研究论文

等离子体辅助合成ZnO:Er3+/Yb3+分级纳米棒及其上转换发光的三模态光学测温性能

  • 刘庆 a ,
  • 陈双龙 a ,
  • 王秋实 , a, * ,
  • 王雪娇 b ,
  • 刘才龙 c
展开
  • a 渤海大学 物理科学与技术学院 物理科学与技术学院 锦州 121013
  • b 渤海大学 材料与环境工程学院 材料与环境工程学院 锦州 121013
  • c 聊城大学 物理科学与信息工程学院 物理科学与信息工程学院 聊城 252000

收稿日期: 2025-10-11

  网络出版日期: 2025-12-10

基金资助

国家重点研发计划项目(2023YFA1406200)

国家自然科学基金(11874174)

兴辽英才青年拔尖人才(XLYC2403017)

辽宁省教育厅面上项目(JYTMS20231627)

Plasma-assisted Synthesis of ZnO:Er3+/Yb3+ Hierarchical Nanorods and Their Upconversion Luminescence-based Trimodal Optical Thermometry Properties

  • Qing Liu a ,
  • Shuanglong Chen a ,
  • Qiushi Wang , a, * ,
  • Xuejiao Wang b ,
  • Cailong Liu c
Expand
  • a School of Physical Science and Technology, Bohai University, Jinzhou 121013
  • b School of Materials and Environmental Engineering, Bohai University, Jinzhou 121013
  • c School of Physical Science and Information Engineering, Liaocheng University, Liaocheng 252000

Received date: 2025-10-11

  Online published: 2025-12-10

Supported by

National Key Research and Development Program of China(2023YFA1406200)

National Natural Science Foundation of China(11874174)

Xing Liao Ying Cai Program for Young Top-notch Talents(XLYC2403017)

General Program of the Education Department of Liaoning Province(JYTMS20231627)

摘要

采用直流电弧等离子体法, 以Zn粉, Er2O3和Yb2O3粉末为反应原料, 在氧气环境中成功制备了ZnO:Er3+/Yb3+分级纳米棒. 通过多种表征手段(X射线衍射、Raman、X射线光电子能谱、扫描电子显微镜、透射电子显微镜和光致发光光谱), 系统分析了样品的晶体结构, 形貌和上转换发光性能. 在980 nm激光激发下, 样品在525 nm、546 nm以及662 nm呈现了发光峰. 变温发光(298~573 K)测试表明, 基于热耦合能级(2H11/24S3/2)和非热耦合能级(4S3/24F9/2)荧光强度比, 其最大相对灵敏度分别可达到1.03 %•K−1和2.20 %•K−1, 而基于4S3/2能级荧光寿命的最大相对灵敏度更是高达2.43 %•K−1. 本研究利用单一发光中心实现了三模态光学测温, 证明该分级纳米棒在宽温度范围内具有优异的信号区分度和高灵敏度, 在光学测温领域展现出重要应用潜力.

本文引用格式

刘庆 , 陈双龙 , 王秋实 , 王雪娇 , 刘才龙 . 等离子体辅助合成ZnO:Er3+/Yb3+分级纳米棒及其上转换发光的三模态光学测温性能[J]. 化学学报, 2026 , 84(2) : 196 -207 . DOI: 10.6023/A25100334

Abstract

Through the direct current arc discharge plasma method, ZnO:Er3+/Yb3+ hierarchical nanorod optical temperature-sensing materials were successfully prepared using Zn powder, Er2O3 powder, and Yb2O3 powder as raw materials in an oxygen (O2) atmosphere. The crystal structure, morphological characteristics, and upconversion luminescence properties of the samples were systematically characterized through X-ray diffraction (XRD), Raman, X-ray photoelectron spectroscopy (XPS), scanning electron microscope (SEM), transmission electron microscopy (TEM), and photoluminescence analyses. Both XRD and Raman analyses indicated the absence of secondary phases in the samples, and the XRD and Raman spectra of ZnO:Er3+/Yb3+ exhibited a low-angle shift compared to undoped ZnO, confirming the substitution of Er or Yb ions at the main Zn lattice sites. XPS confirmed the coexistence of Zn, O, Er, and Yb elements, while energy dispersive spectroscopy (EDS) quantitative analysis revealed an atomic ratio of Zn∶O∶Er∶Yb as 47.22∶46.47∶0.81∶1.33. SEM results showed that the hierarchical nanorod structure consists of a robust main trunk and numerous radial branches grown from the main surface. Each nanorod maintained a uniform diameter along its entire length, with an average diameter ranging from 20 nm to 45 nm and a length of approximately 500 nm. High-resolution transmission electron microscopy revealed that the adjacent lattice fringe spacing of the branched nanorods was about 0.271 nm, corresponding to the (002) plane spacing of wurtzite-type ZnO, confirming their well-crystallized single-crystal structure. This result also indicated that the [001] crystal orientation is the primary growth direction of the ZnO nanorods. Photoluminescence studies identified characteristic emission peaks at 525 nm, 546 nm, and 662 nm in the visible region, attributed to the intra-4f electronic transitions of Er3+ ions. Through temperature-dependent luminescence tests from 298 K to 573 K, the maximum relative sensitivities of the fluorescence intensity ratios for the thermally coupled levels (2H11/2 and 4S3/2) and non-thermally coupled levels (4S3/2 and 4F9/2) were determined to be 1.03 %•K−1 and 2.20 %•K−1, respectively, while the maximum relative sensitivity of the 4S3/2 level fluores- cence lifetime was 2.43 %•K−1. In this study, a single luminescent center is used to achieve three-mode optical temperature measurement. The ZnO:Er3+/Yb3+ hierarchical nanorod optical temperature-sensing material demonstrated excellent signal discrimination and high sensitivity across a broad temperature range, highlighting its significant potential for applications in optical temperature sensing.

