研究论文

用于织物显示器件的高性能银纳米线/热塑性聚氨酯透明导电纤维

  • 陆宇韬 ,
  • 郑园园 ,
  • 张一弛 ,
  • 周子豪 ,
  • 吴景霞 , * ,
  • 彭慧胜 ,
  • 陈培宁 , *
展开
  • 复旦大学高分子科学系 聚合物分子工程全国重点实验室 纤维电子材料与器件研究院 先进材料实验室 上海 200438

“中国青年化学家”专辑.

收稿日期: 2025-06-17

  网络出版日期: 2025-08-25

基金资助

国家重点研发计划(2022YFA1203001)

国家重点研发计划(2022YFA1203002)

国家自然科学基金(T2222005)

国家自然科学基金(22175042)

国家自然科学基金(T2321003)

国家自然科学基金(52403318)

上海市自然科学基金(21511104900)

High-Performance TPU@AgNWs Transparent Conductive Fiber for Textile Displays

  • Yutao Lu ,
  • Yuanyuan Zheng ,
  • Yichi Zhang ,
  • Zihao Zhou ,
  • Jingxia Wu , * ,
  • Huisheng Peng ,
  • Peining Chen , *
Expand
  • State Key Laboratory of Molecular Engineering of Polymers, Institute of Fiber Materials and Devices, and Laboratory of Advanced Materials, Department of Macromolecular Science, Fudan University, Shanghai 200438

For the VSI “Rising Stars in Chemistry”.

Received date: 2025-06-17

  Online published: 2025-08-25

Supported by

National Key Research and Development Program(2022YFA1203001)

National Key Research and Development Program(2022YFA1203002)

National Natural Science Foundation of China(T2222005)

National Natural Science Foundation of China(22175042)

National Natural Science Foundation of China(T2321003)

National Natural Science Foundation of China(52403318)

Natural Science Foundation of Shanghai(21511104900)

摘要

透明导电纤维是构建织物显示器件的核心组成部分, 目前其主要通过在高分子基体中掺杂导电的离子液体进行制备, 但其导电性较低, 难以有效满足应用需求. 将银纳米线涂覆在空气等离子体处理后的热塑性聚氨酯纤维表面, 得到了一种具有高导电性和高透明性的柔性透明导电纤维. 在等离子体处理后, 聚氨酯纤维表面接枝了大量亲水基团, 并与银纳米线表面所包覆的聚乙烯吡咯烷酮形成氢键作用, 促进银纳米线膜层牢固地粘附于聚氨酯纤维表面. 该透明导电纤维的电导率可达到10 S•cm-1, 较基于离子液体/聚氨酯的导电纤维提高1000倍, 其透光率超过75%, 在空气中放置14 d及弯折10万次后, 电导率仍能维持初始值的90%以上. 将该透明导电纤维编织构建成织物显示器件, 其发光亮度可达208 cd•m-2, 且具有良好的耐水洗和耐摩擦性能.

本文引用格式

陆宇韬 , 郑园园 , 张一弛 , 周子豪 , 吴景霞 , 彭慧胜 , 陈培宁 . 用于织物显示器件的高性能银纳米线/热塑性聚氨酯透明导电纤维[J]. 化学学报, 2025 , 83(10) : 1142 -1149 . DOI: 10.6023/A25060227

Abstract

Transparent conductive fiber is an indispensable part of textile displays. The predominant strategy for fabricating transparent conductive fiber involves doping ionic liquid into polymer matrix. However, low conductivity of ionic liquid renders the fiber inadequate for practical application. Herein, we developed a flexible transparent conductive fiber exhibiting high conductivity, and high transparency by coating Ag nanowires (AgNWs) onto thermoplastic polyurethane (TPU) fibers treated with air plasma. The specific synthesis processes are as follows: TPU fiber was cleaned in an ultrasonic bath using ethanol and deionized water respectively for 5 min each. The cleaned TPU fiber was treated by air plasma at 150 W for 3 min. The obtained fiber was then dip-coated in 2 mg•mL-1 AgNWs ethanol dispersion for 1 min and dried in air for 5 min. After repeating 3 times of dip-coating process, the TPU@AgNWs transparent conductive fiber was prepared. The hydrophobicity of TPU impedes uniform adhesion and morphological stability of directly applied hydrophilic AgNWs conductive coatings on TPU fibers. Following plasma treatment, abundant hydrophilic groups are uniformly introduced onto TPU fiber surface. Water contact angle diminishes with the extended time of plasma treatment, verifies the hydrophilicity improvement of TPU fiber. X-ray photoelectron spectroscopy (XPS) reveals increasing C—O/C—N and N—O bond contributions derived of hydrophilic groups. These groups form hydrogen bonds with the polyvinyl pyrrolidone (PVP) coating on the AgNWs, resulting in a strong and uniform adhesion of the AgNWs layer to the TPU fiber substrate. The transparent conductive fiber achieves a conductivity of 10 S•cm⁻¹, which is 1000 times of the TPU@ionic liquid fiber, combined with a transparency exceeding 75%. After 14 d of ambient storage and 100,000 bending cycles, it retains over 90% of its initial conductivity. The as-prepared TPU@AgNWs transparent conductive fibers were weaved into a textile with luminescent fiber electrodes (a copper fiber successively coated BaTiO3 dielectric layer, ZnS phosphor layer and polyurethane encapsulation layer) by an industrial rapier loom to prepare a textile display. The TPU@AgNWs transparent conductive fibers enable display luminance reaching 208 cd•m-2, along with excellent washability and abrasion resistance.

