ARTICLES

Study on the Synthesis and Fungicidal Activity of 1-Azolyl-1,1- diarylmethanes Containing Pyridine Ring

  • Sai Hong ,
  • Fahong Yin ,
  • Minghui Chen ,
  • Bin Fu ,
  • Yumei Xiao ,
  • Zhaohai Qin , *
Expand
  • College of Science, China Agricultural University, Beijing 100193
* E-mail:

The authors contributed equally to this work

Received date: 2025-07-26

  Revised date: 2025-08-22

  Online published: 2025-09-24

Supported by

National Natural Science Foundation of China(21877125)

Abstract

To investigate pyridine influence on azole fungicides, 24 novel pyridine-containing 1-azolyl-1,1-diarylmethane derivatives were synthesized using bifonazole as the lead compound and pyridinyl diaryl ketone molecules plug-in as the raw materials. Their antifungal activities against 10 plant pathogenic fungi were evaluated in vitro. Several compounds exhibited promising inhibitory effects, particularly 4-([1,1'-biphenyl]-4-yl(1H-1,2,4-triazol-1-yl)methyl)-2-chloropyridine (I-12), 1-((4- (tert-butyl)phenyl)(3-chlorophenyl)methyl)-1H-1,2,4-triazole (I-21) and 4-((4-(tert-butyl)phenyl)(1H-imidazol-1-yl)methyl)- 2-chloropyridine (I-23), which showed significant efficacy against Sclerotinia sclerotiorum, Fusarium graminearum, Botrytis cinerea and Pythium aphanidermatum. Notably, compound I-23 showed equivalent efficacy (EC50=14.03 mg/L) to bifonazole (14.87 mg/L) against P. aphanidermatum. Structure-activity relationship analysis revealed that imidazole-substituted derivatives generally exhibited higher activity, where bulky substituents on phenyl rings and increased hydrophobicity positively influenced the fungicidal effects. Molecular docking studies further elucidated the possible binding mechanisms between these compounds and target proteins.

Cite this article

Sai Hong , Fahong Yin , Minghui Chen , Bin Fu , Yumei Xiao , Zhaohai Qin . Study on the Synthesis and Fungicidal Activity of 1-Azolyl-1,1- diarylmethanes Containing Pyridine Ring[J]. Chinese Journal of Organic Chemistry, 2026 , 46(1) : 106 -117 . DOI: 10.6023/cjoc202506035

过去半个世纪以来, 抑制真菌甾醇生物合成的唑类杀菌剂不仅在临床抗真菌感染领域始终占据主导地 位[1], 如咪康唑、氟康唑[2]、奥特康唑[3]等, 其在农用杀菌剂领域同样也应用广泛, 如丙硫菌唑[4]、戊唑醇[5]、咪鲜胺[6]等都被用于控制一系列作物真菌病害. 这类杀菌剂的选择性优势源于其独特的生化作用靶点——真菌特有的麦角甾醇合成途径[7-8]. 1973年, Ragsdale和Sisler[9]通过研究嘧菌醇对玉米黑粉菌(Ustilago maydis)的抑制作用, 首次阐明了14α-脱甲基化抑制剂(DMIs)的作用机制, DMIs类杀菌剂通过特异性抑制细胞色素P450家族中的羊毛甾醇14α-去甲基化酶(Cyp51)发挥药效[10]. 其分子机制表现为: 抑制剂分子中的杂环氮原子与Cyp51活性中心的血红素铁原子发生配位结合, 从而阻断该酶对羊毛甾醇14α-甲基的催化氧化[11-12]. 这种抑制作用导致麦角甾醇合成受阻[13], 同时造成有毒中间产物14α-甲基甾醇的积累[14], 最终实现对病原真菌的选择性抑制和杀灭. 如今Cyp51酶已经成为开发新型杀菌剂的经典靶标[1,15-16]. 然而在农用领域由于DMI的持续和密集应用, 一些植物病原真菌出现了严重的耐药 性[17-19]. 因此开发靶向CYP51的新型药物是解决抗性问题的关键方法之一, 而具有新结构和出色性能的CYP51抑制剂则不断被发现[15,20-25].
联苯苄唑(Bifonazole)作为一种咪唑类DMIs广谱抗真菌剂, 在医学领域已证实对多种病原真菌具有显著抑制效果[26-28]. 研究发现, 联苯苄唑对植物病原真菌也有出色的抗真菌活性, 联苯苄唑能够有效地抑制扩展青霉(Penicillium expansum)的菌丝生长和孢子萌发, 其抑制孢子萌发的EC50为0.04 μg/mL. 体外接种实验结果表 明[15], 用联苯苄唑处理可以显著减小果实采后病斑直径, 有效控制果实采后青霉病的发生.
吡啶二芳酮类分子插件是本研究团队建立的分子插件库中的一种, 可通过简单的反应导入到多种化合 物[29]. 本课题组以吡啶二芳酮为分子插件, 通过官能团衍生, 合成并筛选出了一系列如丁吡吗啉、水合丁吡吗啉、新型肉桂酰胺衍生物及嘧啶肟草醚类似物等多个高活性化合物, 极大地促进了新农药创制发展[30-33]. 如Scheme 1所示, 本研究基于分子插件技术平台, 以联苯苄唑为先导化合物, 通过吡啶二芳酮分子插件的羰基还原-卤代-亲核取代反应, 并基于活性亚结构拼接原理, 与氮杂环进行亲核取代, 设计合成了24种新型的1-唑基-1,1-二芳基甲烷类化合物, 通过活性筛选评价了它们对10种植物病原真菌的杀真菌活性, 讨论了系列化合物与活性的构效关系, 并初步评价了高效化合物可能的作用机制.
图式1 系列化合物I的设计策略

Scheme 1 Design strategy for the series compounds I

1 结果与讨论

1.1 化合物的合成

目标化合物I-01~I-24的合成路线见Scheme 2, 我们通过已报道的相关文献, 首先1,1-二芳基酮的羰基在硼氢化钠条件下还原成羟基, 氯化亚砜回流条件下将羟基氯代, 最后通过亲核取代得到目标化合物. 反应过程中, 羰基还原反应和羟基氯代反应原料几乎都能完全转化, 使目标化合物简单易得.
图式2 系列化合物I的合成路线

Scheme 2 Synthetic route of series compounds I

1.2 离体杀菌活性普筛

对合成的目标化合物I-01~I-24进行了杀菌活性普筛, 测试菌株包括油菜菌核病菌、辣椒疫霉病菌、葡萄炭疽病菌以及番茄灰霉病菌在内的10种植物病原菌. 测试浓度为50 mg/L, 并以联苯苄唑为对照药, 结果如表1所示. 化合物I-01~I-24对多种病原菌表现出了较好的抑制活性. 化合物I-01~I-24对棉花立枯病菌有中等的抑制活性, I-04I-06I-07I-11I-12I-19I-21I-23的抑制率都超过了60%; 化合物I-12I-19I-21对油菜菌核病菌的抑制率大于60%, 远低于对照药联苯苄唑(90.71%); I-23对辣椒疫霉病菌有较强的抑制效果, 50 mg/L时抑制率为87.18%; I-07I-12I-21I-23对小麦赤霉病菌的抑制活性较好, 抑制率分别为76.61%、75.25%、70.59%和79.11%; I-12I-23对瓜果腐霉病菌的抑制率分别为77.84%和84.21%, 抑制活性高于对照药联苯苄唑(72.87%); 对番茄灰霉病菌, I-05I-11I-12I-19I-21的抑制率分别为84.41%、86.78%、88.25%、73.79%和88.93%, 虽然低于对照药联苯苄唑(100%), 但也表现出了优异的活性; I-08I-10I-12I-22I-24对稻瘟病菌有很好的抑制效果, 抑制率分别为75.46%、78.26%、82.54%、74.80%和71.34%; 化合物I-01~I-24对葡萄炭疽病菌、水稻恶苗病菌和棉花枯萎病菌的活性相对较差.
表1 I-01~I-24的杀菌活性