1 引言

众所周知, 温度的精确测量在日常生活、科学研究、军事工程及工业生产等诸多领域都至关重要. 然而, 传统的接触式测温方法存在灵敏度低、响应时间长, 且无法在强酸强磁场等恶劣环境下应用. 上转换光学测温材料能够吸收外界热辐射光并发射不同能级的光信号, 其发光强度与温度存在特定的关联, 通过检测分析这些光信号, 可精准推算出被测物体的温度信息, 且该类材料具有测温跨度大、响应快、灵敏度高等优点, 可轻松应用于恶劣环境下的测温, 从而有效克服传统接触式测温方法的缺陷[1-5]. 光学测温技术通过检测稀土离子激活材料的温度依赖性发光参数实现, 包括光谱带宽、峰值位置、发光强度、荧光衰减寿命(fluorescence lifetime, FL)和荧光强度比(fluorescence intensity ratio, FIR). 其中 FIR的测温原理主要与特定温度下各发射峰比率或积分强度相关, 该原理下测温精度更高, 并且在低激发密度下不受激发光轻微波动、激活剂含量及发射光谱损失的影响. FIR通过两种不同的方式来实现[6-9]: 基于热耦合能级的温度依赖性以及基于非热耦合能级的温度依赖性. 除此之外, 基于荧光寿命(FL)的测温技术因对环境电磁干扰不敏感且无需校准即可检测的特性, 在恶劣环境中同样展现出应用潜力[10-12].
目前大多数光学温度传感器采用单一检测模式, 但不论是单一的利用FIR信号测温还是单一的利用FL信号测温都存在只能抵抗特定类型干扰的盲区, 而对其他干扰无能为力[13-15]. 为此, 研究者提出通过整合不同温度响应信号, 构建具有高精度测量能力的多模式温度传感器. 近年来, 几种类型的具有高测量灵敏度的双模光学温度传感器也已被广泛报道[11,16], 第一种双模测温方法是将单一基质中的同一发光中心或不同发光中心的的热耦合能级和非热耦合能级的FIR信号相结合, 如Cheng等[17]通过共溶热法制备了NaYF4:Yb3+/Ho3+/Tm3+, 并通过Tm3+热耦合能级的FIR信号得到的最大相对灵敏度为0.3733 %•K−1, 由Tm3+和Ho3+离子的非热耦合能级的FIR信号得到的最大相对灵敏度为1.7966 %•K−1; Liu等[18]通过传统高温固相反应法成功合成Er3+/Yb3+掺杂Li2ZnGe3O8荧光粉在980 nm激发下测量得到基于Er3+的热耦合FIR信号的最大灵敏度为1.007 %•K−1和基于Er3+的非热耦合FIR信号的最大灵敏度为1.151 %•K−1. 第二种是将单一基质中不同发光中心的FIR信号和FL信号相结合, Zhang等[19]通过固相反应法成功合成了双钙钛矿结构的Pr3+/Dy3+共掺杂La2MgTiO6荧光材料, 通过Pr3+/Dy3+对温度响应的差异性得到其FIR信号的最大相对灵敏度为2.375 %•K−1, 基于Pr3+的FL信号得到最大相对灵敏度为1.814 %•K−1; Xue及其团队[20]采用固相反应技术制备了Bi3+/Ln3+共掺杂LaNbO4, 基于Bi3+/Ln3+的FIR信号得到的最大灵敏度为2.36 %•K−1以及通过Bi3+的FL信号得到最大相对灵敏度为0.145 %•K−1. 第三种是将来自不同基质中的不同发光中心的FIR信号和FL信号相结合, 如Chen等[21]通过熔融淬火法制备了含有正交晶系YF3和立方晶系Ca2O3纳米晶的Yb3+/Er3+/Cr3+三重掺杂透明块体玻璃陶瓷, 通过观测Ca2O3纳米晶中Cr3+的FL信号得到的最大相对灵敏度为0.59 %•K−1, 利用YF3晶格中Yb3+/Er3+的FIR信号得到的最大相对灵敏度为0.25 %•K−1, 第四种是将FIR和FL信号结合到同一基质的同一发光中心内, 如Tong等[22]通过高温固相法制备了Na2YMg2(VO4)3: Er3+/Yb3+, 根据Er3+热耦合能级的FIR信号得到的最大相对灵敏度为1.104 %•K−1和其FL信号得到的最大灵敏度为0.087 %•K−1; Gao等[23]通过高温固相法制备了双钙钛矿型Pr3+掺杂Gd2ZnTiO6热敏荧光粉分别得到其FIR信号和FL信号的最大灵敏度为1.67 %•K−1和1.48 %•K−1. 目前, 关于单一基质中单一发光中心的三模态光学测温的报道比较少, 所以开发一种单一基质中集成三模态光学测温的技术方案, 对实际光学测温应用具有重要意义.
在所有镧系元素中, 三价铒离子(Er3+)具有将红外光上转换为电磁波谱可见光段的独特能力. Er3+独特的等间距能级结构使其可通过吸收两个或多个低能光子实现激发, 当离子弛豫时将发射出更高能量的光子, 并且铒的局域环境对其4f-4f内的跃迁起着关键调控作 用[24]. 此外, Er3+能级寿命较长, 物理化学性质稳定, 并且发射带较窄. 这些特点使得Er3+被广泛用作FIR温度传感的激活剂[25]. 然而, 由于Er3+在980 nm激光激发下的基态吸收截面较小, 导致泵浦效率和上转换强度较低. 研究发现, Yb3+在980 nm处具有更大的吸收截面(比Er3+高约一个数量级). 因此为了增强 Er3+对980 nm激光的吸收, Yb3+常作为敏化剂与Er3+进行共掺来增强材料上转换发光效率. 通过Yb3+共掺杂, Er3+能够从邻近Yb3+离子共振获取能量, 从而显著增强4I15/24I11/24I11/24F7/2能级跃迁, 最终大幅提升上转换发光强 度[26-28]. 尽管Er³⁺/Yb³⁺共掺系统在荧光强度比(FIR)光学温度传感技术中应用广泛, 但最佳基质材料的选择仍至关重要.
氧化锌(ZnO)作为II~VI族半导体材料中一种优异的光电与自旋电子应用氧化物[29], 具有室温下60 meV的激子结合能, 其直接带隙为3.37 eV. 此外, 根据ZnO的拉曼光谱分析, 其声子能量较低约为435 cm−1, 这一结果表明辐射跃迁具有较高的复合概率, 是各类光电应用中最受欢迎的半导体材料之一[30-31]. 凭借高热稳定性与化学稳定性、可控导电性及压电特性[32], ZnO可视为稀土掺杂的理想基质材料. 如Kumar等[24]采用了溶液燃烧法制备了ZnO:Er3+/Yb3+上转换纳米颗粒荧光粉并研究了其在980 nm激光下的光学性能; Zhang等[33]通过水热法合成了Er3+/Yb3+共掺杂ZnO探究了样品随Yb3+离子浓度变化的发光变化趋势; Lluscà等[27]研究了在不同富氧气氛下通过射频磁控溅射沉积法制备了ZnO:Er3+和ZnO:Er3+/Yb3+薄膜, 探究了其在980 nm激光下的上转换发光性能, 但大部分报道均未探究其温度传感特性. 关于Er3+/Yb3+离子掺杂的ZnO的光学测温性能的报道也相对较少, 如Cao等[34]采用微波辅助法在MCR-3微波反应系统中合成了Er3+/Yb3+共掺杂纳米晶簇测量得到其在一定温度区间的FIR最大灵敏度达到了0.323 %•K−1; Tabanli等[35]采用传统熔融淬冷法制备了Er3+单掺和Er3+/Yb3+共掺TeO2-ZnO玻璃, 测量得到FIR最大灵敏度分别为0.72 %•K−1和1.20 %•K−1; Anjana及其团队[36]通过共沉淀法制备得到了Er3+/Yb3+/Mo6+共掺杂ZnO荧光粉, 测得Er3+离子的FIR最大灵敏度达到了1.00 %•K−1, 以上报道中所探究的Er3+/Yb3+掺杂ZnO的光学测温模式比较单一且灵敏度普遍偏低.
为了解决上述问题, 本工作通过直流电弧等离子体法成功合成了ZnO:Er3+/Yb3+分级纳米棒光学测温材料. 相较于其他合成方法, 该方法能够在极短时间内营造出高温强电离的等离子体环境, 并实现高效淬冷, 这一极端非平衡条件有利于调控晶体成核与生长动力学, 从而形成具有特定形貌的低维物质. 同时该方法所能达到的极高温度及等离子体条件为在ZnO中稳定形成Er3+发光中心提供了充足的能量, 此外该方法兼具制备快速, 成本可控, 易于规模化及环境友好等特点, 具备良好的工艺应用前景. 之后我们对所制备得到的ZnO:Er3+/Yb3+分级纳米棒进行了系统的表征, 如结构分析、形貌表征、光学性质测试以及光学测温性质的计算. 研究了Er3+/Yb3+掺杂ZnO分级纳米棒的热耦合能级(2H11/24S3/2)荧光强度比的相对灵敏度、非热耦合能级(4S3/24F9/2)的荧光强度比的相对灵敏度以及基于Er3+离子的4S3/2能级荧光寿命相对灵敏度, 探究了其三模态荧光的测温性能. 相比于未掺杂的ZnO, Er3+/Yb3+掺杂后分级纳米棒ZnO的光学性能进一步得到提高, 表明其在光学测温领域的应用潜力.

2 结果与讨论

2.1 物性表征和形貌分析

2.1.1 X射线衍射(XRD)和Raman光谱分析

图1(a)为未掺杂的ZnO和ZnO:Er3+/Yb3+分级纳米棒的XRD图谱. 并与六方纤锌矿结构ZnO的标准卡 PDF#79-2205(空间群P63mc (No. 186))进行比对, 可以看出衍射峰的强度和位置均与标准卡很好地吻合. 掺杂的样品中没有出现由稀土掺杂引起的额外的衍射峰, 表明ZnO相的纯度很高. 从图1(a)的插图中可以看出, ZnO:Er3+/Yb3+衍射峰的位置相比未掺杂的ZnO稍微向较低角度偏移. 这个结果表明, 在ZnO基体中掺杂大尺寸的Er3+(0.089 nm)和Yb3+(0.086 nm)离子以取代Zn2+ (0.074 nm)会导致晶格膨胀[37].
图1 (a)未掺杂的ZnO和ZnO:Er3+/Yb3+分级纳米棒的XRD图谱, 插图为(100), (002)和(101)峰的放大图; (b) Raman光谱

Figure 1 (a) XRD patterns of undoped ZnO and ZnO:Er3+/Yb3+ hierarchical nanorods, with the inset showing enlarged views of the (100), (002), and (101) peaks; (b) Raman spectra

图1(b)为未掺杂的ZnO和ZnO:Er3+/Yb3+分级纳米棒的拉曼光谱. 展示了200 cm−1至600 cm−1范围内的室温拉曼光谱. 通常, 根据群论预测, ZnO的拉曼活性光学声子区中心Γ=A1+2B1+E1+2E2. 其中, A1和E1模式是极化的, 可分裂为横向光学分量(A1 TO和E1 TO)与纵向光学分量(A1 LO和E1 LO). 对于未掺杂的ZnO的拉曼光谱, 约333 cm−1处的峰可归因于二阶声学模式, 381 cm−1处的峰对应A1(TO)模式, 位于413 cm−1处的峰对应E1(TO)模式, 439 cm−1处的尖锐且强烈的峰代表了氧化锌的E2(high)模式, 这是在六方晶系晶体结构中最强的拉曼模式. 主要与氧原子振动相关, 这标志着ZnO纳米颗粒结构具有良好结晶度. 538 cm−1和585 cm−1两处的峰分别归类为A1(LO)声子振动和E1(LO)振动, 与宿主的锌缺陷或氧缺陷有关[38-40]. 与未掺杂ZnO类似, ZnO:Er3+/Yb3+分级纳米棒也表现出相应的拉曼特征. 但所有声子模式均向低频方向移动, 这是由于大尺寸Er3+和Yb3+取代Zn2+掺杂进入ZnO晶格中. 谱图中未出现Er2O3和Yb2O3的拉曼峰, 表明如XRD结果所证实的无第二相存在.