1 引言

近年来, 织物电子器件兼具织物特性和电子器件功能, 被认为是可穿戴设备重要的发展方向[1-3]. 其中, 具有显示功能的织物电子器件为人机交互提供了一种全新方式[4-5]. 其主要通过具有弹性的透明导电纤维和负载有硫化锌发光活性材料的发光导电纤维编织而成[6]. 在透明导电纤维和发光纤维电极之间施加交流电压, 二者的交织点形成发光像素单元, 通过驱动程序控制即可实现动态图案显示. 该织物像衣物一样轻薄、透气、可折叠、可卷曲、可穿戴、可贴合在各类不规则基底上, 从而满足更多更复杂场景下的显示需求. 在此类织物显示器件中, 透明导电纤维的导电性、透明性以及柔性直接决定了织物器件的性能. 其中, 高导电性能够减少电场传递时的损耗, 降低织物显示器件的驱动电压以及能耗. 而导电纤维的高透明性使发光纤维电极发出的光在透过透明导电纤维时能够减少亮度损失. 高柔性使透明导电纤维在织物中与发光纤维电极形成接触良好的弹性界面, 尤其在扭转或弯曲等复杂形变时保持织物器件的发光均匀性和稳定性. 如何制备出兼具高电导率、高透光率和高稳定性的透明导电纤维, 是实现高性能织物显示器件的一个瓶颈难题.
在透明薄膜电极中常用的导电材料包括离子液体[7-8]、透明导电氧化物(TCOs)[9-10]和聚(3,4-乙烯二氧噻吩)(PEDOT)[11-12]等. 离子液体具有高透光率(>90%), 制备的导电膜材料具有良好的柔性, 但是其电导率与电子导体相比较低(<10-2 S•cm−1), 所制备的电子器件在通电时沿离子液体长度方向的电压降明显, 无法应用于大尺寸的显示器件[13]. PEDOT具有高透光率(>85%)和高电导率(≈102 S•cm−1), 且成膜性好, 易于加工[14], 但PEDOT自身的蓝灰色会影响电极的透明性[15]. 以氧化铟锡(ITO)为代表的透明导电氧化物制备的导电薄膜具有良好的透光率(>80%)和电导率(>104 S•cm−1), 但是由于铟资源稀缺导致材料成本高, 且材料质脆易碎, 难以应用于一维纤维材料[16]. 银纳米线(AgNWs)具有低电阻、良好的光学透明性和高机械柔韧性, 已经被广泛用于各种透明薄膜电极的制备中[17], 成为制备透明导电纤维的理想材料, 在柔性电子器件领域展现出巨大的应用潜力[18-20].
本工作以热塑性聚氨酯(TPU)纤维作为高分子基底, AgNWs作为导电涂层, 开发了一种具有高导电性、高透明性和高柔性的银纳米线/聚氨酯透明导电纤维(TPU@AgNWs TCF). 首先将TPU纤维进行空气等离子体处理, 在TPU纤维表面接枝羟基和羧基等亲水基团, 提高材料表面的亲水性能. 然后将聚乙烯吡咯烷酮(PVP)包裹的AgNWs乙醇分散液涂覆在TPU纤维上, 制备得到TPU@AgNWs TCF. TPU@AgNWs TCF的电导率可达到20 S•cm-1, 较基于离子液体/聚氨酯的导电纤维提高1000倍[21], 透光率达到75%以上. 由于PVP与含有亲水基团的TPU纤维之间形成了大量氢键, 有效增加了导电涂层的牢固性, 所制备的透明导电纤维具有良好的弯折稳定性和环境稳定性. 进一步将TPU@AgNWs TCF作为透明导电纤维编织到织物显示器件中, 经测试, 器件发光亮度达到208 cd•m-2, 并且在100000次摩擦和10次工业水洗后发光亮度仍然能够保持在90%, 体现了良好的发光稳定性.

