Chinese Journal of Organic Chemistry ›› 2026, Vol. 46 ›› Issue (1): 279-288.DOI: 10.6023/cjoc202505033 Previous Articles Next Articles
ARTICLES
徐程*(
), 彭涛, 周梦圆, 刘明琳, 黄晓庆, 王永凤, 刘郑*(
), 殷国栋
收稿日期:2025-05-29
修回日期:2025-07-29
发布日期:2025-08-26
基金资助:
Cheng Xu*(
), Tao Peng, Mengyuan Zhou, Minglin Liu, Xiaoqing Huang, Yongfeng Wang, Zheng Liu*(
), Guodong Yin
Received:2025-05-29
Revised:2025-07-29
Published:2025-08-26
Contact:
* E-mail: chemxucheng@hbnu.edu.cn;
zhengliu0827@hbnu.edu.cn
Supported by:Share
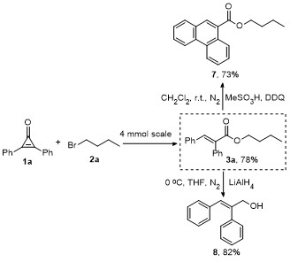
Cheng Xu, Tao Peng, Mengyuan Zhou, Minglin Liu, Xiaoqing Huang, Yongfeng Wang, Zheng Liu, Guodong Yin. Synthesis of α,β-Disubstituted Acrylates via PPh3-Catalyzed Ring-Opening Addition Reaction of Cyclopropenones with Alkyl Bromides at Room Temperature[J]. Chinese Journal of Organic Chemistry, 2026, 46(1): 279-288.
| Entry | Base | Solvent | Temp./℃ | Yieldb/% |
|---|---|---|---|---|
| 1 | K2CO3 | CH3CN | 100 | 76 |
| 2 | Cs2CO3 | CH3CN | 100 | 72 |
| 3 | CsOAc | CH3CN | 100 | 64 |
| 4 | NaOH | CH3CN | 100 | 42 |
| 5 | tBuOK | CH3CN | 100 | 12 |
| 6 | Et3N | CH3CN | 100 | 11 |
| 7 | Pyridine | CH3CN | 100 | Trace |
| 8 | DBU | CH3CN | 100 | 10 |
| 9 | K2CO3 | DMSO | 100 | 82 |
| 10 | K2CO3 | DMF | 100 | 73 |
| 11 | K2CO3 | Toluene | 100 | Trace |
| 12 | K2CO3 | Dioxane | 100 | 25 |
| 13 | K2CO3 | THF | 100 | 31 |
| 14 | K2CO3 | DCM | 100 | Trace |
| 15 | K2CO3 | Acetone | 100 | 37 |
| 16 | K2CO3 | DMSO | 60 | 88 |
| 17 | K2CO3 | DMSO | 25 | 91 |
| 18c | K2CO3 | DMSO | 25 | Trace |
| 19d | K2CO3 | DMSO | 25 | 88 |
| 20e | K2CO3 | DMSO | 25 | 93 |
| Entry | Base | Solvent | Temp./℃ | Yieldb/% |
|---|---|---|---|---|
| 1 | K2CO3 | CH3CN | 100 | 76 |
| 2 | Cs2CO3 | CH3CN | 100 | 72 |
| 3 | CsOAc | CH3CN | 100 | 64 |
| 4 | NaOH | CH3CN | 100 | 42 |
| 5 | tBuOK | CH3CN | 100 | 12 |
| 6 | Et3N | CH3CN | 100 | 11 |
| 7 | Pyridine | CH3CN | 100 | Trace |
| 8 | DBU | CH3CN | 100 | 10 |
| 9 | K2CO3 | DMSO | 100 | 82 |
| 10 | K2CO3 | DMF | 100 | 73 |
| 11 | K2CO3 | Toluene | 100 | Trace |
| 12 | K2CO3 | Dioxane | 100 | 25 |
| 13 | K2CO3 | THF | 100 | 31 |
| 14 | K2CO3 | DCM | 100 | Trace |
| 15 | K2CO3 | Acetone | 100 | 37 |
| 16 | K2CO3 | DMSO | 60 | 88 |
| 17 | K2CO3 | DMSO | 25 | 91 |
| 18c | K2CO3 | DMSO | 25 | Trace |
| 19d | K2CO3 | DMSO | 25 | 88 |
| 20e | K2CO3 | DMSO | 25 | 93 |
| [11] |
|
| [12] |
(a)
doi: 10.1039/D2RA03011J pmid: 12683786 |
|
(b)
doi: 10.1002/ajoc.202000193 pmid: 12683786 |
|
|
(c)
pmid: 12683786 |
|
|
(d)
doi: 10.1038/s41557-021-00746-7 pmid: 12683786 |
|
| [13] |
(a)