Table 1 Fungicidal activity of I-01~I-24

Compd. Inhibition rate/(%, 50 mg/L) MIRc
%
Log Pa R. solanib S. sclerotiorumb P. capsicib C. gloeosporioidesb F. oxysporumb F. graminearumb F. fujikuroib P. aphanidermatumb B. cinereab P. oryzaeb
I-1 3.42 22.15±2.51 16.80±2.08 8.74±0.93 18.68±0.54 12.18±0.84 45.05±0.79 25.77±2.43 17.37±1.24 28.14±1.89 50.10±2.15 24.5
I-2 3.84 35.64±2.64 29.23±1.98 26.81±0.73 33.50±0.36 26.98±0.42 53.91±1.42 37.99±3.02 31.75±0.35 45.08±1.92 44.66±1.31 36.56
I-3 4.25 57.46±1.06 41.00±0.60 55.71±0.20 43.34±0.74 36.92±0.56 57.43±0.34 38.22±2.22 33.88±1.22 63.22±2.16 49.28±2.33 47.65
I-4 4.17 60.46±0.43 32.10±1.71 44.76±0.35 43.69±0.41 39.11±2.22 57.31±1.42 51.48±1.40 39.77±0.54 45.65±0.52 36.10±0.57 45.04
I-5 5.09 57.57±1.19 43.62±2.67 60.49±0.93 44.64±1.03 41.41±0.63 61.85±1.23 48.02±0.87 42.48±0.41 84.41±2.03 57.84±3.18 54.23
I-6 4.64 63.82±0.87 48.85±0.45 57.23±0.88 44.40±2.05 47.72±0.21 62.76±1.04 55.74±0.69 46.72±0.41 58.42±1.04 21.61±0.29 50.73
I-7 5.05 65.79±2.81 50.16±0.78 57.69±0.35 48.91±0.21 45.05±1.31 76.61±2.39 55.86±0.87 49.08±1.41 68.36±1.04 26.22±3.21 54.37
I-8 3.49 18.75±3.79 17.19±1.18 21.45±0.81 25.56±0.54 20.18±0.42 39.03±1.48 37.76±3.99 33.40±2.84 47.12±2.06 75.46±0.29 33.59
I-9 3.09 3.18±2.74 0.31±0.78 2.80±0.70 12.40±0.54 8.90±0.56 37.78±0.39 33.15±1.60 33.52±1.22 44.18±2.07 34.29±0.49 21.05
I-10 3.76 21.82±2.19 23.99±1.77 31.24±0.88 32.08±0.71 23.70±1.52 42.55±0.39 45.37±1.20 35.29±1.06 39.44±1.41 78.26±0.99 37.37
I-11 4.92 60.20±0.87 54.87±2.08 59.91±1.41 50.57±0.62 37.41±0.36 55.95±0.79 46.52±1.06 53.32±0.61 86.78±3.11 41.04±0.57 54.66
I-12 4.61 64.80±1.51 67.03±0.39 53.15±1.95 53.77±0.36 43.84±0.21 75.25±0.52 51.48±0.20 77.84±0.82 88.25±0.85 82.54±1.03 65.8
I-13 2.80 15.90±1.55 7.12±0.23 0.00 12.87±0.36 8.18±0.21 31.77±0.20 21.39±2.22 15.37±0.41 58.87±3.20 29.02±1.24 20.05
I-14 3.91 26.75±4.06 25.95±0.23 21.45±0.53 31.96±0.21 21.88±1.83 56.18±0.39 30.61±3.73 21.97±0.74 18.42±0.39 51.91±0.57 30.71
I-15 3.91 19.19±2.33 17.32±2.61 18.88±1.05 21.76±0.62 19.46±0.42 31.77±1.29 25.54±3.81 15.49±0.61 55.14±1.09 38.24±1.71 26.28
I-16 3.91 3.29±2.37 8.69±0.82 16.90±1.58 20.46±0.21 15.21±7.31 35.51±1.42 16.55±2.69 12.78±1.14 38.64±1.55 46.64±0.99 21.47
I-17 4.29 52.96±3.47 44.40±0.82 50.70±1.26 39.90±0.62 36.44±1.11 48.23±1.77 48.48±2.42 27.39±0.74 52.09±2.18 28.19±3.02 42.88
I-18 4.64 54.82±1.52 49.63±2.16 53.73±0.73 44.64±1.03 35.10±0.42 49.25±0.59 42.95±1.38 46.49±1.08 66.10±1.89 27.54±1.51 47.03
I-19 5.34 68.75±0.33 65.72±1.59 59.91±1.07 40.61±1.23 61.67±0.76 68.44±1.94 59.77±0.53 48.14±1.47 73.79±2.74 24.74±2.00 57.15
I-20 4.64 41.34±1.55 24.65±0.78 39.42±1.15 28.99±0.21 25.16±1.38 48.00±1.71 31.77±2.22 29.40±0.20 47.29±0.24 23.09±2.00 33.91
I-21 5.63 65.24±1.33 72.53±1.04 45.34±1.41 46.42±0.21 31.59±1.67 70.59±0.20 42.25±0.35 32.11±2.55 88.93±0.39 43.02±0.57 53.8
I-22 3.07 48.03±3.01 0.00 24.94±1.01 33.14±1.23 12.54±2.00 56.18±0.39 34.65±1.04 18.79±2.13 0.00 74.80±1.31 30.31
I-23 4.28 66.01±1.00 11.43±0.45 87.18±0.73 52.11±0.54 28.68±1.89 79.11±2.58 52.51±1.00 84.21±0.82 49.04±3.43 53.15±2.45 56.34
I-24 3.55 40.24±2.64 1.88±0.78 34.73±2.27 40.02±0.21 16.06±0.76 61.06±0.52 55.62±0.53 8.06±0.71 6.67±0.85 71.34±1.48 33.57
Bifonazole 4.69 75.44±4.49 90.71±1.59 96.39±1.58 94.90±0.21 91.51±1.17 92.28±0.86 80.06±0.20 72.87±0.38 100.00 100.00 89.42

a The Log P value is provided by ChemBioDraw Ultra 14.0. b R. solani: Rhizoctonia solani, S. sclerotiorum: Sclerotinia sclerotiorum, P. capsici: Phytophthora capsica, C. gloeosporioides: Colletotrichum gloeosporioides, F. oxysporum: Fusarium oxysporium, F. graminearum: Fusarium graminearum, F. fujikuroi: Fusarium fujikuroi, P. aphanidermatum: Pythium aphanidermatum, B. cinereus: Botrytis cinereaP. oryzae: Piricularia oryzae. c The average antibacterial activity of the compound against ten pathogenic fungi, per group. The data were repeated three times, and are presented as mean±standard deviation.

1.3 构效关系分析

脂溶性通过影响药物的跨膜能力、靶组织分布及代谢动力学, 一定程度上决定化合物的药效. 通过比较化合物I的平均抑菌活性(MIR)与化合物的脂溶性(Log P)之间的关系(图1), 对构效关系进行讨论. 整体上化合物I的杀菌活性与其脂溶性呈正相关关系, 但I-06I-12I-18I-20与联苯苄唑的脂溶性相当, 其活性却差异巨大, 说明脂溶性只是影响活性的关键因素之一. 当吡啶环与苯环上的取代基相同时, 1,2,4-三唑取代化合物的活性低于咪唑取代化合物; 其中I-23的MIR高于I-06, I-24的平均抑制率高于I-16, I-22的平均抑制率高于I-01, 由此可见, 咪唑环的引入对化合物的杀菌活性更有利. 当吡啶环上的取代基一致时, 苯环上烷基取代基空间位阻越大活性越好, 甲基取代时活性最差, 它们的平均抑制率: I-07(叔戊基)>I-05(戊基)>I-06(叔丁基)>I-03(丙基)>I-04(异丙基)>I-02(乙基)>I-01(甲基), 苯环上具有双甲基取代的化合物I-14I-15I-16杀菌活性也较差. 苯环上苯基取代的化合物I-12和环己基取代化合物I-11活性较高, 总体活性优于苯环上长链取代的化合物, 且广谱性较好. 当苯环上的取代基为卤素原子时, I-08(氯)、I-09(氟)和I-10(溴)对绝大多数病原菌的活性较差, 表明苯环上引入吸电子基对化合物活性不利, 而I-10I-08I-09的Log P值分别为3.76、3.49和3.09, 脂溶性大小与其杀菌活性高度契合. 当苯环取代基都为叔丁基时, 吡啶环上氮原子及取代基位置对活性有一定影响, 抑制率: I-19>I-06>I-18>I-17>I-20. I-06的苯基异构体I-21活性略优于I-06, 吡啶环的存在可能对化合物活性有不利的影响. 综上所述, 化合物I-01~I-24的活性都低于对照药联苯苄唑, 说明吡啶环的引入对化合物活性有不利的影响; 苯环上较大的取代基可以提高化合物杀菌活性; 苯环上取代基为吸电子基时对杀菌活性有不利的影响; 吡啶环上氮原子及取代基位置对活性 也有一定影响.
图1 系列化合物I的平均杀菌活性(MIR)与Log P值的关系

Figure 1 Relationship between average bactericidal activity (MIR) and log P value of series compound I

1.4 精密毒力测定结果

为进一步探究该类化合物对病原菌的杀菌活性, 选择普筛中活性较高的化合物(抑制率>70%)精密毒力研究, 并以联苯苄唑作对照, 实验结果如表2所示. 化合物I-23Pythium aphanidermatum的EC50值为14.03 mg/L, 与对照药联苯苄唑(14.87 mg/L)的活性相当; 其他化合物对病原菌的EC50值均高于对照药联苯苄唑. 该系列化合物对小麦赤霉病菌、番茄灰霉病菌、瓜果腐霉病菌有相对较好的活性, EC50值较低. 对小麦赤霉病菌活性较好的化合物I-07I-12I-21I-23均具有较大的苯环取代基, 其中叔戊基取代的I-07、苯基取代的I-12及叔丁基苯基取代的I-23活性突出, 表明苯环上大体积烷基或芳香环取代可显著提升对小麦赤霉病菌的抑制活性; 同时, 咪唑取代的I-23活性优于结构相似的三唑取代化合物I-06, 进一步验证了咪唑环对活性的增益作用. 在对番茄灰霉病菌具有高活性的几个化合物中, 以苯环上环己基取代的I-11活性最优, 可能因其环状结构与病原菌靶标蛋白活性口袋的空间匹配性更佳; 双甲基取代的化合物(如I-14I-15)对该病原菌抑制率低于55%, 表明苯环上小体积对称取代不利于对番茄灰霉病菌活性. 化合物I-12I-21I-23对多种病原菌有较好的活性, 与普筛的结果基本一致. 化合物I的杀菌活性与其脂溶性整体呈正相关, 苯环上有较大取代基的化合物、咪唑取代的化合物和用苯环替代吡啶环的化合物整体具有更好的杀菌活性.
表2 部分化合物对病原菌的EC50值(mg/L)