2 结果与讨论

2.1 空气等离子体改性后的TPU纤维表征

TPU分子中含有大量的烷烃链, 因此TPU材料表现出较强的疏水性, 在TPU纤维上直接涂覆AgNWs难以实现导电涂层均匀稳定负载. 本研究使用空气等离子体对TPU纤维进行处理, 在纤维材料表面接枝亲水基团, 如羟基、羧基和胺基等, 提高材料的亲水性能. 此外, 本研究使用了多元醇法制备的AgNWs乙醇分散液作为导电材料. 在该制备方法中, PVP作为导向剂, 起到调节AgNWs的尺寸和阻止AgNWs团聚等作用. 这种亲水分子会在AgNWs表面形成PVP薄层, 使得AgNWs呈现较好的亲水性. 将亲水性的AgNWs涂覆在亲水改性的TPU纤维上后, 纤维表面的羟基和羧基等亲水基团能够与PVP形成氢键, 增加AgNWs与TPU纤维表面的结合力(图1).
图1 TPU@AgNWs TCF制备流程示意图: (a)空气等离子体处理的TPU纤维; (b)表面被PVP包覆的AgNWs; (c)浸涂AgNWs后的TPU纤维

Figure 1 Schematic diagram of TPU@AgNWs TCF preparation: (a) TPU fiber treated by air plasma; (b) Ag nanowires covered by PVP; (c) TPU fiber coating with Ag nanowires

为了研究等离子体处理时间对TPU材料亲水性能的影响规律, 我们将TPU制备成薄膜, 分别测试了在等离子体处理前以及处理1、2、3、4、5 min后水在TPU薄膜上的静态接触角. 实验结果表明, 等离子体处理前, TPU膜的水接触角为113°, 体现出疏水性(图2a). 等离子体处理后, TPU水接触角均小于90°, 亲水性得到明显提高. 其中, 在处理1和2 min后, TPU材料的水接触角分别下降到89°和63°(图2b, 2c). 随着处理时间增加, 水接触角趋于平稳(3 min时61°; 4 min时60°)(图2d, 2e), 这可能是因为在等离子体处理2 min后, TPU材料表面的亲水基团已经趋于饱和. 而在处理5 min后, 水接触角减小到51°(图2f). 水接触角的减小可能是因为TPU表面粗糙度在等离子体刻蚀后变大, 导致水接触角进一步变小[22]. 总体来说, 等离子体处理能够在TPU材料表面有效接枝大量亲水基团, 明显改善TPU材料的表面亲水性能.
图2 (a)未处理的TPU薄膜以及等离子体处理(b) 1 min, (c) 2 min, (d) 3 min, (e) 4 min和(f) 5 min的TPU薄膜水接触角的变化

Figure 2 Variations of the contact angle of (a) the untreated TPU film and TPU film treated by air plasma for (b) 1 min, (c) 2 min, (d) 3 min, (e) 4 min, (f) 5 min

为了进一步研究等离子体处理在TPU材料表面引入的基团种类并验证水接触角变化的原因, 我们对等离子体处理前以及处理1、2、5 min后的样品进行了X射线光电子能谱(XPS)的扫描. 图3展现了各样品的光谱图像, 表1包含了样品中各基团依据峰面积的相对组成比例. 在C 1s精细谱中, 处于284.8、286.5和289.0 eV处的峰分别对应C—C键、C—O/C—N键和O—C=O键[23]. 在N 1s精细谱中, 等离子体处理前的TPU样品只有位于399.8 eV的峰, 对应TPU结构中的酰胺键. 等离子体处理后, 样品的N 1s精细谱中新增了位于401.5 eV处的峰, 说明等离子体处理过程中引入了N—O键[24]. TPU材料在O 1s精细谱中有两个峰, 其中532.1 eV处的峰对应羰基氧和羟基氧, 533.5 eV处的峰对应酯基氧, 而在等离子体处理后新增的位于532.6 eV的峰对应引入的N—O键[25].
图3 等离子体(a)处理前, (b)处理1 min, (c)处理2 min及(d)处理5 min的TPU薄膜的XPS谱图