2.1.2 X射线光电子能谱(XPS)分析

为确认Er3+和Yb3+的掺杂情况并研究其离子态与化学组成, 对ZnO:Er3+/Yb3+分级纳米棒进行了XPS分析. 图2显示了ZnO:Er3+/Yb3+分级纳米棒的XPS谱图. 从全扫描谱图(图2(a))中可以清晰看到, 所有特征峰均对应于来自环境的C1s、O 1s、Zn 2p、Er 4d、Yb 4d能级. Zn 2p能级(图2(b))显示的结合能分别为1022.00 eV和1045.10 eV, 归因于Zn 2p3/2和Zn 2p1/2能级, 其之间的结合能差值为23.10 eV, 完全符合ZnO的标准参考值, 这说明样品中的Zn元素以Zn2+离子的形式存在. 图2(c)显示出两个与O 1s能级对应的特征峰, 位于较低结合能530.30 eV处的峰所代表的氧成分来源于六方Zn2+离子阵列纤锌矿结构中的O2−离子, 而位于532.40 eV处的另一峰所代表的氧成分则是归因于表面吸附的O2. 此外, Er 4d(图2(d))和Yb 4d(图2(e))位于168.88 eV和184.18 eV的特征峰, 表明了Er3+和Yb3+的电子态[40-42]. 由XPS数据可证实Er和Yb均以+3价氧化态形式存在, 并成功掺杂进入ZnO晶格.
图2 (a) ZnO:Er3+/Yb3+分级纳米棒的XPS全扫描谱图, (b) Zn 2p, (c) O 1s, (d) Er 4d和(e) Yb 4d峰的XPS高分辨率图谱

Figure 2 (a) XPS full scan spectrum of ZnO:Er3+/Yb3+ hierarchical nanorods, high-resolution XPS spectra of (b) Zn 2p, (c) O 1s, (d) Er 4d, and (e) Yb 4d peak

2.1.3 微观形貌分析

图3(a)展示了ZnO:Er3+/Yb3+光学测温材料整体的扫描电子显微镜(SEM)图像, 可以观察到样品由大量的分级结构纳米棒组成, 这些分级结构纳米棒像野草般以分散方式无序地生成. 图3(b)高倍放大的SEM图像进一步揭示了这些分级结构纳米棒生长特征, 由粗壮主杆和众多从主杆面中生长出来的放射状分支构成, 每根纳米棒沿其全长保持直径均一, 直径在20~45 nm之间, 长度大约500 nm. 从图中可以观察到有些较小的纳米棒本质上具有六角棱柱形态. 这种六边形横截面是沿[001]晶向生长的发育良好ZnO晶体的典型特征[43]. 图3(c)给出了ZnO:Er3+/Yb3+分级纳米棒的能量色散光谱(EDS), 其中Zn、O、Er、Yb的原子比为47.22∶46.47∶0.81∶1.33. 为进一步阐明该分级纳米棒的结构, 我们对样品进行了透射电子显微镜(TEM)和高分辨透射电子显微镜(HRTEM)表征. 图3(d) 展示了该ZnO:Er3+/Yb3+分级纳米棒结构的TEM图像, 该结构由主杆和分支构成, 分支倾向于从主杆中部生长出来, 平均长度为500 nm, 与扫描电镜观察结果相同. 并且该分级结构纳米棒具有极高的稳定性, 即使经过长时间超声处理支杆也不会从主杆表面脱离或分层, 这表明ZnO纳米棒与主杆之间有极强的结合力[44]. 图3(e)呈现了一根直径20 nm且表面光滑的单根纳米棒, 图3(f)给出了它的HRTEM图像, 其相邻晶格条纹的间距约为0.271 nm, 对应纤锌矿型氧化锌(002)晶面间距, 证实其为结晶良好的单晶结构. 该结果同时表明[001]晶向是氧化锌纳米棒的主要生长方向[45-46]. 图3(g)为ZnO:Er3+/Yb3+分级纳米棒结构的高角环形暗场成像(HAADF), 并给出了对应的Zn, O, Er, Yb元素分布图(图3(h~k)), 证实了Er3+/Yb3+已成功掺杂到ZnO基质并均匀分布.
图3 ZnO:Er3+/Yb3+分级纳米棒的(a)低倍率、(b)高倍率SEM图像, (c) EDS能谱, (d)低倍率、(e)高倍率TEM图像, (f) HRTEM图像, (g) HAADF图像和(h) Zn、(i) O、(j) Er、(k) Yb元素分布

Figure 3 (a) Low-magnification and (b) high-magnification SEM images, (c) EDS spectrum, (d) low-magnification and (e) high-magnification TEM images, (f) HRTEM image, (g) HAADF image and the corresponding distribution of (h) Zn, (i) O, (j) Er, (k) Yb of ZnO:Er3+/Yb3+ hierarchical nanorods

既往研究表明, 电弧放电等离子体在非平衡、过饱和环境中可引导纳米结构自下而上组装的特性[47], 本研究采用大电流, 在反应区内激发出显著的局域温度梯度与热对流, 成功实现了ZnO:Er3+/Yb3+分级纳米棒结构的制备. 反应初期, 由于六方氧化锌固有的各向异性特征, 晶体开始沿c轴[001]方向生长为棒状. 过饱和的反应原料和富氧环境会产生大量均相成核的晶核, 这些新生晶核通过无序聚集来降低表面能, 最终生长为粗大主杆[43,48]. 随着大尺寸的Er3+和Yb3+取代Zn2+掺杂进入ZnO晶格中, 由于离子半径和价态的不匹配, 会引起巨大的局部晶格畸变从而形成锌空位, 这些缺陷会优先聚集在最初形成的初级纳米棒的晶面上, 缺陷的聚集显著增加了这些晶面的表面能, 使得晶体生长不再局限于最初的生长模式, 而是在侧面上也能发生异相成核, 最终在新的成核位点沿c轴[001]方向生长出ZnO纳米 棒[49-50], 因此高能量的直流电弧等离子体法以及稀土离子Er3+和Yb3+的加入极大地促进了从一维纳米棒向复杂的三维分级结构的演变.