Table 2 EC50 values (mg/L) of some compounds against fungi

Compd. EC50 Regression equation R2 95% confidence interval
P. oryzae I-08 49.17 y=-2.54+1.48x 0.941 38.18~70.10
I-10 33.34 y=-2.21+1.44x 0.984 26.81~43.90
I-12 15.67 y=-1.91+1.59x 0.985 13.20~18.93
I-22 46.03 y=-2.4+1.45x 0.960 35.31~65.86
I-24 20.77 y=-1.75+1.33x 0.997 16.87~26.60
Bifonazole 1.41 y=-0.21+1.49x 0.947 0.72~2.12
B. cinerea I-05 15.25 y=-1.97+1.66x 0.992 12.94~18.24
I-11 14.21 y=-1.4+1.21x 0.985 11.41~17.92
I-12 21.65 y=-2.09+1.56x 0.970 18.15~26.57
I-19 22.01 y=-1.82+1.35x 0.992 17.92~28.13
I-21 16.41 y=-1.85+1.51x 0.982 13.72~20.02
Bifonazole 1.78 y=-0.38+1.41x 0.997 0.75~3.00
F. graminearum I-07 22.84 y=-1.21+0.89x 0.988 16.88~34.18
I-12 17.3 y=-1.15+0.93x 0.996 13.20~24.12
I-21 19.71 y=-0.76+0.59x 0.996 12.97~36.65
I-23 12.76 y=-0.78+0.71x 0.991 9.12~18.98
Bifonazole 0.1 y=0.76+0.77x 0.920 0.08~0.15
P. aphanidermatum I-12 27.54 y=-2.68+1.86x 0.976 23.41~33.34
I-23 14.03 y=-2.73+2.35x 0.963 9.87~20.48
Bifonazole 14.87 y=-1.97+1.66x 0.996 10.94~21.28
P. capsici I-23 20.17 y=-3.95+3.02x 0.997 18.07~22.62
Bifonazole 6.5 y=-2.59+3.11x 0.985 5.83~7.23
S. sclerotiorum I-21 16.53 y=-1.93+1.57x 0.963 14.00~19.86
Bifonazole 11.94 y=-2.01+1.89x 0.984 10.36~13.84

1.5 分子对接

为进一步分析化合物与蛋白受体之间的相互作用, 探究化合物之间活性差异的原因, 选择了对照药联苯苄唑、活性较好的化合物进行了分子对接分析. 14𝛼-甾醇脱甲基酶是真菌甾醇生物合成过程中必不可少的酶, 大多数三唑类杀菌剂都是麦角甾醇生物合成抑制剂, 三唑环中的N原子可与铁卟啉中的中心Fe2+结合, 抑制铁卟啉中铁-氧复合物的形成. SYBYL-X 2.0软件被用于目标化合物与小麦赤霉14α-去甲基酶的目标蛋白(同源模板PDB编号: 4YUL)的分子对接模拟.
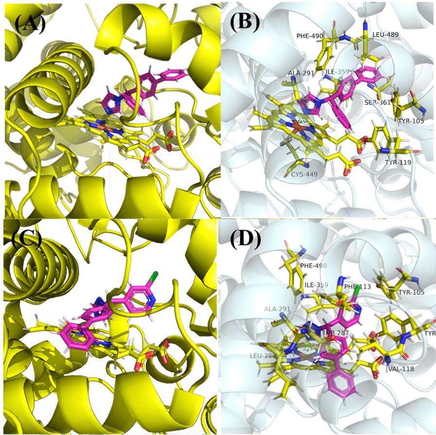
首先对联苯苄唑与目标蛋白进行了对接, 由图2A2B可以看出, 联苯苄唑在活性口袋中的相互作用主要是氢键相互作用和疏水相互作用: 咪唑环的3位氮原子与铁卟啉中心Fe2+形成配位相互作用, 距离为0.20 nm; 咪唑环与Ala291、Cys449形成疏水相互作用; 苯基与周围氨基酸残基Val119等形成疏水相互作用; 联 苯基与周围多个氨基酸残基Tyr105、Ile359、Leu489、Phe490等形成疏水相互作用; 联苯基与Ser361形成疏水相互作用.
图2 (A)联苯苄唑与靶标蛋白的对接构象; (B)联苯苄唑与活性位点的相互作用; (C) I-12与靶标蛋白的对接构象; (D) I-12与活性位点的相互作用(绿色虚线为N原子与铁卟啉中心Fe2+的配位键)

Figure 2 (A) Docking conformation of bifonazole with target protein; (B) The interaction between bifonazole and the active site; (C) Docking conformation of I-12 with target protein; (D) Interaction of I-12 with the active site (The green dashed line represents the coordination bond between the N atom and the Fe2+ center of the iron porphyrin)

I-12是该类化合物中综合活性最高的化合物, 如图2C2D所示, I-12三唑环的4位氮原子与铁卟啉中心Fe2+形成配位相互作用, 距离为0.23 nm; 同时三唑环与氨基酸残基Ala291、Ile359、Phe490形成疏水相互作用; 吡啶环与周围氨基酸残基Tyr105、Tyr119、Phe490等形成弱的疏水相互作用; 联苯结构与周围氨基酸残基Phe113、Val118、Thr287、Leu288也会形成疏水相互作用. 由此可见, 除了必要的以氮杂环和铁卟啉中心Fe2+形成的配位相互作用外, 疏水相互作用也是影响活性的关键因素.
目标化合物I-21I-06的苯基异构体, 两者在活性位点的结合方式具有高度的相似性. 两者与目标蛋白的对接结果如图3A3B所示, 目标化合物I-21三唑环的2位氮原子与铁卟啉中心Fe2+形成配位相互作用, 距离为0.22 nm; 另外三唑环与Ala291形成疏水相互作用, 与Cys449形成疏水相互作用; 4-氯取代苯环与Tyr119形成疏水相互作用; 叔丁基苯结构与Ile359、Tyr105形成疏水相互作用. 如图3C3D所示, 目标化合物I-06三唑环的2位氮原子与铁卟啉中心Fe2+形成配位相互作用, 距离为0.23 nm; 同时三唑环还与Ala291形成疏水相互作用; 叔丁基苯结构与周围的氨基酸Leu489、Ile359、Phe490、Tyr105等形成疏水相互作用; 吡啶环与周围氨基酸残基Tyr119等形成的疏水相互作用. 在结合方式相同的条件下, 目标化合物I-21的平均抑制率略高于I-06, 而且I-21对油菜菌核病菌、小麦赤霉病菌和番茄灰霉病菌有较为突出的活性, 说明了除了与靶标蛋白的结合方式, 化合物的疏水性可能也是影响其活性的重要因素.
图3 (A) I-21与靶标蛋白的对接构象; (B) I-21与活性位点的相互作用; (C) I-06与靶标蛋白的对接构象; (D) I-06与活性位点的相互作用; (E) I-23与靶标蛋白的对接构象; (F) I-23与活性位点的相互作用(绿色虚线为N原子与铁卟啉中心Fe2+的配位键)

Figure 3 (A) Docking conformation of I-21 with target protein; (B) Interaction of I-21 with the active site; (C) Docking conformation of I-06 with target protein; (D) Interaction of I-06 with the active site; (E) Docking conformation of I-23 with target protein; (F) Interaction of I-23 with the active site (The green dashed line represents the coordination bond between the N atom and the Fe2+ center of the iron porphyrin)

I-06I-23在结构上非常相似, 两者分别是三唑取代化合物和咪唑取代化合物, 但I-23相较于I-06具有更广谱和高效的杀菌活性. 两者与目标蛋白的对接结果如图3E3F所示, I-23咪唑环的3位氮原子与铁卟啉中心Fe2+形成配位相互作用, 距离为0.22 nm; 另外咪唑环与Ala291、Cys449、Phe490形成疏水相互作用; 吡啶环与周围氨基酸残基Phe113、Tyr119、Tyr105等形成疏水相互作用; 叔丁基苯环结构与周围氨基酸残基Val118、Thr287、Leu288形成疏水相互作用. 由此可见, I-23在活性位点的结合方式与I-06是存在较大差别的, 而I-23的结合方式与I-12具有更高的相似度, 且两者都是相对活性较高的化合物, 后两者与靶标蛋白的结合方式对化合物的杀菌活性更有利.
综上, 所有对接的目标化合物包括对照药联苯苄唑在内在活性位点的结合方式都存在共性, 即氮杂环与铁卟啉中心Fe2+形成配位相互作用, 这也是该类化合物具有杀菌活性的关键所在; I-21I-06在活性位点的结合方式具有高度的相似性, 说明吡啶环并未影响与靶标蛋白的结合方式, 化合物的疏水性可能也是影响其活性的重要因素.

2 结论

以联苯苄唑为先导化合物, 结合吡啶二芳酮分子插件, 设计合成了一系列1-唑基-1,1-二芳基甲烷类化合物I-01~I-24, 通过1H NMR、13C NMR和HRMS进行结构确认, 并且评估了它们对植物病原菌的杀菌活性. 结果表明化合物I-01~I-24具有广谱性, 对多种病原菌表现出了中等的抑制效果, 部分化合物对稻瘟病菌、小麦赤霉病菌、番茄灰霉病菌、瓜果腐霉病菌等有较高的活性; 精度毒力实验结果表明, 化合物I-12I-21I-23对多种病原菌的EC50值较低, 有较好的杀菌效果, 为抗真菌药物研发提供了潜在先导结构. 讨论了该类化合物与活性的构效关系, 咪唑取代的化合物通常具有更好的杀菌活性; R2为空间位阻较大的基团时有利于化合物活性提高; 化合物的疏水性是影响其活性的重要因素. 分子对接结果揭示了化合物与14α-甾醇脱甲基酶(Cyp51)可能的结合模式, 氮杂环与铁卟啉中心Fe2+的配位作用及疏水相互作用是活性的关键驱动力. 本文为唑类化合物在农用化学品的创制提供了有价值的信息.