Figure 3 XPS spectra of (a) untreated TPU film, and TPU film treated with plasma for (b) 1 min, (c) 2 min and (d) 5 min

表1 未处理的TPU和等离子体处理1, 2, 5 min后的TPU各基团依据峰面积的相对组成比例

Table 1 Relative composition ratio based on the area of each peak for the untreated TPU and TPU treated by plasma for 1, 2, 5 min

C 1s N 1s O 1s
C=O C—O/C—N C—C/C—H N—COO N—O C—O C=O/C—OH N—O
Untreated TPU 9.03% 14.43% 76.54% 100% 35.83% 64.17%
1 min 8.02% 18.52% 73.46% 58.29% 41.71% 24.02% 70.91% 5.07%
2 min 7.23% 28.98% 63.79% 39.63% 60.37% 69.57% 23.05% 7.38%
5 min 6.61% 26.83% 66.55% 34.27% 65.73% 73.30% 18.10% 8.60%
在等离子体处理1 min和2 min后, C 1s精细谱中的C—O/C—N键的比例显著提高, 证明在等离子体处理中有O元素和N元素的引入. 同时, N 1s精细谱中的 N—O键含量和O 1s精细谱中的C=O、C—OH和N—O键含量明显增多, 说明在等离子体处理2 min后, TPU材料表面成功接枝了羧基、羟基和羟胺基(图3). 羟基和羧基由于氧的强吸电子作用, 与羟基氧和羧基氧相连的氢原子更容易形成氢键. 以上几种亲水基团的增加能够有效提高TPU材料的亲水性.
将等离子体处理5 min后的样品的XPS结果与等离子体处理2 min后的样品结果进行对比, C 1s、N 1s和O 1s精细谱都没有明显的差别, 说明样品中各化学键的含量与等离子体处理2 min时的样品相比基本不变(图3). 这说明在等离子体处理2 min后, TPU材料表面接枝的亲水基团达到饱和. 进一步增加等离子体处理时间(2、3、4 min), TPU材料表面的亲水基团数量没有明显增加, 导致水接触角没有明显变化. 而在等离子体处理5 min后, 在各亲水基团含量保持稳定的情况下水接触角下降, 说明TPU材料亲水性的提升并非因为亲水基团的增加, 而是TPU材料表面发生等离子体刻蚀作用, 增加了表面粗糙度, 从而提高了亲水性能[26]. 根据以上测试结果, 我们选择对TPU材料进行2 min的空气等离子体处理作为后续实验条件.

2.2 TPU@AgNWs TCF的表征

采用浸涂法将AgNWs涂覆在空气等离子体处理2 min后的TPU纤维表面, 得到透明导电纤维(TPU@AgNWs TCF). TPU@AgNWs TCF具有良好的柔性, 能够缠绕在玻璃棒上, 并具有很好的透明性(图4a). 从图4b中可以看出, 在空气等离子体处理以及浸涂AgNWs后, 纤维直径约为350 μm, 纤维的表面保持均匀平整, AgNWs没有明显的团聚现象, 说明TPU纤维在空气等离子体处理后表面含有大量亲水基团, 确保AgNWs在浸涂过程中能够均匀沉积在TPU纤维表面.
图4 TPU@AgNWs TCF的(a)数码照片和(b)显微镜照片

Figure 4 (a) Photograph and (b) microscope image of TPU@AgNWs TCF

我们进一步研究了浸涂次数对TPU@AgNWs TCF直径、导电性和透明性的影响. 随着浸涂次数增加, TPU@AgNWs TCF的直径保持稳定(图5a), 导电性逐渐增加, 而透明性不断下降. 根据以下公式计算其电导率:
$\sigma=\frac{l}{R A}$
图5 不同AgNWs浸涂次数的TPU@AgNWs TCF的(a)直径、(b)电导率和(c)透光率变化曲线

Figure 5 Variation of (a) diameter, (b) conductivity and (c) transparency of TPU@AgNWs TCF after varied dip-coating times of AgNWs dispersion