2.2 上转换发光性能

2.2.1 光学特性分析

图4(a)为未掺杂的ZnO和ZnO:Er3+/Yb3+分级纳米棒在980 nm激光激发下的发射光谱. 未掺杂的ZnO没有明显的发射峰, 表明ZnO本身不具有上转换发光性能. 图4(a)中测到ZnO:Er3+/Yb3+分级纳米棒的发光现象归因于掺杂在ZnO基体中的Er3+离子的4f-4f跃迁. ZnO:Er3+/Yb3+的上转换发射光谱在约525 nm和546 nm处有两个绿色发射峰, 在662 nm处有一个红色发射峰, 分别来源于Er3+2H11/24S3/24F9/24I15/2跃迁[51]. 值得注意的是, 662 nm处红色发光部分的4F9/2能级的Stark能级分裂是由电子相互作用和自旋轨道耦合效应共同导致. ZnO:Er3+/Yb3+分级纳米棒由于凭借其极高的表面积与体积比, 具备出色的发光性能[52-54].
图4 未掺杂的ZnO和ZnO:Er3+/Yb3+分级纳米棒的(a) 980 nm激光激发下的上转换发光光谱和(b)漫反射光谱

Figure 4 (a) UC luminescence spectra under 980 nm laser excitation and (b) diffuse reflectance spectra of undoped ZnO and ZnO:Er3+/Yb3+ hierarchical nanorods

图4(b)为未掺杂的ZnO和ZnO:Er3+/Yb3+分级纳米棒的漫反射光谱. ZnO:Er3+/Yb3+的漫反射光谱在525 nm、546 nm和662 nm附近出现吸收峰, 归因于Er3+从基态能级4I15/22H11/2, 4S3/24F9/2的跃迁. 位于980 nm的吸收峰归因于Yb3+2F7/22F5/2的跃迁, 同时在980 nm附近观测到多个信号, 证实了4F9/2能级的Stark能级分裂, 这些吸收峰都在表明Er3+和Yb3+离子被掺杂到了ZnO中. 此外, 通过Kubelka-Munk函数$[F(R) h v]$.计算的未掺杂的ZnO和ZnO:Er3+/Yb3+分级纳米棒的直接带隙能量如图5(a)5(b)所示. 其中F(R)=[(1-R)2/2R], R为对应波长的反射率值, hv为光子能量. 测得ZnO:Er3+/Yb3+分级纳米棒的带隙宽度和未掺杂的ZnO的相比未发生明显变化, 均为3.15 eV, 这符合稀土离子4f电子受外层电子壳层屏蔽而呈现局域化特性的理论预期, 表明掺杂主要是在ZnO的带隙中引入了分立的f-f跃迁能级, 而非改变基质材料的能带结构[30,38,55]. 值得注意的是, ZnO的直接带隙红移至实验观测的3.15 eV, 在于该独特分级纳米棒结构巨大的比表面积所引入的高浓度表面缺陷, 此结论与前文的电镜观察结果相符.
图5 (a)未掺杂的ZnO和(b) ZnO:Er3+/Yb3+分级纳米棒的带隙分析曲线图

Figure 5 (a) Bandgap analysis curves of undoped ZnO and (b) ZnO:Er3+/Yb3+ hierarchical nanorods

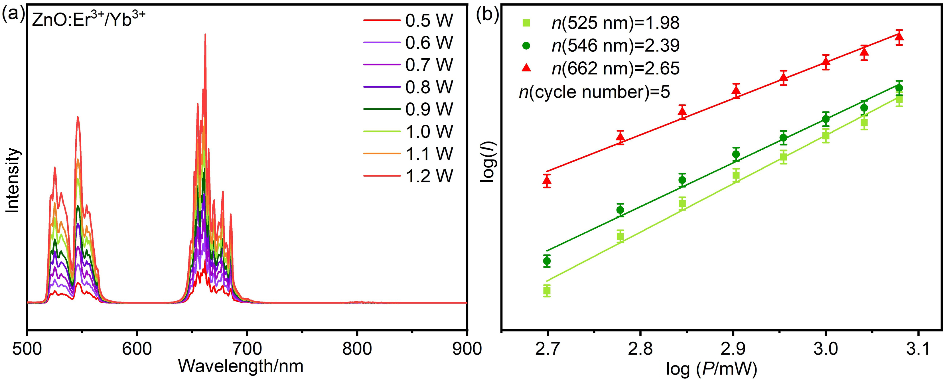
为了更好地理解ZnO:Er3+/Yb3+的上转换发射机制, 我们测量了不同泵浦功率下的上转换发射光谱, 如图6(a)所示. 可以看出, 随着激发功率的增大, 发光强度表现出单调增大的变化趋势, 表明泵浦功率对上转换发光具有正向影响. 因为上转换发光强度(I)与泵浦功率(P)的n次幂成正比, 即$I \propto P^{n}$, 这里n是指从基态激发到激发态所需的泵浦光子数. 为了便于确定n的值, 采用对数法将其简化为logI=nlogP [56]. 图6(b)显示了525 nm、546 nm及662 nm处上转换发射峰的积分强度与激发功率的对数函数关系曲线, 所以这条曲线的斜率表示上转换过程所需的光子数n, 通过拟合得到525 nm处的发射峰发光强度随激发功率变化的斜率(n)为1.98, 表明实现该上转换发光过程需要两个光子的参与. 而546 nm和662 nm处的发射峰发光强度随激发功率变化的斜率(n)分别为2.39和2.65, 这些n值远大于2, 表明每个上转换光子的产生需要吸收超过两个(可能为3个)泵浦光子. 这意味着该绿色和红色发射可能同时来源于双光子和三光子过程, 具体上转换机制将在下文详细讨论.
图6 (a)不同激发功率下ZnO:Er3+/Yb3+分级纳米棒的上转换发光光谱(激光功率: 0.5~1.2 W, 对应功率密度: 5~12 W/cm2); (b) 525 nm、546 nm及662 nm处发射峰积分强度与激发功率的关系

Figure 6 (a) Upconversion luminescence spectra of ZnO:Er3⁺/Yb3⁺ hierarchical nanorods under varied excitation power (Laser power: 0.5~1.2 W, corresponding power density: 5~12 W/cm2); (b) Integrated emission intensity at 525 nm, 546 nm, and 662 nm as a function of excitation power

图7展示了Er3+和Yb3+离子的能级示意图及提出的上转换机制. 在980 nm的激发下, 电子通过振动(Energy Transfer, ET) ET1过程将能量传递给Er3+, 使得Er3+从基态跃迁到4I11/2能级[2F5/2 (Yb3+)+4I15/2 (Er3+)→2F7/2 (Yb3+)+4I11/2 (Er3+)], 处于4I11/2能级上的Er3+继续通过ET2过程[2F5/2 (Yb3+)+4I11/2 (Er3+)→2F7/2 (Yb3+)+4F7/2 (Er3+)]到达4F7/2能级, 处于4F7/2能级上的粒子通过非辐射跃迁过程(Non-Radiative Transition, NRT)分别到达2H11/24S3/2能级, 然后跃迁返回到基态分别发出525 nm和546 nm的绿光. 与此同时, 还有一部分处于4I11/2能级上的Er3+通过NRT过程到达4I13/2能级, 然后通过ET3过程[2F5/2 (Yb3+)+4I13/2 (Er3+)→2F7/2 (Yb3+)+4F9/2(Er3+)]到达4F9/2能级, 处于4F9/2能级的部分粒子跃迁回基态发出662 nm的红色发射光, 而处于4F9/2能级的另外部分粒子通过ET4过程[2F5/2(Yb3+)+4F9/2(Er3+)→2F7/2 (Yb3+)+2H9/2(Er3+)]到达2H9/2能级, 然后这些粒子通过NRT过程到达4S3/2能级, 解释了546 nm的绿色上转换发射光涉及的三光子过程. 处于4S3/2能级上的粒子首先通过ET5过程[2F5/2(Yb3+)+4S3/2(Er3+)→2F7/2 (Yb3+)+4G7/2(Er3+)]达到4G7/2能级, 随后通过NRT过程跃迁至4G11/2能级, 紧接着通过协同衰变绕过绿色发光能级直接跃迁至红色发光的4F9/2能级, 在此协同衰变过程中, 处于基态的Yb3+离子从2F7/2态激发至2F5/2态, 而该过程中Er3+离子剩余的衰变能量则转化为晶格振动的声子. 值得注意的是, Er3+之间还存在的交叉驰豫(CR)过程[4I11/2(Er3+)+4F7/2 (Er3+)→4F9/2 (Er3+)+4F9/2 (Er3+)]增强了4F9/2能级上的粒子布居, 最后, 所有处于4F9/2能级上的粒子都返回基态发出662 nm的红光, 解释了662 nm处红光的发射峰强度略高于525 nm以及546 nm处的绿光发射峰强度[57-59].
图7 ZnO:Er3+/Yb3+分级纳米棒中Er3+和Yb3+的激发和发射机理(λex=980 nm)

Figure 7 Excitation and emission mechanisms of Er3+ and Yb3+ex=980 nm) of ZnO:Er3+/Yb3+ hierarchical nanorods