3 实验部分

3.1 仪器与试剂

熔点测定仪(天津天光新光学仪器科技有限公司, RY-1G); 超净工作台(苏州净化, SW-CJ-1E); 核磁共振谱仪(德国, Bruker AVANCE NEO 500MHz); 智能光照培养箱(中国, 宁波江南RXZ型); 高分辨质谱仪(美国, Thermo Scientific Q Exactive); 高压灭菌锅(中国, YXQ-LS-50SII). 所用试剂与溶剂均为市场上销售的分析纯试剂.

3.2 化合物的合成

3.2.1 中间体2的合成

合成方法参考已报道文献[34]. 将12.60 mmol硼氢化钠缓慢加入到12.60 mmol原料1的50 mL甲醇溶液中, 室温下搅拌1 h. 向反应体系中加入1.5 mol/L盐酸50 mL), 用乙酸乙酯(50 mL×3)萃取, 合并有机相, 减压浓缩得到中间体2.
(2-氯吡啶-4-基)(对甲苯基)甲醇(2-1): 白色固体, m.p. 140~141 ℃, 收率68%. 1H NMR (500 MHz, DMSO-d6) δ: 8.30 (d, J=5.1 Hz, 1H), 7.47 (s, 1H), 7.36 (dd, J=5.2, 1.4 Hz, 1H), 7.30~7.11 (m, 4H), 6.20 (d, J=4.1 Hz, 1H), 5.71 (d, J=4.1 Hz, 1H), 2.25 (s, 3H).
(2-氯吡啶-4-基)(4-乙基苯基)甲醇(2-2): 白色固体, m.p. 102~103 ℃, 收率82%. 1H NMR (500 MHz, DMSO-d6) δ: 8.31 (d, J=5.1 Hz, 1H), 7.48 (s, 1H), 7.37 (dd, J=5.1, 1.4 Hz, 1H), 7.32~7.14 (m, 4H), 6.20 (s, 1H), 5.72 (s, 1H), 2.55 (q, J=7.6 Hz, 2H), 1.13 (t, J=7.6 Hz, 3H).
(2-氯吡啶-4-基)(4-丙基苯基)甲醇(2-3): 白色固体, m.p. 102~103 ℃, 收率83%. 1H NMR (500 MHz, DMSO-d6) δ: 8.32 (d, J=5.1 Hz, 1H), 7.50 (s, 1H), 7.38 (dd, J=5.2, 1.4 Hz, 1H), 7.33~7.13 (m, 4H), 6.21 (s, 1H), 5.73 (s, 1H), 2.50 (t, J=15.3 Hz, 2H), 1.60~1.49 (m, 2H), 0.86 (t, J=7.3 Hz, 3H).
(2-氯吡啶-4-基)(4-异丙基苯基)甲醇(2-4): 白色固体, m.p. 69~70 ℃, 收率86%. 1H NMR (500 MHz, DMSO-d6) δ: 8.31 (d, J=5.1 Hz, 1H), 7.50 (s, 1H), 7.38 (dd, J=5.2, 1.4 Hz, 1H), 7.33~7.16 (m, 4H), 6.19 (d, J=4.0 Hz, 1H), 5.72 (d, J=4.0 Hz, 1H), 2.88~2.79 (m, 1H), 1.16 (d, J=7.0 Hz, 6H).
(2-氯吡啶-4-基)(4-戊基苯基)甲醇(2-5): 白色固体, m.p. 73~74 ℃, 收率90%. 1H NMR (500 MHz, DMSO- d6) δ: 8.31 (d, J=5.1 Hz, 1H), 7.49 (s, 1H), 7.38 (dd, J=5.2, 1.4 Hz, 1H), 7.32~7.13 (m, 4H), 6.21 (d, J=4.0 Hz, 1H), 5.72 (d, J=4.1 Hz, 1H), 2.52 (t, J=7.8 Hz, 2H), 1.57~1.48 (m, 2H), 1.34~1.19 (m, 4H), 0.84 (t, J=7.0 Hz, 3H).
(2-氯吡啶-4-基)(4-叔丁基苯基)甲醇(2-6): 白色固体, m.p. 133~134 ℃, 收率84%. 1H NMR (500 MHz, DMSO-d6) δ: 8.32 (d, J=5.1 Hz, 1H), 7.51 (s, 1H), 7.39 (dd, J=5.2, 1.4 Hz, 1H), 7.37~7.30 (m, 4H), 6.20 (d, J=4.0 Hz, 1H), 5.73 (d, J=4.0 Hz, 1H), 1.24 (s, 9H).
(2-氯吡啶-4-基)(4-叔戊基苯基)甲醇(2-7): 白色固体, m.p. 103~104 ℃, 收率80%. 1H NMR (500 MHz, DMSO-d6) δ: 8.32 (d, J=5.1 Hz, 1H), 7.51 (s, 1H), 7.39 (dd, J=5.2, 1.4 Hz, 1H), 7.35~7.26 (m, 4H), 6.21 (d, J=4.0 Hz, 1H), 5.73 (d, J=4.0 Hz, 1H), 1.58 (q, J=7.4 Hz, 2H), 1.20 (s, 6H), 0.60 (t, J=7.4 Hz, 3H).
(2-氯吡啶-4-基)(4-氯苯基)甲醇(2-8): 白色固体, m.p. 130~131 ℃, 收率54%. 1H NMR (500 MHz, DMSO-d6) δ: 8.33 (d, J=5.1 Hz, 1H), 7.51 (s, 1H), 7.45~7.42 (m, 2H), 7.41~7.37 (m, 3H), 6.37 (d, J=4.1 Hz, 1H), 5.78 (d, J=4.1 Hz, 1H).
(2-氯吡啶-4-基)(4-氟苯基)甲醇(2-9): 白色固体, m.p. 103~104 ℃, 收率79%. 1H NMR (500 MHz, DMSO-d6) δ: 8.32 (d, J=5.1 Hz, 1H), 7.51 (s, 1H), 7.48~7.41 (m, 2H), 7.38 (d, J=5.1, 1.4 Hz, 1H), 7.20~7.11 (m, 2H), 6.32 (d, J=4.1 Hz, 1H), 5.78 (d, J=4.1 Hz, 1H).
(2-氯吡啶-4-基)(4-溴苯基)甲醇(2-10): 白色固体, m.p. 131~132 ℃, 收率86%. 1H NMR (500 MHz, DMSO-d6) δ: 8.33 (d, J=5.1 Hz, 1H), 7.56~7.49 (m, 3H), 7.40~7.35 (m, 3H), 6.38 (d, J=4.1 Hz, 1H), 5.77 (d, J=4.1 Hz, 1H).
(2-氯吡啶-4-基)(4-环己基苯基)甲醇(2-11): 白色固体, m.p. 134~135 ℃, 收率87%. 1H NMR (500 MHz, DMSO-d6) δ: 8.31 (d, J=5.1 Hz, 1H), 7.50 (s, 1H), 7.38 (d, J=5.2, 1.4 Hz, 1H), 7.32~7.15 (m, 4H), 6.19 (d, J=4.0 Hz, 1H), 5.71 (d, J=3.9 Hz, 1H), 2.49~2.40 (m, 1H), 1.81~1.71 (m, 4H), 1.71~1.64 (m, 1H), 1.42~1.27 (m, 4H), 1.26~1.14 (m, 1H).
[1'-联苯]-4-基(2-氯吡啶-4-基)甲醇(2-12): 淡黄色固体, m.p. 168~169 ℃, 收率83%. 1H NMR (500 MHz, DMSO-d6) δ: 8.34 (d, J=5.1 Hz, 1H), 7.66~7.60 (m, 4H), 7.56 (s, 1H), 7.52~7.47 (m, 2H), 7.47~7.41 (m, 3H), 7.38~7.31 (m, 1H), 6.33 (d, J=4.1 Hz, 1H), 5.82 (d, J=3.7 Hz, 1H).
(2-氯吡啶-4-基)(4-甲氧基苯基)甲醇(2-13): 白色固体, m.p. 108~109 ℃, 收率76%. 1H NMR (500 MHz, DMSO-d6) δ: 8.31 (d, J=5.1 Hz, 1H), 7.47 (s, 1H), 7.36 (dd, J=5.2, 1.4 Hz, 1H), 7.33~7.27 (m, 2H), 6.92~6.86 (m, 2H), 6.17 (d, J=4.1 Hz, 1H), 5.71 (d, J=3.2 Hz, 1H), 3.72 (s, 3H).
(2-氯吡啶-4-基)(3,4-二甲基苯基)甲醇(2-14): 白色固体, m.p. 146~147 ℃, 收率84%. 1H NMR (500 MHz, DMSO-d6) δ: 8.30 (d, J=5.1 Hz, 1H), 7.47 (s, 1H), 7.36 (dd, J=5.1, 1.4 Hz, 1H), 7.15 (s, 1H), 7.12~7.05 (m, 2H), 6.16 (d, J=4.1 Hz, 1H), 5.67 (d, J=4.0 Hz, 1H), 2.18 (s, 3H), 2.16 (s, 3H).
(2-氯吡啶-4-基)(2,4-二甲基苯基)甲醇(2-15): 白色固体, m.p. 123~124 ℃, 收率82%. 1H NMR (500 MHz, DMSO-d6) δ: 8.32 (d, J=5.1 Hz, 1H), 7.37 (s, 1H), 7.26 (d, J=5.2, 1.4 Hz, 1H), 7.16 (d, J=7.7 Hz, 1H), 7.02~6.95 (m, 2H), 6.12 (d, J=4.5 Hz, 1H), 5.85 (d, J=4.5 Hz, 1H), 2.24 (s, 3H), 2.23 (s, 3H).
(2-氯吡啶-4-基)(2,5-二甲基苯基)甲醇(2-16): 白色固体, m.p. 104~105 ℃, 收率88%. 1H NMR (500 MHz, DMSO-d6) δ: 8.32 (d, J=5.1 Hz, 1H), 7.38 (s, 1H), 7.26 (dd, J=5.2, 1.4 Hz, 1H), 7.12 (s, 1H), 7.07~7.02 (m, 1H), 7.02~6.97 (m, 1H), 6.15 (s, 1H), 5.85 (s, 1H), 2.24 (s, 3H), 2.21 (s, 3H).
(3-氯吡啶-4-基)(4-叔丁基苯基)甲醇(2-17): 白色固体, m.p. 177~178 ℃, 收率77%. 1H NMR (500 MHz, DMSO-d6) δ: 8.56 (d, J=5.0 Hz, 1H), 8.53 (s, 1H), 7.75 (d, J=5.0 Hz, 1H), 7.37~7.24 (m, 4H), 5.90 (s, 1H), 1.24 (s, 9H).
(6-氯吡啶-3-基)(4-叔丁基苯基)甲醇(2-18): 淡黄色固体, m.p. 66~68 ℃, 收率86%. 1H NMR (500 MHz, DMSO-d6) δ: 8.44 (d, J=2.4 Hz, 1H), 7.78 (dd, J=8.3, 2.5 Hz, 1H), 7.43 (d, J=8.3 Hz, 1H), 7.35~7.28 (m, 4H), 5.78 (s, 1H), 1.23 (s, 9H).
(2-氯-6-甲基吡啶-4-基)甲醇(2-19): 白色固体, m.p. 98~99 ℃, 收率84%. 1H NMR (500 MHz, DMSO-d6) δ: 7.37~7.29 (m, 4H), 7.29 (s, 1H), 7.26 (s, 1H), 6.13 (s, 1H), 5.66 (s, 1H), 2.40 (s, 3H), 1.24 (s, 9H).
(2-氯吡啶-3-基) (4-叔丁基苯基)甲醇(2-20): 白色固体, m.p. 137~138 ℃, 收率85%. 1H NMR (500 MHz, DMSO-d6) δ: 8.31 (dd, J=4.7, 2.0 Hz, 1H), 8.12 (dd, J=7.7, 2.0 Hz, 1H), 7.49 (dd, J=7.7, 4.7 Hz, 1H), 7.36~7.23 (m, 4H), 6.15 (d, J=4.2 Hz, 1H), 5.89 (d, J=3.9 Hz, 1H), 1.24 (s, 9H).
(4-叔丁基苯基)(3-氯苯基)甲醇(2-21): 浅棕色固体, m.p. 72~73 ℃, 收率67%. 1H NMR (500 MHz, DMSO-d6) δ: 7.43 (s, 1H), 7.34~7.31 (m, 4H), 7.30~7.27 (m, 2H), 7.27~7.23 (m, 1H), 5.96 (d, J=4.0 Hz, 1H), 5.68 (d, J=3.9 Hz, 1H), 1.24 (s, 9H).