其中, σ为电导率, l为纤维长度, R为该长度纤维的电阻, A为纤维的截面积. 浸涂1次时, AgNWs在TPU表面的沉积量较少, 不足以构建导电通路. 逐渐增加浸涂次数, TPU纤维表面沉积的AgNWs数量不断增加, 形成AgNWs导电网络. 导电网络的搭接点数量随着AgNWs的不断沉积变得密集, 使得TPU@AgNWs TCF的电阻下降. 在浸涂5次后, TPU@AgNWs TCF的电导率可达到20 S•cm-1(图5b). 然而, 随着AgNWs数量不断增加, AgNWs导电网络密度也随之提升, 导致纤维的透光率从最初TPU纤维的90%下降到浸涂5次后的70%(图5c). 电导率的上升和透光率的下降对于织物显示器件的亮度贡献是矛盾的, 因此, 我们选择将TPU纤维浸涂3次AgNWs乙醇分散液制备得到TPU@AgNWs TCF, 其透光率达到75%, 电导率在10 S•cm-1. 我们还测试了对TPU纤维进行不同等离子体处理时间后, 在2 mg•mL-1的AgNWs乙醇分散液中浸涂3次后的TPU@AgNWs TCF电阻变化. 结果显示, 处理0~2 min的TPU@AgNWs TCF电导率不断上升. 随着处理时间的延长, TPU@AgNWs TCF的电导率维持不变, 印证了2.1节中水接触角和XPS测试的结论.
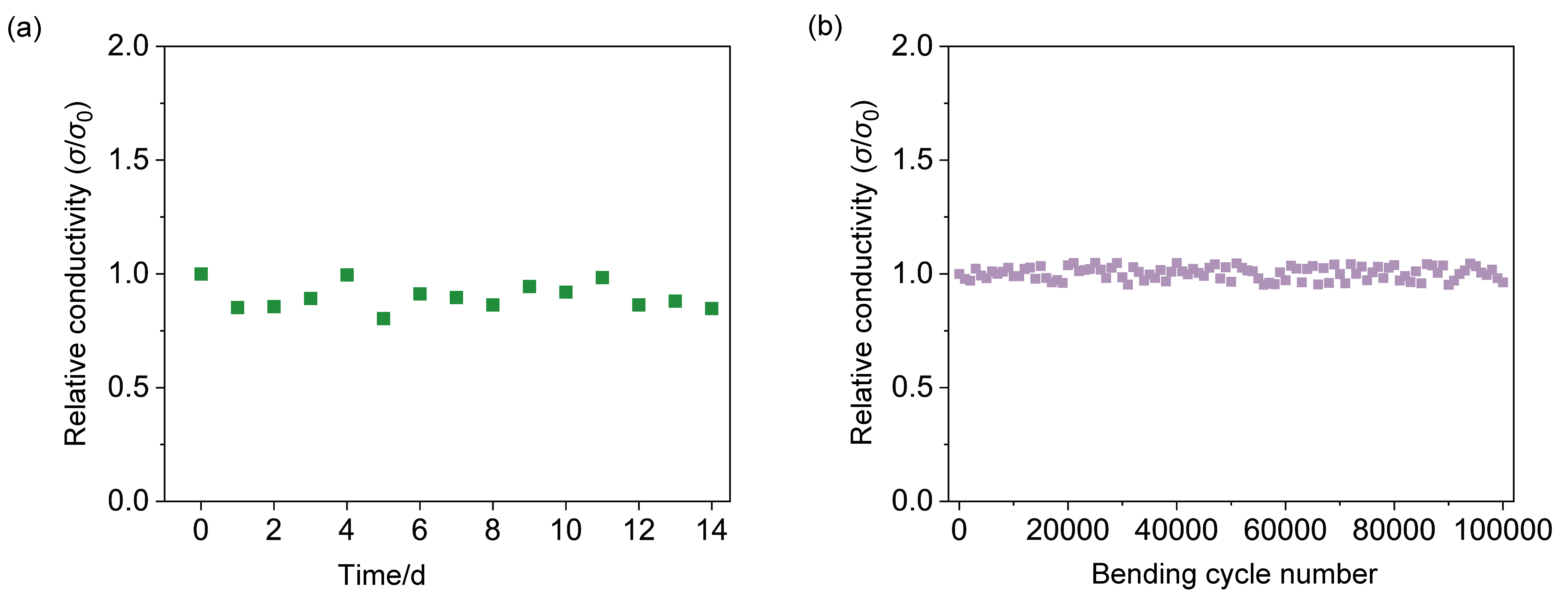
由于透明导电纤维在应用过程中会长期暴露在空气中, 因此TPU@AgNWs TCF在空气中的存放稳定性对于织物显示器件的长期使用稳定性至关重要. 将TPU@AgNWs TCF在空气中放置14 d后, 测试发现材料电导率变化小于10%(图6a). 这与AgNWs自身的电导率衰减相符[27], 说明TPU@AgNWs TCF的制备过程不会加速AgNWs氧化的化学过程. AgNWs膜层的粘附稳定性是保持TPU@AgNWs TCF电导率的关键性能. 我们进一步对TPU@AgNWs TCF进行弯折测试, 结果显示, 在100000次弯折后, 纤维电导率变化小于5%(图6b). 证明AgNWs能够通过氢键作用与TPU纤维牢固粘附, 弯折形变过程中依然可以形成稳定的导电网络.
图6 TPU@AgNWs TCF在(a)在空气中放置14 d和(b)弯折10万次后的电导率变化曲线