2.2.2 温度传感特性分析

为了探究ZnO:Er3+/Yb3+分级纳米棒的温度传感特性, 图8(a)展示了ZnO:Er3+/Yb3+分级纳米棒在298~573 K温度范围内的变温上转换发光光谱(λex=980 nm). 由图8(a)中可以明显地观察到, 上转换发光的发射光谱形状和发射位置不随温度变化而变化. 为了更好地展示出不同发射峰强度的具体变化趋势, 如图8(b)绘制了525 nm、546 nm及662 nm处各发射峰强度随温度变化关系的图像, 由图中可以清晰地看出位于662 nm(4F9/24I15/2)处的发射峰强度随着温度的升高而降低而位于525 nm(2H11/24I15/2)和546 nm(4S3/24I15/2)处的绿色双峰荧光发射峰强度呈现出明显不同的热猝灭变化趋势, 546 nm处的发射峰强度随着温度的升高而逐渐降低而位于525 nm处的发射峰强度随着温度的升高先呈现出升高的趋势, 在398 K时达到最大值, 然后又随着温度的升高逐渐降低, 前者发光强度降低的原因主要有两点: 一是温度的升高增加了非辐射弛豫速率, 相对来说就减少了辐射跃迁; 二是非辐射弛豫增加的同时也缩短了中间能级(4I11/2)的寿命, 从而降低了光子吸收的可能性[60]. 后者是由于位于较高能级的525 nm处的荧光在温度梯度下热猝灭效应较弱, 而位于较低能级的546 nm处的荧光在温度梯度下热猝灭效应较强, 并且2H11/24S3/2两个能级归属于热耦合能级, 能量差位于200~2000 cm−1之间, 如图7中热激活过程所示, 根据玻尔兹曼分布, 随着温度的升高, 声子密度增加, 能隙较小, 有利于多声子辅助的位于4S3/2的电子更容易通过热激发过程激发到2H11/2能级, 从而在两个能带间建立准热平衡. 这就会导致525 nm(2H11/24I15/2)处的发射峰强度先呈现升高的趋势, 随后当温度继续升高时, 样品的温度猝灭现象占据主导作用, 出现样品525 nm处的上转换发光强度再降低的现象[61-62]. 根据以上不同能级之间的温度依赖性, 可以提供不同的光学测温特性, 为高灵敏度多重校准光学测温技术提供了更多的有效策略.
图8 不同温度下ZnO:Er3+/Yb3+分级纳米棒的(a)上转换发光光谱; (b) 525 nm、546 nm及662 nm处发射峰积分强度随温度的变化关系

Figure 8 (a) Upconversion luminescence spectrum of ZnO:Er3+/Yb3+ hierarchical nanorods at different temperatures; (b) Temperature dependent variation of emission peak integral intensity at 525 nm, 546 nm, and 662 nm

Er3+离子的525 nm和546 nm处的发射峰遵循玻尔兹曼分布规律, 根据玻尔兹曼分布规律, 其中能级间能量转移的概率随其能量差呈指数关系变化. 基于此, 两个热耦合能级的FIR公式可表示为如下形式:
$\begin{array}{l}F I R=I_{1} / I_{2}=\left(A_{1} \omega_{1} \mathrm{~g}_{1} / A_{2} \omega_{2} \mathrm{~g}_{2}\right) \exp \left(-\Delta E / K_{\mathrm{B}} T\right) \\=B \exp \left(-\Delta E / K_{\mathrm{B}} T\right)\end{array}$
在给定公式中, I1I2分别表示从2H11/24S3/2能级向4I15/2能级跃迁时产生的发射强度. Aωg分别表示辐射跃迁速率、能级跃迁角频率以及相应能级简并度, 此外在此背景下, ΔE2H11/24S3/2两个能级之间的能量差、KB为玻尔兹曼常数、T表示开尔文温度.
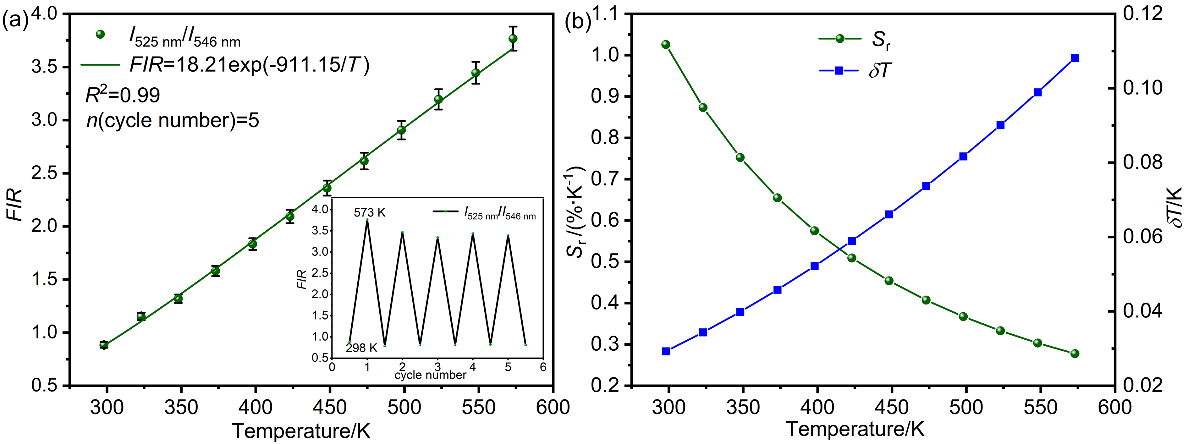
图9(a)中绘制了FIR(I525 nm/I546 nm)随温度变化的曲线, 随着温度的升高FIR值逐渐降低, 对上述数据进行了拟合分析, 结果显示拟合良好, 拟合度(R²)高达0.99, 拟合公式如下:
$ F I R=18.21 \exp (-911.15 / T)$
图9 ZnO:Er3+/Yb3+分级纳米棒的(a) FIR(I525 nm/I546 nm)随温度的变化, 插图为FIR(I525 nm/I546 nm)的循环测试; (b)相对灵敏度Sr及温度分辨率δT随温度的变化

Figure 9 (a) Temperature dependence of the FIR(I525 nm/I546 nm) for the ZnO:Er3+/Yb3+ hierarchical nanorods. The inset shows the cycling test of the FIR(I525 nm/I546 nm). (b) Temperature dependence of the relative sensitivity Sᵣ and temperature resolution δT

相对灵敏度Sr是光学测温性能的重要参数其定义式如下[63-64]:
$ S_{\mathrm{r}}=|(1 / F I R) \cdot(\partial F I R / \partial T)|$
根据上述公式, 绘制该样品的相对灵敏度Sr随温度T的变化曲线如图9(b)所示, 从图中可以看出该样品在980 nm激光下在298~573 K温度范围的Sr随温度的升高逐渐降低, 在298 K时, 获得了最大值为1.03 %•K−1, 该计算结果相较于目前文献所报道的大部分Er3+/Yb3+共掺的温度传感材料的相对灵敏度都较高(具体对比数据见于表1).
表1 Er3+/Yb3+掺杂不同基质材料的基于荧光强度比的光学参数

Table 1 Optical parameters based on fluorescence intensity ratio for Er3+/Yb3+ doped in different matrix materials

Er3+/Yb3+掺杂不同基质材料 跃迁能级 温度范围/K 最大相对灵敏度/(%•K−1) 参考文献
NaYF4 2H11/2, 4S3/2 198~498 0.46 [64]
β-NaGdF4 2H11/2, 4S3/2 303~563 0.37 [65]
NaLnTiO4 2H11/2, 4S3/2 300~510 0.45 [66]
LiGa5O8 2H11/2, 4S3/2 300~480 0.35 [67]
Ba2SrLu4O9 2H11/2, 4S3/2
2H11/2, 4F9/2
303~573 0.99
0.88
[13]
Ca3Y2Ge3O12 2H11/2, 4S3/2
2H11/2, 4F9/2
293~473 1.29
1.09
[56]
ZnO 2H11/2, 4S3/2
2H11/2, 4F9/2
298~573 1.03
2.20
本文
除了Sr之外, 温度分辨率(δT)是评估测温材料性能的另一个关键参数. 它表示可识别的最小温差, 其计算公式如下[17]:
$\delta T=\frac{1}{S_{\mathrm{r}}} \cdot \frac{\delta F I R}{F I R}$
其中δFIR/FIR表示FIR的相对不确定度, 由实验装置的信噪比决定. 本研究采用的分光光度计(FLS 1000)可达到0.03%的δFIR/FIR. 根据计算得到的Sr值, 确定了 I525 nm/I546 nm的温度系数(δT), 如图9(b)所示. 在298 K时达到0.029 K的最低δT值, 展现出卓越的温度分辨率. 表明ZnO:Er3+/Yb3+纳米棒能够检测到比大多数当前稀土掺杂材料分辨率更低的温度变化.
为了评估样品测温的稳定性, 对其温度依赖性光谱进行了循环测试, 图9(a)的插图中展示了循环测量结果, 样品经过五次加热冷却循环后, 其荧光强度比(FIR)在298 K和573 K时基本保持稳定, 这充分证明了该材料具有优异的可重复性和可逆性.
FIR方程可转换为线性方程形式:
$\ln (F I R)=\ln C-\frac{\Delta E}{K_{\mathrm{B}} T}$
图10展示了ln(FIR)的线性拟合曲线. 斜率∆E/KB和截距lnC是评估材料光学传感性能的关键参数, 实验数据显示拟合斜率为911.15, 截距为2.94. 拟合度(R²)高达0.99, 通过计算, Er³⁺离子2H11/24S3/2能级间的带隙∆E约为633.27 cm⁻1, 该数值与文献报道的其他掺铒体系相近[35]. 由于能级发射峰间距大于200 cm⁻1, 该材料具有优异的光谱分辨率, 可满足高精度测量需求.
图10 FIR(I525 nm/I546 nm)的对数与绝对温度倒数的关系图