3.2.2 中间体3的合成

合成方法参考已报道文献[35], 在100 mL圆底烧瓶中加入25.67 mmol氯化亚砜、8.56 mmol中间体2和50 mL甲苯, 回流反应2 h. 减压浓缩得到中间体3, 直接用于下一步反应. 结构鉴定以3-18为例. 5-((4-(叔丁基)苯基)氯甲基)-2-氯吡啶(3-18): 浅红色油状液体, 收率81%. 1H NMR (500 MHz, CDCl3) δ: 8.41 (d, J=2.7 Hz, 1H), 7.73 (dd, J=8.4, 2.6 Hz, 1H), 7.43~7.36 (m, 2H), 7.31~7.29 (m, 3H), 6.10 (s, 1H), 1.31 (s, 9H); 13C NMR (126 MHz, CDCl3) δ: 151.92, 151.05, 148.78, 138.26, 136.54, 136.13, 127.31, 125.89, 124.16, 60.61, 34.66, 31.25.

3.2.3 目标化合物I的合成

合成方法参考已报道文献[36], 中间体3用50 mL乙腈溶解, 搅拌下加入25.68 mmol 1,2,4-三氮唑或咪唑和25.68 mmol碳酸钾, 回流反应2 h. 冷却至室温, 加入100 mL水, 乙酸乙酯萃取(60 mL×3), 合并有机相, 减压浓缩, 残余物用V(石油醚)∶V(乙酸乙酯)=1∶2柱层析纯化, 得到目标化合物I.
2-氯-4-((对甲苯基)(1H-1,2,4-三唑-1-基)甲基)吡啶(I-01): 淡黄色油状液体, 收率64%. 1H NMR (500 MHz, CDCl3) δ: 8.35 (d, J=5.2 Hz, 1H), 8.03 (s, 1H), 7.96 (s, 1H), 7.24~7.08 (m, 4H), 6.97 (s, 1H), 6.88 (dd, J=5.2, 1.6 Hz, 1H), 6.63 (s, 1H), 2.36 (s, 3H); 13C NMR (126 MHz, CDCl3) δ: 152.82, 152.42, 150.89, 150.20, 143.72, 139.96, 132.43, 130.23, 128.84, 122.91, 121.11, 66.15, 21.26; HRMS (ESI) calcd for C15H14N4Cl [M+H]285.0902, found 285.0896.
2-氯-4-((4-乙基苯基)(1H-1,2,4-三唑-1-基)甲基)吡啶(I-02): 白色固体, m.p. 64~66 ℃, 收率44%. 1H NMR (500 MHz, CDCl3) δ: 8.37 (d, J=5.2 Hz, 1H), 8.05 (s, 1H), 7.97 (s, 1H), 7.26~7.23 (m, 2H), 7.16~7.11 (m, 2H), 6.99 (s, 1H), 6.90 (dd, J=5.3, 1.6 Hz, 1H), 6.64 (s, 1H), 2.67 (q, J=7.6 Hz, 2H), 1.24 (t, J=7.6 Hz, 3H); 13C NMR (126 MHz, CDCl3) δ: 152.86, 152.47, 150.91, 150.25, 146.25, 143.79, 132.63, 129.10, 128.96, 122.96, 121.15, 66.27, 28.63, 15.38; HRMS (ESI) calcd for C16H16N4Cl [M+H] 299.1058, found 299.1051.
2-氯-4-((4-丙基苯基)(1H-1,2,4-三唑-1-基)甲基)吡啶(I-03): 淡黄色油状液体, 收率49%. 1H NMR (500 MHz, CDCl3) δ: 8.34 (d, J=5.2 Hz, 1H), 8.03 (s, 1H), 7.96 (s, 1H), 7.24~7.10 (m, 4H), 6.98 (s, 1H), 6.89 (dd, J=5.2, 1.5 Hz, 1H), 6.64 (s, 1H), 2.59 (t, 2H), 1.69~1.57 (m, 2H), 0.92 (t, J=7.4 Hz, 3H); 13C NMR (126 MHz, CDCl3) δ: 152.80, 152.39, 150.87, 150.19, 144.66, 143.73, 132.60, 129.60, 128.80, 122.91, 121.13, 66.18, 37.69, 24.35, 13.85; HRMS (ESI) calcd for C17H18N4Cl [M+H]313.1215, found 313.1211.
2-氯-4-((4-异丙基苯基)(1H-1,2,4-三唑-1-基)甲基)吡啶(I-04): 白色固体, m.p. 64~65 ℃, 收率47%. 1H NMR (500 MHz, CDCl3) δ: 8.36 (d, J=5.2 Hz, 1H), 8.05 (s, 1H), 7.96 (s, 1H), 7.30~7.25 (m, 2H), 7.17~7.11 (m, 2H), 6.99 (s, 1H), 6.90 (dd, J=5.3, 1.6 Hz, 1H), 6.64 (s, 1H), 2.97~2.88 (m, 1H), 1.25 (d, J=7.0 Hz, 6H); 13C NMR (126 MHz, CDCl3) δ: 152.88, 152.45, 150.91, 150.81, 150.24, 143.78, 132.71, 128.94, 127.68, 122.96, 121.16, 66.24, 33.95, 23.89; HRMS (ESI) calcd for C17H18N4Cl [M+H]313.1215, found 313.1211.
2-氯-4-((4-戊基苯基)(1H-1,2,4-三唑-1-基)甲基)吡啶(I-05): 淡黄色油状液体, 收率59%. 1H NMR (500 MHz, CDCl3) δ: 8.35 (d, J=5.2 Hz, 1H), 8.03 (s, 1H), 7.96 (s, 1H), 7.24~7.10 (m, 4H), 6.98 (s, 1H), 6.89 (dd, J=5.3, 1.6 Hz, 1H), 6.64 (s, 1H), 2.60 (t, J=8.8, 6.8 Hz, 2H), 1.63~1.55 (m, 2H), 1.35~1.24 (m, 4H), 0.87 (t, J=6.8 Hz, 3H); 13C NMR (126 MHz, CDCl3) δ: 152.81, 152.41, 150.88, 150.20, 144.96, 143.74, 132.55, 129.56, 128.83, 122.93, 121.13, 66.20, 35.63, 31.51, 30.96, 22.54, 14.06; HRMS (ESI) calcd for C19H22N4Cl [M+H] 341.1528, found 341.1520.
2-氯-4-((4-叔丁基苯基)(1H-1,2,4-三唑-1-基)甲基)吡啶(I-06): 白色固体, m.p. 72~73 ℃, 收率54%. 1H NMR (500 MHz, CDCl3) δ: 8.35 (d, J=5.2 Hz, 1H), 8.03 (s, 1H), 7.97 (s, 1H), 7.45~7.39 (m, 2H), 7.17~7.12 (m, 2H), 6.99 (s, 1H), 6.90 (dd, J=5.3, 1.7 Hz, 1H), 6.64 (s, 1H), 1.30 (s, 9H); 13C NMR (126 MHz, CDCl3) δ: 153.02, 152.78, 152.37, 150.85, 150.18, 143.75, 132.32, 128.61, 126.49, 122.92, 121.14, 66.09, 34.81, 31.24; HRMS (ESI) calcd for C18H20N4Cl [M+H] 327.1371, found 327.1367.
2-氯-4-((4-叔戊基苯基)(1H-1,2,4-三唑-1-基)甲基)吡啶(I-07): 淡黄色油状液体, 收率52%. 1H NMR (500 MHz, CDCl3) δ: 8.30 (d, J=5.2 Hz, 1H), 7.98 (s, 1H), 7.89 (s, 1H), 7.34~7.26 (m, 2H), 7.11~7.05 (m, 2H), 6.94 (s, 1H), 6.84 (dd, J=5.4, 1.6 Hz, 1H), 6.59 (s, 1H), 1.57 (q, J=7.4 Hz, 2H), 1.21 (s, 6H), 0.60 (t, J=7.5 Hz, 3H); 13C NMR (126 MHz, CDCl3) δ: 152.81, 152.40, 151.56, 150.85, 150.20, 143.76, 132.19, 128.54, 127.16, 122.94, 121.16, 66.13, 38.08, 36.79, 28.33, 9.18; HRMS (ESI) calcd for C19H22N4Cl [M+H]341.1528, found 341.1523.
2-氯-4-((4-氯苯基)(1H-1,2,4-三唑-1-基)甲基)吡啶(I-08): 白色固体, m.p. 124~125 ℃, 收率53%. 1H NMR (500 MHz, CDCl3) δ: 8.39 (d, J=5.2 Hz, 1H), 8.07 (s, 1H), 8.06 (s, 1H), 7.44~7.38 (m, 2H), 7.21~7.15 (m, 2H), 7.01 (s, 1H), 6.92 (dd, J=5.2, 1.6 Hz, 1H), 6.65 (s, 1H); 13C NMR (126 MHz, CDCl3) δ: 153.04, 152.68, 150.47, 150.04, 143.74, 136.04, 134.12, 130.17, 129.85, 123.07, 121.18, 65.60; HRMS (ESI) calcd for C14H11N4Cl2 [M+H]305.0355, found 305.0352.
2-氯-4-((4-氟苯基)(1H-1,2,4-三唑-1-基)甲基)吡啶(I-09): 淡黄色油状液体, 收率44%. 1H NMR (500 MHz, CDCl3) δ: 8.34 (d, J=5.2 Hz, 1H), 8.02 (d, J=4.4 Hz, 2H), 7.26~7.18 (m, 2H), 7.13~7.05 (m, 2H), 6.98 (s, 1H), 6.89 (dd, J=5.3, 1.6 Hz, 1H), 6.66 (s, 1H); 13C NMR (126 MHz, CDCl3) δ: 163.17 (d, J=250.7 Hz), 152.95, 152.48, 150.36, 150.31, 143.69, 131.48 (d, J=3.4 Hz), 130.75 (d, J=8.5 Hz), 122.91, 121.08, 116.59 (d, J=21.8 Hz), 65.42; HRMS (ESI) calcd for C14H11N4ClF [M+H]289.0651, found 289.0647.
2-氯-4-((4-溴苯基)(1H-1,2,4-三唑-1-基)甲基)吡啶(I-10): 白色固体, m.p. 131~132 ℃, 收率46%. 1H NMR (500 MHz, CDCl3) δ: 8.38 (d, J=5.2 Hz, 1H), 8.04 (d, J=10.7 Hz, 2H), 7.59~7.53 (m, 2H), 7.14~7.08 (m, 2H), 7.03~6.99 (m, 1H), 6.91 (dd, J=5.2, 0.9 Hz, 1H), 6.62 (s, 1H); 13C NMR (126 MHz, CDCl3) δ: 153.11, 152.66, 150.46, 149.96, 143.74, 134.66, 132.79, 130.40, 124.18, 123.07, 121.19, 65.62; HRMS (ESI) calcd for C14H11N4ClBr [M+H]348.9850, found 348.9848.
2-氯-4-((4-环己基苯基)(1H-1,2,4-三唑-1-基)甲基)吡啶(I-11): 白色固体, m.p. 59~60 ℃, 收率50%. 1H NMR (500 MHz, CDCl3) δ: 8.40 (d, J=5.2 Hz, 1H), 8.08 (s, 1H), 8.00 (s, 1H), 7.31~7.26 (m, 2H), 7.19~7.13 (m, 2H), 7.02 (s, 1H), 6.93 (dd, J=5.3, 1.6 Hz, 1H), 6.66 (s, 1H), 2.59~2.50 (m, 1H), 1.92~1.85 (m, 4H), 1.81~1.73 (m, 1H), 1.48~1.36 (m, 4H), 1.34~1.22 (m, 1H); 13C NMR (126 MHz, CDCl3) δ: 152.80, 152.49, 150.90, 150.27, 150.07, 143.79, 132.65, 128.93, 128.08, 122.98, 121.18, 66.34, 44.37, 34.38, 26.86, 26.14; HRMS (ESI) calcd for C20H22N4Cl [M+H]353.1528, found 353.1522.