Figure 6 Variation of conductivity of TPU@AgNWs TCF after (a) exposing to air for 14 d and (b) bending for 100,000 times

2.3 TPU@AgNWs TCF在织物显示器件中的应用

鉴于TPU@AgNWs TCF良好的导电性、透明性和柔性, 同时在空气中具有较好的导电稳定性, 我们将TPU@AgNWs TCF应用于织物显示器件中. 该织物显示器件通过机织方法以平纹组织将透明导电纤维和发光纤维电极分别作为纬线和经线, 穿插棉纱线进行编织. 透明导电纤维和发光纤维电极在织物中形成多个交织点[6](图7a). 其中, 发光纤维电极是在铜丝上依次涂覆钛酸钡介电层、硫化锌发光粉末发光层和聚氨酯封装层得到. 在每个交织点中, 发光层处于透明导电纤维和发光纤维电极之间. 在电极间施加交流电压后硫化锌发光粉受到电场激发即可实现发光[28]. 以TPU@AgNWs TCF为电极制备的织物显示器件的发光像素单元具有较高的亮度和均匀性(图7b).
图7 (a)织物显示器件的结构示意图及(b)施加交流电压后织物显示器件的数码照片

Figure 7 (a) Schematic diagram of the structure of electroluminescent textile and (b) photograph of electroluminescent textile when the alternating voltage is applied

随后, 我们研究了不同驱动电压和频率下器件的发光亮度变化规律. 随着交流电场电压或频率的上升, 发光亮度不断提高. 测试发现在300 Vpp, 30 kHz的交流电场下, 发光亮度最高达到208 cd•m-2(图8a). 根据Fisher提出的双极场发射模型, 以常用的硫化锌发光粉末(ZnS: Cu, Cl)为例, 掺杂的Cu和Cl分别作为受体和给体提供空穴和电荷, 通过嵌在ZnS晶格中的Cu2-xS针状体尖端的隧穿效应注入ZnS晶格中[29]. 在交流电场方向不断交替过程中, 电子和空穴持续地分离与结合, 实现发光效果. 随着交流电场的电压和频率的提升, 电子和空穴分离与结合的数量与频率增加, 导致发光亮度提高. 一般来说, 提高电极导电性会使ZnS发光器件中常见的信号串扰问题更严重. 但使用高电导率的电极能够有效降低驱动电压, 从而有效抑制信号串扰.
图8 (a)织物显示器件在不同交流电压和频率下的亮度变化曲线以及(b)织物显示器件在10万次干摩擦循环和10次工业水洗后的相对亮度变化曲线

Figure 8 (a) Variation of luminance of electroluminescent textile under varied voltage and frequency and (b) variation of luminance after 100,000 times of friction and 10 times of industrial washing

在织物穿着过程中, 人体的每次运动都会引起织物的形变, 纤维材料之间以及纤维与人体之间会发生无数次摩擦. 此外, 织物材料在使用过程中还需要进行清洗除去表面的污渍. 因此, 作为电子织物, 其摩擦稳定性和耐水洗牢固性是检验穿戴稳定性的重要指标. 本研究中, 我们对TPU@AgNWs TCF织物显示器件进行了耐摩擦测试和耐水洗测试. 在经历10万次干摩擦循环和10次工业水洗后, 织物显示器件的亮度损耗分别下降了约10%和5%, 证明了其在日常使用过程中的稳定性(图8b). 以上结果表明TPU@AgNWs TCF作为透明导电纤维在织物显示器件中具有良好的应用前景.

3 结论

综上所述, 本研究制备了一种兼具高导电性、高透明性和柔性的TPU@AgNWs TCF透明导电纤维. 通过对TPU纤维进行空气等离子体处理, 在纤维表面接枝大量羟基和羧基等亲水基团, 进一步浸涂PVP包裹的AgNWs乙醇分散液后, 通过氢键作用实现导电涂层在TPU纤维表面的牢固附着. 研究表明, 经过2 min空气等离子体改性, 并浸涂3次AgNWs乙醇分散液后, TPU@AgNWs TCF的电导率达到10 S•cm-1, 透光率达到75%, 并具有良好的存放稳定性和弯折稳定性. 将其作为透明导电纤维应用于织物显示器件, 能够实现均匀稳定发光, 亮度达到208 cd•m-2, 进一步将显示织物进行10万次摩擦和10次工业洗涤后, 保持良好的发光稳定性.

