X.; Li S. H.; Pang S. P. ACS Mater. Lett. 2025, 7, 1112.

[34]
Shi Y. H.; Cao X. F.; Ren Q. N.; Song T. Y.; Wu Y. H.; Wei Z. X.; Cao X. Fuel 2024, 375, 132615.

DOI

[35]
Wu C. Y.; Chen Y. C.; Wang T. H.; Lin C. I.; Huang C. W.; Zhou S. R. Combust. Flame 2021, 232, 111556.

DOI

[36]
Liu Y. F.; Jin S. H.; Yang H. T.; Li S. H.; Xie W. X.; Zhao Y.; Zhang W.; Chen Y.; Fan X. D. Combust. Flame 2021, 225, 57.

DOI

[37]
Liang L. N.; Zhong Y.; Chen J. M.; Zhang J. G.; Zhang T. L.; Li Z. M. Inorg. Chem. 2022, 61, 14864.

DOI

[38]
Ge M. C.; Xu X.; Su Z.; Zhong Y.; Yuan B. F.; Huang H. S.; Zhang J. G.; Li Z. M. Def. Technol. 2025, 50, 203.

[39]
Chen C.; Li H. J.; Yi J. H.; Zhang Y.; Sun Z. H.; Xu Y.; Wang Y.; Chen X. L.; Xu S. Y.; Zhao F. Q. Fuel 2025, 390, 134683.

DOI

[40]
Zhou P.; Zhang S. W.; Ren Z. Q.; Wang Y. Z.; Zhang Y. F.; Huang C. Inorg. Chem. Front. 2022, 9, 5195.

DOI

[41]
Zhang W. Q.; Qi X. J.; Huang S.; Li J. L.; Tang C. L.; Li J. S.; Zhang Q. H. J. Mater. Chem. A 2016, 4, 8978.

DOI

[42]
Zhong Y.; Li Z. M.; Xu Y. Q.; Lei G. R.; Zhang J. G.; Zhang T. L. J. Energetic Mater. 2021, 39, 215.

DOI

[43]
Titli H. M.; Marrett J. M.; Dayaker G.; Arhangelskis M.; Mottillo A.; Morris A. J.; Rachiero G. P.; Friščić T.; Rogers R. D. Sci. Adv. 2019, 5, eaav9044.

[44]
Xu Y. Q.; Wang Y. N.; Zhong Y.; Lei G. R.; Li Z. M.; Zhang J. G.; Zhang T. L. Inorg. Chem. 2021, 60, 5100.

DOI

[45]
Weng J. L.; Li L. C.; Wang J. X.; Yang Y.; Jiang P. H.; Zhang N. N.; Cui M.; Xu J. G.; Guo G. C. Cryst. Growth Des. 2025, 25, 1247.

DOI

[46]
Fei T.; Xu R.; Zhao P. Y.; Xu T.; Du Z. G. J. Rocket Propulsion. 2024, 50, 33 (in Chinese).

(费腾, 徐冉, 赵鹏宇, 徐涛, 杜宗罡, 火箭推进, 2024, 50, 33.)

[47]
Wu Y. T.; Fei L. H.; Kong X. D.; Wang Z.; Tang C. L.; Huang Z. H. CIESC J. 2024, 75, 2017 (in Chinese).

(武颖韬, 费立涵, 孔祥东, 王帜, 汤成龙, 黄佐华, 化工学报, 2024, 75, 2017.)

DOI

[48]
Liang L. N.; Zhong Y.; Xu Y. Q. Chem. Eng. J. 2021, 426, 131866.

DOI

[49]
Biswas S.; McAnally M.; Chambreau S. D.; Schneider S.; Sun R.; Kaiser R. I. Chem.-Eur. J. 2025, 31, e202500593.

[50]
El Seoud O. A.; Pires P. A. R.; Abdel-Moghny T.; Bastos E. L. J. Colloid Interface Sci. 2007, 313, 296.

DOI

[51]
Bhosale V. K.; Jeong J. Y.; Choi J. H.; Churchill D. G.; Lee Y. H.; Kwon S. J. Combust. Flame 2020, 214, 426.

DOI

[52]
Kissinger H. E. Anal. Chem. 1957, 29, 1702.

DOI

[53]
Ozawa T. Bull. Chem. Soc. Jpn. 1965, 38, 1881.

DOI

[54]
Spackman P. R.; Turner M. J.; McKinnon J. J.; Wolff S. K.; Grimwood D. J.; Jayatilaka D.; Spackman M. A. J. Appl. Crystallogr. 2021, 54, 1006.

DOI

[55]
Sengupta D.; Vaghjiani G. L. Propell. Explos. Pyrot. 2015, 40, 144.

DOI

[56]
Li S. Q.; Gao H. X.; Shreeve J. M. Angew. Chem. Int. Ed. 2014, 53, 2969.

DOI

[57]
Yuan W. L.; Zhang L.; Tao G. H.; Wang S. L.; Wang Y.; Zhu Q. H.; Zhang G. H.; Zhang Z.; Xue Y.; Qin S.; He L.; Shreeve J. M. Sci. Adv. 2020, 6, eabb1899.

Outlines

/