4-([1'-联苯]-4-基(1H-1,2,4-三唑-1-基)甲基)-2-氯吡啶(I-12): 淡黄色油状液体, 收率59%. 1H NMR (500 MHz, CDCl3) δ: 8.38 (d, J=5.1 Hz, 1H), 8.07 (d, J=6.2 Hz, 2H), 7.67~7.61 (m, 2H), 7.60~7.54 (m, 2H), 7.48~7.41 (m, 2H), 7.41~7.34 (m, 1H), 7.33~7.27 (m, 2H), 7.05 (s, 1H), 6.96 (dd, J=5.3, 1.6 Hz, 1H), 6.72 (s, 1H); 13C NMR (126 MHz, CDCl3) δ: 152.91, 152.48, 150.54, 150.30, 143.78, 142.69, 139.76, 134.30, 129.27, 129.02, 128.16, 128.06, 127.19, 123.02, 121.21, 66.02; HRMS (ESI) calcd for C20H16N4Cl [M+H]347.1058, found 347.1054.
2-氯-4-((4-甲氧基苯基)(1H-1,2,4-三唑-1-基)甲基)吡啶(I-13): 白色固体, m.p. 65~66 ℃, 收率61%. 1H NMR (500 MHz, CDCl3) δ: 8.32 (d, J=5.2 Hz, 1H), 8.01 (s, 1H), 7.94 (s, 1H), 7.17~7.10 (m, 2H), 6.94 (s, 1H), 6.93~6.88 (m, 2H), 6.85 (dd, J=5.2, 1.6 Hz, 1H), 6.61 (s, 1H), 3.78 (s, 3H); 13C NMR (126 MHz, CDCl3) δ: 160.47, 152.79, 152.32, 151.07, 150.12, 143.65, 130.29, 127.26, 122.74, 120.97, 114.82, 65.77, 55.42; HRMS (ESI) calcd for C15H14N4ClO [M+H]301.0851, found 301.0844.
2-氯-4-((3,4-二甲基苯基)(1H-1,2,4-三唑-1-基)甲基)吡啶(I-14): 白色固体, m.p. 86~87 ℃, 收率49%. 1H NMR (500 MHz, CDCl3) δ: 8.36 (d, J=5.2 Hz, 1H), 8.04 (s, 1H), 7.95 (s, 1H), 7.17 (d, J=7.8 Hz, 1H), 7.00~6.96 (m, 2H), 6.93 (dd, J=7.8, 2.1 Hz, 1H), 6.88 (dd, J=5.3, 1.6 Hz, 1H), 6.60 (s, 1H), 2.27 (s, 3H), 2.24 (s, 3H); 13C NMR (126 MHz, CDCl3) δ: 152.85, 152.42, 151.03, 150.19, 143.77, 138.67, 138.14, 132.76, 130.73, 130.08, 126.36, 122.92, 121.12, 66.29, 19.95, 19.64; HRMS (ESI) calcd for C16H16N4Cl [M+H]299.1058, found 299.1053.
2-氯-4-((2,4-二甲基苯基)(1H-1,2,4-三唑-1-基)甲基)吡啶(I-15): 白色固体, m.p. 106~107 ℃, 收率45%. 1H NMR (500 MHz, CDCl3) δ: 8.37 (d, J=5.2 Hz, 1H), 8.06 (s, 1H), 7.84 (s, 1H), 7.11 (s, 1H), 7.02 (d, J=7.9 Hz, 1H), 6.90 (s, 1H), 6.87 (s, 1H), 6.81 (dd, J=5.4, 1.6 Hz, 1H), 6.72 (d, J=7.9 Hz, 1H), 2.34 (s, 3H), 2.23 (s, 3H); 13C NMR (126 MHz, CDCl3) δ: 152.82, 152.56, 151.07, 150.27, 143.73, 140.02, 136.94, 132.41, 130.83, 128.85, 127.75, 122.94, 121.16, 63.16, 21.18, 19.16; HRMS (ESI) calcd for C16H16N4Cl [M+H]299.1058, found 299.1053.
2-氯-4-((2,5-二甲基苯基)(1H-1,2,4-三唑-1-基)甲基)吡啶(I-16): 白色固体, m.p. 106~107 ℃, 收率31%. 1H NMR (500 MHz, CDCl3) δ: 8.38 (d, J=5.2 Hz, 1H), 8.06 (s, 1H), 7.84 (s, 1H), 7.19~7.11 (m, 2H), 6.91 (s, 1H), 6.87 (s, 1H), 6.83 (dd, J=5.2, 1.6 Hz, 1H), 6.61 (s, 1H), 2.25 (s, 3H), 2.20 (s, 3H); 13C NMR (126 MHz, CDCl3) δ: 152.82, 152.56, 150.82, 150.28, 143.79, 136.83, 133.86, 133.54, 131.51, 130.62, 129.23, 123.04, 121.28, 63.33, 21.17, 18.78; HRMS (ESI) calcd for C16H16N4Cl [M+H]299.1058, found 299.1052.
4-((4-叔丁基苯基)(1H-1,2,4-三唑-1-基)甲基)-3-氯吡啶(I-17): 白色固体, m.p. 94~95 ℃, 收率55%. 1H NMR (500 MHz, CDCl3) δ: 8.61 (s, 1H), 8.49 (d, J=5.1 Hz, 1H), 8.04 (s, 1H), 7.93 (s, 1H), 7.45~7.39 (m, 2H), 7.14~7.08 (m, 2H), 6.98 (s, 1H), 6.81 (d, J=5.1 Hz, 1H), 1.31 (s, 9H); 13C NMR (126 MHz, CDCl3) δ: 152.92, 152.88, 150.11, 148.43, 144.96, 144.25, 131.19, 130.98, 128.53, 126.45, 123.02, 63.85, 34.86, 31.32; HRMS (ESI) calcd for C18H20N4Cl [M+H]327.1371, found 327.1364.
5-((4-叔丁基苯基)(1H-1,2,4-三唑-1-基)甲基)-2-氯吡啶(I-18): 淡黄色油状液体, 收率38%. 1H NMR (500 MHz, CDCl3) δ: 8.18 (d, J=2.6 Hz, 1H), 8.01 (d, J=6.7 Hz, 2H), 7.43 (dd, J=8.4, 2.6 Hz, 1H), 7.41~7.36 (m, 2H), 7.31 (d, J=8.3 Hz, 1H), 7.11~7.04 (m, 2H), 6.70 (s, 1H), 1.28 (s, 9H); 13C NMR (126 MHz, CDCl3) δ: 152.67, 152.54, 151.59, 149.14, 143.62, 138.35, 133.44, 133.39, 127.91, 126.32, 124.43, 64.61, 34.73, 31.24; HRMS (ESI) calcd for C18H20N4Cl [M+H]327.1371, found 327.1368.
4-((4-叔丁基苯基)(1H-1,2,4-三唑-1-基)甲基)-2-氯-6-甲基吡啶(I-19): 白色固体, m.p. 96~98 ℃, 收率46%. 1H NMR (500 MHz, CDCl3) δ: 8.02 (s, 1H), 7.94 (s, 1H), 7.44~7.38 (m, 2H), 7.15~7.10 (m, 2H), 6.80 (s, 1H), 6.72 (s, 1H), 6.59 (s, 1H), 2.46 (s, 3H), 1.29 (s, 9H); 13C NMR (126 MHz, CDCl3) δ: 160.28, 153.04, 152.78, 151.47, 150.91, 143.75, 132.45, 128.66, 126.53, 120.55, 119.90, 66.28, 34.88, 31.31, 24.40; HRMS (ESI) calcd for C18H20N4Cl [M+H]341.1528, found 341.1518.
3-((4-叔丁基苯基)(1H-1,2,4-三唑-1-基)甲基)-2-氯吡啶(I-20): 淡黄色油状液体, 收率46%. 1H NMR (500 MHz, CDCl3) δ: 8.37 (dd, J=4.7, 2.0 Hz, 1H), 8.00 (d, J=12.7 Hz, 2H), 7.42~7.36 (m, 2H), 7.34~7.29 (m, 1H), 7.25~7.21 (m, 1H), 7.09~7.03 (m, 2H), 7.02 (s, 1H), 1.29 (s, 9H); 13C NMR (126 MHz, CDCl3) δ: 152.70, 152.46, 150.46, 149.52, 144.16, 138.26, 133.22, 132.32, 128.07, 126.26, 122.86, 63.95, 34.75, 31.28; HRMS (ESI) calcd for C18H20N4Cl [M+H]327.1371, found 327.1366.
1-((4-叔丁基苯基)(3-氯苯基)甲基)-1H-1,2,4-三唑(I-21): 白色固体, m.p. 76~77 ℃, 收率52%. 1H NMR (500 MHz, CDCl3) δ: 8.03 (s, 1H), 7.95 (s, 1H), 7.43~7.38 (m, 2H), 7.35~7.28 (m, 2H), 7.13~7.06 (m, 3H), 7.02~6.96 (m, 1H), 6.69 (s, 1H), 1.31 (s, 9H); 13C NMR (126 MHz, CDCl3) δ: 152.46, 152.25, 143.65, 140.45, 135.02, 134.07, 130.24, 128.78, 128.20, 128.12, 126.21, 126.10, 67.17, 34.78, 31.34; HRMS (ESI) calcd for C19H21N3Cl [M+H]326.1419, found 326.1415.
4-((1H-咪唑-1-基)(对甲苯基)甲基)-2-氯吡啶(I-22): 白色固体, m.p. 67~68 ℃, 收率53%. 1H NMR (500 MHz, CDCl3) δ: 8.37 (d, J=5.2 Hz, 1H), 7.46 (s, 1H), 7.21 (d, J=7.9 Hz, 2H), 7.14 (s, 1H), 7.05~7.00 (m, 2H), 6.97 (s, 1H), 6.88 (dd, J=5.1, 1.6 Hz, 1H), 6.83 (s, 1H), 6.44 (s, 1H), 2.37 (s, 3H); 13C NMR (126 MHz, CDCl3) δ: 152.65, 152.02, 150.37, 139.67, 137.22, 133.53, 130.19, 130.04, 128.64, 122.93, 121.13, 119.07, 63.59, 21.28; HRMS (ESI) calcd for C16H15N3Cl [M+H]284.0949, found 284.0943.
4-((4-叔丁基苯基)(1H-咪唑-1-基)甲基)-2-氯吡啶(I-23): 白色固体, m.p. 84~85 ℃, 收率67%. 1H NMR (500 MHz, CDCl3) δ: 8.37 (d, J=5.1 Hz, 1H), 7.46 (s, 1H), 7.45~7.38 (m, 2H), 7.14 (s, 1H), 7.10~7.03 (m, 2H), 7.02~6.97 (m, 1H), 6.92~6.87 (m, 1H), 6.84 (t, J=1.4 Hz, 1H), 6.45 (s, 1H), 1.32 (s, 9H); 13C NMR (126 MHz, CDCl3) δ: 152.81, 152.63, 152.00, 150.37, 137.25, 133.40, 129.99, 128.44, 126.45, 122.95, 121.16, 119.12, 63.55, 34.86, 31.33; HRMS (ESI) calcd for C19H21N3Cl [M+H]326.1419, found 326.1418.
2-氯-4-((2,5-二甲基苯基)(1H-咪唑-1-基)甲基)吡啶(I-24): 白色固体, m.p. 149~150 ℃, 收率36%. 1H NMR (500 MHz, CDCl3) δ: 8.38 (d, J=5.2 Hz, 1H), 7.37 (s, 1H), 7.16~7.09 (m, 3H), 6.93 (s, 1H), 6.84 (dd, J=5.2, 1.6 Hz, 1H), 6.78 (s, 1H), 6.61 (s, 1H), 6.50 (s, 1H), 2.23 (s, 3H), 2.18 (s, 3H); 13C NMR (126 MHz, CDCl3) δ: 152.67, 152.06, 150.36, 137.35, 136.63, 134.69, 133.82, 131.38, 130.22, 130.04, 123.01, 121.29, 119.28, 60.61, 21.18, 18.71; HRMS (ESI) calcd for C17H17N3Cl [M+H]298.1106, found 298.1103.