Figure 10 The graph of the logarithm of FIR (I525 nm/I546 nm) versus the reciprocal of absolute temperature

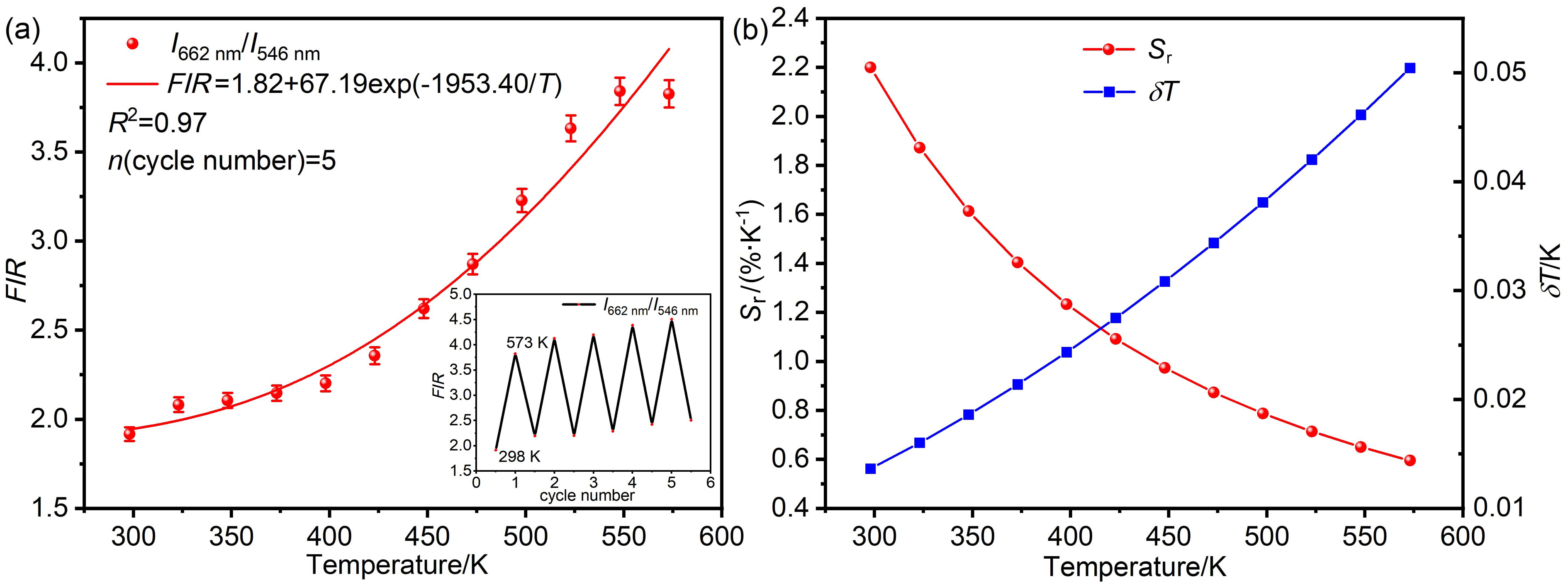
此外, 随着温度的升高546 nm(4S3/24I15/2)处的绿色发射光与662 nm(4F9/24I15/2)处的红色发射光衰减速率也存在显著差异, 但前文采用的FIR拟合方程在此已不再适用, 因为4S3/24F9/2能级属于非热耦合能级, 超出了玻尔兹曼定律适用的范围, 根据Struck和Fonger理论:
$I_{T}=I_{0} /\left[1+C \exp \left(-\Delta E / K_{\mathrm{B}} T\right)\right]$
其中I0为室温下的发射光强度, IT为各测量温度下的发射光强度, 常数C由测量系统和研究材料的各种物理参数构成, ∆E4S3/24F9/2两个能级之间的能量差. 根据前文提供的公式, 可通过Er3+2S3/2态向4F9/2态跃迁所涉及的多声子跃迁过程来估算非辐射跃迁速率. 通过以下方程可确定FIR与T之间的关联关系[56,63]:
$\begin{array}{l}F I R=I_{3} / I_{4} \\=\left[1+A_{4} \exp \left(-E_{4} / K_{\mathrm{B}} T\right)\right] /\left[1+A_{3} \exp \left(-E_{3} / K_{\mathrm{B}} T\right)\right] \\=B+D \exp \left(-\Delta E / K_{\mathrm{B}} T\right)\end{array}$
其中I3I4分别对应546 nm(4S3/24I15/2)和662 nm(4F9/24I15/2)的能级跃迁发射强度, BD为拟合常数. 图11(a)中绘制了FIR(I662 nm/I546 nm)随温度变化的曲线, 随着温度的升高FIR值逐渐升高, 并对该数据进行了拟合, 拟合结果良好, 拟合度(R²)达0.97, 拟合结果为如下公式:
$F I R=1.82+67.19 \exp (-1953.40 / T)$
图11 ZnO:Er3+/Yb3+分级纳米棒的(a) FIR(I662 nm/I546 nm)随温度的变化, 插图为FIR(I662 nm/I546 nm)的循环测试; (b)相对灵敏度Sr及温度分辨率δT随温度的变化

Figure 11 (a) Temperature dependence of the FIR(I662 nm/I546 nm) for the ZnO:Er3+/Yb3+ hierarchical nanorods. The inset shows the cycling test of the FIR(I662 nm/I546 nm). (b) Temperature dependence of the relative sensitivity Sr and temperature resolution δT

图11(b)显示了ZnO:Er3+/Yb3+非热耦合能级在298~573 K温度范围内Sr的计算结果随温度变化曲线. 在298 K时, 获得了Sr最大值为2.20 %•K−1. 根据计算得到的Sr值, 确定了I662 nm/I546 nm的温度系数在298 K时达到0.014 K的最低δT值, 图11(a)的插图中展示了循环测量结果, 样品经过五次加热冷却循环后, 其荧光强度比在298 K和573 K时呈现出轻微上升的趋势. 证明了该材料具有优异的光学测温稳定性.
基于FIR得到的Sr列在表1中, 并与其他文献报道的Er3+/Yb3+共掺杂光学温度传感材料的性能进行了比较, 显示出该材料优于其他材料, 这主要归因于其分级纳米棒结构引入了大量表面缺陷. 这些缺陷显著增强了电子和声子相互作用, 使得荧光强度比随温度变化的响应更为灵敏, 从而提升了材料的温度探测灵敏度[43-46].
此外, Er3+的荧光寿命(FL)对温度变化也十分敏感. 针对ZnO:Er3⁺/Yb3⁺分级纳米棒, 在298~573 K的温度范围内, 对其546 nm发射峰(4S3/24I15/2)的衰减曲线进行了监测. 根据平均寿命计算公式:
$\tau(t)=\int_{0}^{\infty} \tau I(t) \mathrm{d} t / \int_{0}^{\infty} I(t) \mathrm{d} t$
其中t为时间, I(t)为发射强度. 计算绘制如图12所示的平均寿命随温度变化的图像, 随着温度的升高, 样品的荧光寿命从19.63 μs逐渐缩短到13.64 μs. 由于温度的升高, 导致4F7/24S3/2的非辐射跃迁速率逐渐增加, 从而降低了荧光寿命.
图12 ZnO:Er3+/Yb3+分级纳米棒的546 nm处的平均寿命随温度的变化

Figure 12 Variation of the average lifetime at 546 nm for ZnO:Er3+/Yb3+ hierarchical nanorods with temperature