4 实验部分

4.1 样品制备

4.1.1 亲水性TPU纤维的制备

将TPU粒料通过双螺杆挤出机在170 ℃下熔融挤出成TPU纤维. 将TPU纤维依次放入乙醇和去离子水中分别超声清洗5 min, 除去表面杂质. 将清洗后的TPU纤维进行空气等离子体处理, 功率为150 W.

4.1.2 TPU@AgNWs TCF的制备

处理后的TPU纤维立刻浸入2 mg•mL-1的AgNWs乙醇分散液中浸涂1 min, 在空气中干燥5 min. 重复多次浸涂步骤, 获得AgNWs在TPU纤维表面均匀涂覆的透明导电纤维TPU@AgNWs TCF.

4.1.3 TPU@AgNWs TCF织物显示器件的制备

使用剑杆梭织机编织织物显示器件. 经纱密度10根/(10 cm), 纬纱密度10根/(10 cm). 织物为平纹组织. 发光区域发光线和棉纱线交替作为经线, TPU@AgNWs TCF和棉纱线交替作为纬线. 非发光区域经线和纬线皆为棉纱线.

4.2 样品表征

使用光学显微镜(日本, 奥林巴斯, Olympus BX52)拍摄样品的显微镜照片; 使用接触角测量仪(德国, Dataphysics, OCA20)测试样品的接触角; 使用X射线光电子能谱仪(美国, Thermo Scientific, K-Alpha)测试样品的XPS光谱; 使用数字万用表(中国, 德力西, DE890)测试样品的电导率; 使用双光路光谱亮度计(美国, SpectraDuo, PR680)测试样品的透光率和发光亮度; 使用耐洗色牢度试验机(中国, 南通宏大实验仪器有限公司, SW-12E)测试样品的水洗稳定性, 水洗标准AATCC 61:2013-1A, 水洗温度40 ℃, 皂液浓度w=0.56%(不含氯), 一次水洗时间45 min, 不锈钢珠数量10粒(直径6 mm); 使用摩擦色牢度仪(中国, 南通宏大实验仪器有限公司, Y571B)测试样品的摩擦稳定性, 摩擦标准GB/T3920-2008, 摩擦方式为干摩擦, 摩擦头压力9 N.
Zhao, C.
[1]
Yang W.; Lin S.; Gong W.; Lin R.; Jiang C.; Yang X.; Hu Y.; Wang J.; Xiao X.; Li K.; Li Y.; Zhang Q.; Ho J. S.; Liu Y.; Hou C.; Wang H. Science 2024, 384, 74.

[2]
Lee S.; Choi H. W.; Figueiredo C. L.; Shin D.-W.; Moncunill F. M.; Ullrich K.; Sinopoli S.; Jovančić P.; Yang J.; Lee H.; Eisenreich M.; Emanuele U.; Nicotera S.; Santos A.; Igreja R.; Marrani A.; Momentè R.; Gomes J.; Jung S.-M.; Han S. D.; Bang S. Y.; Zhan S.; Harden-Chaters W.; Suh Y.-H.; Fan X.-B.; Lee T. H.; Jo J.-W.; Kim Y.; Costantino A.; Candel V. G.; Durães N.; Meyer S.; Kim C.-H.; Lucassen M.; Nejim A.; Jiménez D.; Springer M.; Lee Y.-W.; An G.-H.; Choi Y.; Sohn J. I.; Cha S.; Chhowalla M.; Amaratunga G. A. J.; Occhipinti L. G.; Barquinha P.; Fortunato E.; Martins R.; Kim J. M. Sci. Adv. 2023, 9, eadf4049.

[3]
Feng J.; Peng H. Chin. J. Chem. 2022, 40, 1705.

[4]
Wang Z.; Liu Y.; Zhou Z.; Chen P.; Peng H. Nat. Rev. Electr. Eng. 2024, 1, 466.

[5]
Larson C.; Peele B.; Li S.; Robinson S.; Totaro M.; Beccai L.; Mazzolai B.; Shepherd R. Science 2016, 351, 1071.

DOI PMID

[6]
Shi X.; Zuo Y.; Zhai P.; Shen J.; Yang Y.; Gao Z.; Liao M.; Wu J.; Wang J.; Xu X.; Tong Q.; Zhang B.; Wang B.; Sun X.; Zhang L.; Pei Q.; Jin D.; Chen P.; Peng H. Nature 2021, 591, 240.