3.3 杀菌活性测定

用万分之一天平称取目标化合物I、对照药剂联苯苄唑各50 mg, 溶于2 mL二甲亚砜(DMSO)中, 配制成25 g/L的母液备用.
采用菌丝生长速率法测定目标化合物对10种植物病原菌的杀菌活性[37], 10种植物病原菌分别为Rhizoctonia solani: 棉花立枯病菌; Sclerotinia sclerotiorum: 油菜菌核病菌; Phytophthora capsici: 辣椒疫霉病菌; Colletotrichum gloeosporioides: 葡萄炭疽病菌; Fusarium oxysporium: 棉花枯萎病菌; Fusarium graminearum: 小麦赤霉病菌; Fusarium fujikuroi: 水稻恶苗病菌; Pythium aphanidermatum: 瓜果腐霉病菌; Botrytis cinerea: 番茄灰霉病菌; Piricularia oryzae: 稻瘟病菌. 采用马铃薯葡萄糖琼脂培养基(PDA: 马铃薯200 g/L, 葡萄糖20 g/L, 琼脂15 g/L, 蒸馏水定容至1 L), 用打孔器将活化的病原菌打成 5 mm的菌饼接种于含药的PDA培养基的中间, 将接种的平板置于25 ℃的恒温培养箱中, 黑暗条件下培养.
结果调查: 用十字交叉法测量菌落直径(cm), 用Excel 2016通过以下公式计算杀菌活性.
菌丝生长抑制率(%)=(空白对照菌落直径-药剂
处理菌落直径)/(空白对照菌落直径-0.5)×100%
目标化合物EC50值使用IBM SPSS statistics 25软件计算.