doi: 10.1039/C8QO00241J |
|
(b)
doi: 10.1021/acs.orglett.0c02099 |
|
|
(c)
doi: 10.1039/D2CC06419G |
|
|
(d)
doi: 10.1021/ol500140e |
|
|
(e)
doi: 10.1021/acs.orglett.2c00246 |
|
|
(f)
doi: 10.6023/cjoc202403007 |
|
|
(张书林, 张周, 孙萌, 有机化学, 2024, 44, 2233)
doi: 10.6023/cjoc202403007 |
|
| [14] |
doi: 10.1021/acs.orglett.8b02612 |
| [15] |
doi: 10.1021/acs.joc.0c02700 |
| [16] |
doi: 10.1021/acs.orglett.1c03566 |
| [17] |
doi: 10.1021/acs.joc.2c01976 |
| [18] |
(a)
doi: 10.1021/acs.chemrev.8b00081 pmid: 33464903 |
|
(b)
doi: 10.1021/acscentsci.0c01493 pmid: 33464903 |
|
|
(c)
doi: 10.1021/jacs.0c12816 pmid: 33464903 |
|
|
(d)
doi: 10.1039/D0CC05699E pmid: 33464903 |
|
|
(e)
doi: 10.6023/cjoc202405021 pmid: 33464903 |
|
|
(潘旭玲, 黄有, 有机化学, 2024, 44, 3609.)
doi: 10.6023/cjoc202405021 pmid: 33464903 |
|
| [19] |
(a)
doi: 10.1021/jacs.5b06969 |
|
(b)
doi: 10.1039/D2SC04092A |
|
|
(c)
doi: 10.1021/acs.orglett.1c04045 |
|
|
(d)
doi: 10.1021/acs.joc.3c00603 |
|
| [20] |
(a)
doi: 10.1039/D4CC01968G pmid: 20162640 |
|
(b)
doi: 10.1021/acscatal.3c02332 pmid: 20162640 |
|
|
(c)
doi: 10.1002/chem.200901845 pmid: 20162640 |
|
| [1] |
(a)
doi: 10.1016/j.bmcl.2016.03.088 |
|
(b)
doi: 10.3389/fphar.2023.1133655 |
|
| [2] |
(a)
doi: 10.1016/j.phytochem.2019.05.003 |
|
(b)
doi: 10.1016/j.jpba.2004.09.009 |
|
|
(c)
doi: 10.1021/acs.joc.9b01956 |
|
| [3] |
(a)
doi: 10.1039/C6SC02878K |
|
(b)
doi: 10.2174/1385272826666220827095110 |
|
|
(c)
doi: 10.1039/D3QO01010D |
|
|
(d)
|
|
| [4] |
(a)
doi: 10.1038/s41428-020-0376-z |
|
(b)
doi: 10.1038/s41428-021-00493-z |
|
| [5] |
(a)
doi: 10.1039/a907688c |
|
(b)
doi: 10.2174/1570193X19666220104093837 |
|
| [6] |
doi: 10.1002/adsc.v347:11/13 |
| [7] |
doi: 10.1021/acs.orglett.9b02291 pmid: 31310136 |
| [8] |
(a)
doi: 10.1021/cr00094a007 |
|
(b)
doi: 10.1080/00397910600773684 |
|
| [9] |
(a)
doi: 10.1016/j.tetlet.2010.10.017 |
|
(b)
doi: 10.1021/jo048358r |
|
| [10] |
(a)
doi: 10.1002/adsc.v353.2/3 pmid: 11052102 |
|
(b)
pmid: 11052102 |
| [1] | Shulin Zhang, Zhou Zhang, Meng Sun. Ag(I)-Catalyzed Addition of Cyclopropenones and Alcohols via C—C Bond Cleavage [J]. Chinese Journal of Organic Chemistry, 2024, 44(7): 2233-2240. |
| [2] | Sizhan Liu, Mingyue Cui, Bowen Wang, Chunmei Hu, Yingying Zheng, Jing Li, Xuetao Xu, Zhen Wang, Shaohua Wang. Triethyl Amine-Promoted Cyclization Reaction between Cyclopropenone and α-Halogenated Hydroxamate for the Synthesis of Polysubstituted 6H-1,3-Oxazin-6-one [J]. Chinese Journal of Organic Chemistry, 2021, 41(4): 1622-1630. |
| Viewed | ||||||
|
Full text |
|
|||||
|
Abstract |
|
|||||