[7]
Song J.; Chen S.; Sun L.; Guo Y.; Zhang L.; Wang S.; Xuan H.; Guan Q.; You Z. Adv. Mater. 2020, 32, 1906994.

[8]
Wang M.; Wang X.; He Z.; Liu Z.; Chen R.; Wang K.; Wu J.; Han J.; Zhao S.; Chen Y.; Liu J. ACS Appl. Mater. Interfaces 2024, 16, 13052.

[9]
Nirmal K. A.; Dongale T. D.; Khot A. C.; Yao C.; Kim N.; Kim T. G. Nano-Micro Lett. 2024, 17, 12.

DOI PMID

[10]
Choi T.-Y.; Seok H.-J.; Youn H.-Y.; Park S.; Abu Mosa M.; Yeop Jo J.; Kwon K.-S.; Kim H.-K. Chem. Eng. J. 2024, 498, 154692.

[11]
Zhang J.; Seyedin S.; Qin S.; Lynch P. A.; Wang Z.; Yang W.; Wang X.; Razal J. M. J. Mater. Chem. A 2019, 7, 6401.

[12]
Wang Y.; Gao C.; Zhao C.; Chen Z.; Ye H.; Shen M.; Gao Q.; Zhu J.; Chen T. ACS Appl. Mater. Interfaces 2023, 15, 17175.

[13]
Zheng Y.; Wang D.; Kaushik S.; Zhang S.; Wada T.; Hwang J.; Matsumoto K.; Hagiwara R. Energy Chem 2022, 4, 100075.

[14]
Gong C.; Cheng S.; Meng X.; Hu X.; Chen Y. Acta Chim. Sinica 2021, 79, 853 (in Chinese).

(龚陈祥, 程书平, 孟祥川, 胡笑添, 陈义旺, 化学学报, 2021, 79, 853.)

DOI

[15]
Yan H.; Jo T.; Okuzaki H. Polym. J. 2009, 41, 1028.

[16]
Calnan S.; Tiwari A. N. Thin Solid Films 2010, 518, 1839.

[17]
Zhang L.; Song T.; Shi L.; Wen N.; Wu Z.; Sun C.; Jiang D.; Guo Z. J. Nanostruct. Chem. 2021, 11, 323.

[18]
Atwa Y.; Maheshwari N.; Goldthorpe I. A. J. Mater. Chem. C 2015, 3, 3908.

[19]
Yang Y.; Xu B.; Hou J. Chin. J. Chem. 2021, 39, 2315.

[20]
Sheng K.-K.; Lu Y.-F.; Fan W.-T.; Liu Y.-L. Chin. J. Chem. 2024, 42, 1523.

[21]
Fan K.; Li K.; Wang Z.; Men W.; Wu X.; Cheng J.; Zhang J. Nano Energy 2025, 135, 110658.

[22]
Wang Y.; Liu Z.; Xu Z.; Yao K. Sci. China, Ser. B: Chem. 2009, 52, 1235.

[23]
Alves P.; Pinto S.; de Sousa H. C.; Gil M. H. J. Appl. Polym. Sci. 2011, 122, 2302.

[24]
Xu J. F.; Dong S.; Li P.; Li W. H.; Tian F.; Wang J. R.; Cheng Q. Q.; Yue Z. Y.; Yang H. Chem. Eng. J. 2021, 424, article 130314.

[25]
Su J. C.; Liu B.; Lu B.; Sun X. Y.; Guo Y. X.; Chi W. W.; Yang Y. F.; Chen X. Y.; Zhao H.; Wang Y.; Miao H. Y.; Zhu H. Y.; Dong Y. M.; Zhu Y. F. Appl. Catal., B 2025, 371, article 125263.

[26]
Wenzel R. N. Ind. Eng. Chem. 1936, 28, 988.

[27]
Tan K.; Yang Z.; Zhu Y.; Liu B.; Zhao L.; Song L.; Yu S. J. Alloys Compd. 2025, 1022, 179831.

[28]
Zhou Y. L.; Cao S. T.; Wang J.; Zhu H. Y.; Wang J. C.; Yang S. N.; Wang X.; Kong D. S. ACS Appl. Mater. Interfaces 2018, 10, 44760.

[29]
Chen Y. Y.; Duh J. G.; Chiou B. S.; Peng C. G. Thin Solid Films 2001, 392, 50.

文章导航

/