通过上述结论发现ZnO:Er3+/Yb3+的平均寿命与温度之间存在依赖关系, 因此其可以作为温度探测信号, 不同温度下的平均寿命的实验数据可以通过优化过后的Arrhenius型指数方程进行拟合:
$1 / \tau(T)=1 / \tau_{0}\left[1+C \exp \left(-\Delta E / K_{\mathrm{B}} T\right)\right]$
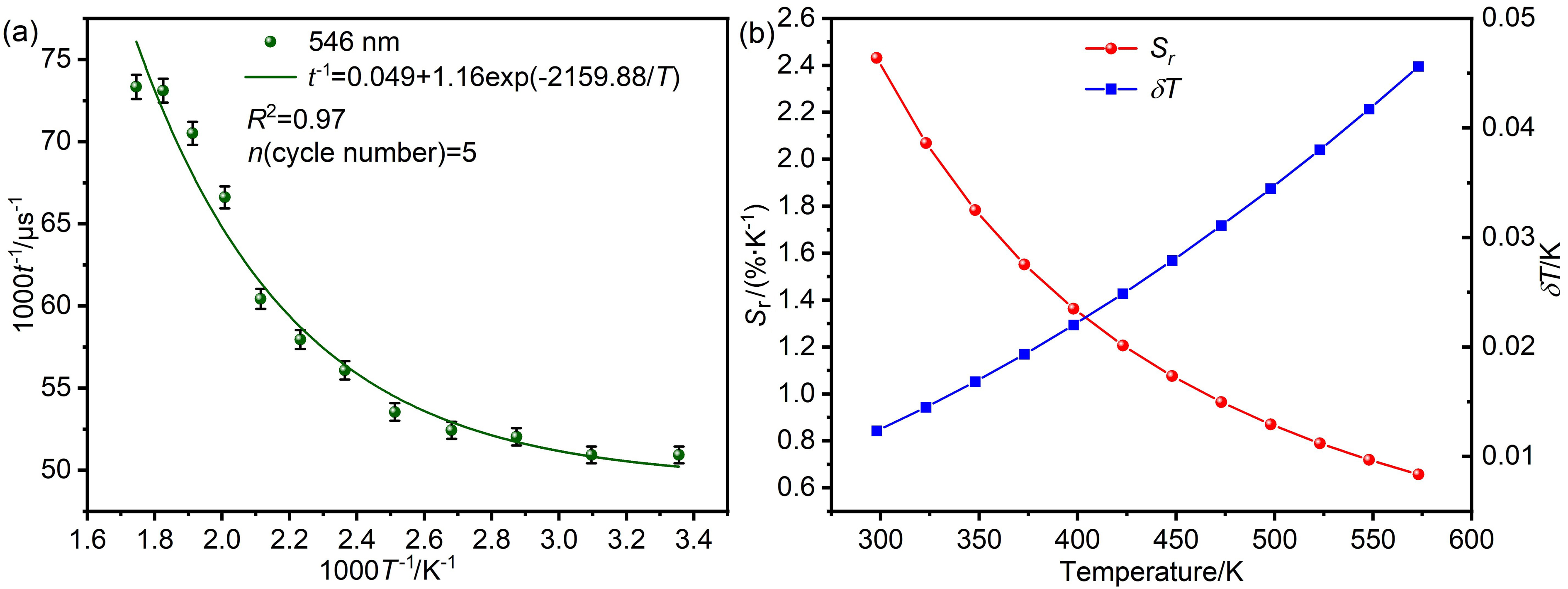
其中τ(T)和τ0分别是温度T和0 K下的发光寿命, C为常数, ∆E4F7/24S3/2能级之间的能级差, 根据图13(a)可以看出, 实验数据和Arrhenius型指数方程的拟合良好, 拟合度(R²)达0.97, 拟合结果如下:
$1 / \tau=0.049+1.16 \exp (-2159.88 / T)$
图13 ZnO:Er3+/Yb3+分级纳米棒的(a) 546 nm处的荧光寿命随温度的变化; (b)相对灵敏度Sr及温度分辨率δT随温度的变化

Figure 13 (a) Fluorescence lifetime variation at 546 nm of ZnO:Er3+/Yb3+ hierarchical nanorods with temperature; (b) Temperature dependence of the relative sensitivity Sr and temperature resolution δT

相应的相对灵敏度可以按如下公式进行计算[13,15-16]:
$S_{\mathrm{r}}=(\mathrm{d} \tau / \tau \mathrm{d} T)=\left(1-\tau \tau_{0}\right) \cdot\left(\Delta E / K_{\mathrm{B}} T^{2}\right)$
通过上述公式计算得到Sr与温度的关系式, 绘制图像如图13(b)所示, 拟合结果非常良好. 由图像可以得出, 在298 K温度下基于546 nm处寿命的最高相对灵敏度Sr为2.43 %•K−1. 根据计算得到的Sr值, 确定了温度系数在298 K时达到0.012 K的最低δT值. 该结果表明, ZnO:Er3+/Yb3+分级纳米棒上转换光学测温材料的性能优于近期报道的大多数测温材料(表2).
表2 Er3+/Yb3+掺杂不同基质材料的基于荧光寿命的光学参数

Table 2 Optical parameters based on fluorescence lifetime for Er3+/Yb3+ doped in different host materials

Er3+/Yb3+掺杂不同基质材料 跃迁能级 温度范围/K 最大相对灵敏度/(%•K−1) 参考文献
Ca2MgWO6 4S3/2 303~573 0.11 [16]
Ba9Y2Si6O24 4S3/2 303~483 0.14 [68]
Na2YMg2(VO4)3 4S3/2 323~573 0.09 [22]
Ba2SrLu4O9 4S3/2 303~573 0.36 [13]
Y1. 88WO6 4S3/2 303~543 0.10 [69]
Ca3Y2Ge3O12 4S3/2 293~473 1.03 [56]
ZnO 4S3/2 298~573 2.43 本文
综上所述, 所制备的ZnO:Er3+/Yb3+分级纳米棒具有显著的上转换发光特性和基于FIR和FL的高灵敏度的三模态光学测温性能. 通过整合这三种测温策略进行温度监测, 可使温度检测信号更为精确. 该光学测温材料工作温度范围从室温到573 K, 这个区间恰好覆盖人体生理温度范围, 完全满足生物医学应用需求. 此外, 其在工程领域应用显著, 既能用于制备温度敏感型发光涂料和涂层(应用于气动测试), 又能实现电子电路的热成像检测, 还能为微流控设备提供精准的温度测量[5].

3 结论

通过直流电弧放电等离子体法, 在氧气(O2)氛围中以Zn粉、Er2O3粉末和Yb2O3粉末为反应原料成功制备出了具有分级纳米棒结构的ZnO:Er3+/Yb3+光学测温材料. XRD、Raman、XPS以及EDS分析都表明大尺寸Er3+和Yb3+取代Zn2+掺杂进入ZnO晶格中. SEM结果显示该分级纳米棒结构是由粗壮主杆和众多从主杆面中生长出来的放射状分支构成, 每根纳米棒沿其全长保持直径均一, 平均直径在20~45 nm之间, 长度大约为500 nm. HRTEM结果表明[001]晶向是该ZnO纳米棒的主要生长方向. 上转换发光研究在可见光区525 nm、546 nm和662 nm均识别出特征发射峰, 这归因于Er3+离子的4f轨道内的电子跃迁. 通过测量计算得到样品的热耦合能级(2H11/24S3/2)和非热耦合能级(4S3/24F9/2)荧光强度比的相对灵敏度在298 K时取得最大值分别为1.03 %•K−1和2.20 %•K−1, 以及得到基于Er3+离子的4S3/2荧光寿命相对灵敏度在298 K时取得最大值2.43 %•K−1. 样品充分展现了在宽温区域范围内卓越的信号区分度以及测温性能的高灵敏度, 表明了其在光学测温领域的重要应用潜力.

4 实验部分

4.1 样品制备

本实验采用直流电弧等离子体法制备ZnO:Er3+/Yb3+分级纳米棒光学测温材料. 首先, 将Zn粉、Er2O3粉末与Yb2O3粉末按100∶1∶2的物质的量比混合均匀后放入压片模具中压制成直径1.8 cm, 高2 cm的锭, 将制得的锭放置于石墨埚中作为阳极, 并将钨杆作为阴极固定在反应原材料的上方一定距离, 将反应室内抽至真空后, 向反应室内充入20 kPa氧气用作反应气体, 打开循环水装置, 设定电源为80 A, 使石墨埚与钨杆接触的瞬间以产生弧光, 接着调整两电极之间的间距, 以保持电压稳定在20 V. 整个弧光放电过程持续40 s, 最终在冷凝壁上收集到白色毛刺状样品.