3.4 同源建模和分子对接研究

为了解目标化合物与14α-去甲基酶活性位点的结合相互作用, 使用SYBYL-X2.0软件进行了分子对接[24,38].
首先, 小麦赤霉病菌的甾醇14α-去甲基酶基因主序列(B9UZE4)与烟曲霉(PDB编号: 4YUL, 分辨率为0.28 nm)的同源性超过60.04%. 因此, 以4YUL为模板, 使用SWISS-MODEL网站(https://swissmodel.expasy.org/interactive)对小麦赤霉病菌的CYP51蛋白进行同源建模, VNI配体的结合位点被选为对接区域. 在进行对接计算之前, 去除蛋白晶体中的所有其它小分子, 如一些配体(VNI配体除外)和水分子, 最后加氢. 配体化合物化学结构的坐标选自SYBYL-X 2.0优化后的分子结构, 优化采用Minimize分子力学程序, 选用共轭梯度的方法, Tripos力场, 分子荷载Gasteiger-Hückel电荷.
辅助材料(Supporting Information) 化合物I-01~I-241H NMR、13C NMR和HRMR谱图. 这些材料可以免费从本刊网站(http://sioc-journal.cn/)上下载.
(Cheng, F.)
[1]
Song H.; Wang S.; Cai Q.; Chen J. J. Heterocycl. Chem. 2024, 61, 365.

DOI

[2]
Howard K. C.; Dennis E. K.; Watt D. S.; Garneau-Tsodikova S. Chem. Soc. Rev. 2020, 49, 2426.

DOI

[3]
Sobel J. D.; Nyirjesy P. Future Microbiol. 2021, 16, 1453.

DOI PMID

[4]
Li C.; Liu C. Environ. Pollut. 2022, 307, 119553.

DOI

[5]
Li S.; Sun Q.; Wu Q.; Gui W.; Zhu G.; Daniel S. Environ. Pollut. 2019, 249, 1049.

DOI

[6]
Vinggaard A. M.; Hass U.; Dalgaard M.; Andersen H. R.; Bonefeld-JØRgensen E. V. A.; Christiansen S.; Laier P.; Poulsen M. E. Int. J. Androl. 2006, 29, 186.

PMID

[7]
Dufourc E. J. J. Chem. Biol. 2008, 1, 63.

DOI PMID

[8]
Lepesheva G. I.; Waterman M. R. Biochim. Biophys. Acta, Proteins Proteomics 2011, 1814, 88.

DOI PMID

[9]
Ragsdale N. N.; Sisler H. D. Pestic. Biochem. Physiol. 1973, 3, 20.

DOI

[10]
Lepesheva G. I.; Hargrove T. Y.; Anderson S.; Kleshchenko Y.; Furtak V.; Wawrzak Z.; Villalta F.; Waterman M. R. J. Biol. Chem. 2010, 285, 25582.

DOI PMID

[11]
Lepesheva G. I.; Waterman M. R. Biochim. Biophys. Acta, Gen. Subj. 2007, 1770, 467.

DOI PMID

[12]
Yan Y.; Bao A.; Wang Y.; Xie X.; Wang D.; Deng Z.; Wang X.; Cheng W.; Li W.; Zhang X.; Tang X. J. Agric. Food Chem. 2024, 72, 9424.

[13]
Zhang R.; Wang Y.; Wu A.; Wang J.; Zhang J. Eur. J. Med. Chem. 2023, 259, 115658.

DOI

[14]
Köller W.; Wubben J. P. Pestic. Sci. 1989, 26, 133.

DOI

[15]
Zakharychev V. V.; Martsynkevich A. M. Adv. Agrochem 2025, 4, 30.

DOI

[16]
Monk B. C.; Sagatova A. A.; Hosseini P.; Ruma Y. N.; Wilson R. K.; Keniya M. V. Biochim. Biophys. Acta, Proteins Proteomics 2020, 1868, 140206.

[17]
Sánchez-Torres P.; Tuset J. J. Postharvest Biol. Technol. 2011, 59, 159.

DOI

[18]
Zhou Y.; Yu J.; Pan X.; Yu M.; Du Y.; Qi Z.; Zhang R.; Song T.; Yin X.; Liu Y. Pestic. Biochem. Physiol. 2019, 153, 144.

DOI

[19]
Bolton M. D.; Ebert M. K.; Faino L.; Rivera-Varas V.; de Jonge R.; Van de Peer Y.; Thomma B. P. H. J.; Secor G. A. Fungal Genet. Biol. 2016, 92, 1.

DOI

[20]
Yan Y.; Xie X.; Jiang W.; Bao A.; Deng Z.; Wang D.; Wang J.; Li W.; Tang X. J. Agric. Food Chem. 2024, 72, 12260.

DOI

[21]
Liu Y.; Ma T.; Dong Y.; Mao C.; Wu J.; Zhang C. Pestic. Biochem. Physiol. 2022, 186, 105169.

DOI

[22]
Xie X.; Wang J.; Bao A.; Deng Z.; Wang D.; Chen W.; Jiang W.; Li W.; Tang X.; Yan Y. Pest Manage. Sci. 2025, 81, 1953.

DOI

[23]
Wang D.; Zhang T.; Deng Z.; Xie X.; Bao A.; Chen W.; Li W.; Li S.; Tang X.; Yan Y. J. Agric. Food Chem. 2025, 73, 2332.

DOI

[24]
Bao A.; Jiang W.; Xie X.; Wang D.; Deng Z.; Wang J.; Li W.; Tang X.; Yan Y. J. Med. Chem. 2024, 67, 7954.

DOI

[25]
Wang J.; Shi H.; Lu A. J. Fungi 2024, 10, 160.

DOI

[26]
Lackner T. E.; Clissold S. P. Drugs 1989, 38, 204.

PMID

[27]
Faergemann J. Mycoses 1989, 32, 309.

PMID

[28]
Berg D.; Plempel M. Dermatologica 2009, 169, 3.

[29]
Che C.; Yang D.; Wan C.; Wang J.; Liu X.; Zhao F.; Qin Z. Chin. J. Pestic. Sci. 2017, 19, 533 (in Chinese).

(车传亮, 杨冬燕, 万川, 王家尧, 刘雪莲, 赵峰海, 覃兆海, 农药学学报, 2017, 19, 533.)

[30]
Mu C.; Yuan H.; Li N.; Fu B.; Xiao Y.; Ma Y.; Qi S.; Qin Z. Chem. J. Chin. Univ. 2007, 1902 (in Chinese).

(慕长炜, 袁会珠, 李楠, 傅滨, 肖玉梅, 马永强, 齐淑华, 覃兆海, 高等学校化学学报, 2007, 1902.)

[31]
Yan X.; Qin W.; Sun L.; Qi S.; Yang D.; Qin Z.; Yuan H. J. Agric. Food Chem. 2010, 58, 2720.

DOI

[32]
Xiao Y.; Yang X.; Li B.; Yuan H.; Wan S.; Xu Y.; Qin Z. Molecules 2011, 16, 8945.

DOI

[33]
Xiang L.; Zhang L.; Wu Q.; Xu Z.; Li J.; Du X.; Qin Z. Pest Manage. Sci. 2020, 76, 2058.

DOI

[34]
Bevan T. W.; Francis-Taylor J.; Wong H.; Northcote P. T.; Harvey J. E. Tetrahedron 2018, 74, 2942.

DOI

[35]
Srivastava P.; Razi S. S.; Ali R.; Gupta R. C.; Yadav S. S.; Narayan G.; Misra A. Anal. Chem. 2014, 86, 8693.

DOI PMID

[36]
Delcaillau T.; Boehm P.; Morandi B. J. Am. Chem. Soc. 2021, 143, 3723.

DOI PMID

[37]
Sun J. L.; Mu W. Pesticide Science Experimental Techniques and Guidance, Chemical Industry Press, Beijing, 2009 (in Chinese).

(孙家隆, 慕卫, 农药实验技术与指导, 化学工业出版社, 北京, 2009.)

[38]
Trott O.; Olson A. J. J. Comput. Chem. 2010, 31, 455.

DOI PMID

Outlines

/