4.2 表征

采用丹东浩元仪器有限公司生产的DX-2700BH型X射线粉末衍射仪(X-ray powder diffraction, XRD) 来检测样品的物相与结构特征(Cu靶, Kα 辐射, λ=0.154178 nm); 采用JY-T800拉曼光谱仪(Raman spectroscopy)配备 532 nm 固态激光器, 平均输出功率控制在10 mW 以内. 采用 Thermo Escalab 250Xi 型 X 射线光电子能谱仪(X-ray photoelectron spectroscopy, XPS)分析样品的元素构成及其价态; 通过HITACHI S-4800型场发射扫描电子显微镜(scanning electron microscopy, SEM)和JEM-2200FS型透射电子显微镜(transmission electron microscopy, TEM), 对样品的微观形貌进行详细表征; 结合能量色散光谱(energy dispersive spectroscopy, EDS)对样品中元素进行半定量分析; 样品在可见光区域内的光致发光光谱由Edinburgh FLS1000型荧光光谱仪测得; 采用PE Lambda 750型光谱仪测试样品的紫外-可见漫反射光谱(diffuse reflectance spectrum, DRS).
(Cheng, B.)
[1]
Xiang G.; Liu X.; Zhang J.; Liu Z.; Liu W.; Ma Y.; Jiang S.; Tang X.; Zhou X.; Li L.; Jin Y. Inorg. Chem. 2019, 58, 8245.

DOI

[2]
Wei Z.; Liu G.; Dong X.; Wang J.; Yu W. Acta Chim. Sinica 2014, 72, 257 (in Chinese).

DOI

(魏忠杰, 刘桂霞, 董相廷, 王进贤, 于文生, 化学学报, 2014, 72, 257.)

DOI

[3]
Huang Q. Acta Chim. Sinica 2020, 78, 968 (in Chinese).

DOI

(黄清明, 化学学报, 2020, 78, 968.)

DOI

[4]
Hu X.; Shang X.; Huang P.; Zheng W.; Chen X. Acta Chim. Sinica 2022, 80, 244 (in Chinese).

DOI

(胡晓柯, 商晓颖, 黄萍, 郑伟, 陈学元, 化学学报, 2022, 80, 244.)

DOI

[5]
Sekulic M.; Dordevic V.; Ristic Z.; Medic M.; Dramicanin M. D. Adv. Opt. Mater. 2018, 6, 1800552.

DOI

[6]
Wang C.; Jin Y.; Yuan L.; Wu H.; Ju G.; Li Z.; Liu D.; Lv Y.; Chen L.; Hu Y. Chem. Eng. J. 2019, 374, 992.

DOI

[7]
Yang K.; Xu R.; Meng Q.; Chen L.; Zhao S.; Shen Y.; Xu S. J. Lumin. 2020, 222, 117145.

DOI

[8]
Dogan A.; Erdem M.; Esmer K.; Eryurek G. J. Non-Cryst. Solids 2021, 571, 121055.

DOI

[9]
Cheng Y.; Gao Y.; Lin H.; Huang F.; Wang Y. J. Mater. Chem. C 2018, 6, 7462.

DOI

[10]
Wu M.; Deng D.; Ruan F.; Chen B.; Xu S. Chem. Eng. J. 2020, 396, 125178.

DOI

[11]
Xu H.; Yu J.; Hu Q.; Han Q.; Wu W. J. Phys. Chem. Lett. 2022, 13, 962.

DOI

[12]
Wang X.; Kong X.; Yu Y.; Sun Y.; Zhang H. J. Phys. Chem. C 2007, 111, 15119.

DOI

[13]
Hu J.; Zhang X.; Zheng H.; Lu F.; Peng X.; Wei R.; Hu F.; Guo H. Ceram. Int. 2022, 48, 3051.

DOI

[14]
Cai Z.; Kang S.; Huang X.; Song X.; Xiao X.; Qiu J.; Dong G. J. Mater. Chem. C 2018, 6, 9932.

DOI

[15]
Feng M.; Li L.; Guo J.; Wang Q.; Pang T.; Guo H. J. Am. Ceram. Soc. 2024, 107, 4766.

DOI

[16]
Jiang Y.; Tong Y.; Chen S.; Zhang W.; Hu F.; Wei R.; Guo H. Chem. Eng. J. 2021, 413, 127470.

DOI

[17]
Cheng Z. L.; Meng M. Z.; Wang J. Y.; Li Z. Y.; He J.; Liang H.; Qiao X.; Liu Y. L.; Ou J. Nanoscale 2023, 15, 11179.

DOI

[18]
Liu S. Y.; Gao S.; Gao D.; Chen X.; Wang L.; Song W. B.; Zhu Y.; Yin H.; Tan J. Bull. Mater. Sci. 2025, 48, 76.

DOI

[19]
Zhang H.; Liang Y.; Yang H.; Liu S.; Li H.; Gong Y.; Chen Y.; Li G. Inorg. Chem. 2020, 59, 14337.

DOI

[20]
Xue J. P.; Yu Z. K.; Noh H. M.; Lee B. R.; Choi B. C.; Park S. H.; Jeong J. H.; Du P.; Song M. J. Chem. Eng. J. 2021, 415, 128977.

DOI

[21]
Chen D. Q.; Wan Z. Y.; Zhou Y.; Zhou X. Z.; Yu Y. L.; Zhong J. S.; Ding M. Y.; Ji Z. G. ACS Appl. Mater. Interfaces 2015, 7, 19484.

DOI

[22]
Tong Y.; Zhang W. N.; Wei R. F.; Chen L. P.; Guo H. Ceram. Int. 2021, 47, 2600.

DOI

[23]
Gao Y.; Cheng Y.; Hu T.; Ji Z.; Lin H.; Xu J.; Wang Y. J. Mater. Chem. C 2018, 6, 11178.

DOI

[24]
Kumar V.; Pandey A.; Swami S. K.; Ntwaeaborwa O. M.; Swart H. C.; Dutta V. J. Alloys Compd. 2018, 766, 429.

DOI

[25]
Li J.; Liu X.; Liu S. Mater. China 2024, 43, 1118 (in Chinese).

(李敬远, 刘欣, 刘胜杰, 中国材料进展, 2024, 43, 1118.)

[26]
Meng X.; Liu C.; Wu F.; Li J. J. Colloid Interface Sci. 2011, 358, 334.

DOI

[27]
Llusca M.; Lopez-Vidrier J.; Antony A.; Hernandez S.; Garrido B.; Bertomeu J. Thin Solid Films 2014, 562, 456.

DOI

[28]
Tiwari S. P.; Mahata M. K.; Kumar K.; Rai V. K. Spectrochim. Acta, Part A 2015, 150, 623.

DOI PMID

[29]
Liu Y.; Yang Q.; Xu C. J. Appl. Phys. 2008, 104, 064701.

DOI

[30]
Fuentes S.; Espinoza D.; Leon J. J. Nanosci. Nanotechnol. 2021, 21, 5714.

DOI PMID

[31]
Meng S.; Wang M.; B.; Xue Q.; Yang Z. Acta Chim. Sinica 2019, 77, 1184 (in Chinese).

DOI

(孟双艳, 王明明, 吕柏霖, 薛群基, 杨志旺, 化学学报, 2019, 77, 1184.)

DOI

[32]
Tong H.; Deng Y.; Li L.; Tao Z.; Shen L.; Zhang X. Acta Chim. Sinica 2025, 83, 110 (in Chinese).

DOI

(佟浩, 邓玉雪, 李磊, 陶铮, 申来法, 张校刚, 化学学报, 2025, 83, 110.)

DOI

[33]
Zhang X.; Zhang H.; Wei L.; Zhang Y.; Zhang B. J. Mater. Sci: Mater. Electron. 2018, 29, 15060.

DOI

[34]
Cao B. S.; Rino L.; Wu J. L.; He Y. Y.; Zhang Z. Y.; Feng Z. Q.; Dong B. Sens. Actuators, A 2017, 268, 110.

DOI

[35]
Tabanli S.; Eryurek G. Sens. Actuators, A 2019, 285, 448.

DOI

[36]
Anjana R.; Subha P. P.; Kurias M. K.; Jayaraj M. K. Methods Appl. Fluoresc. 2017, 6, 015005.

DOI

[37]
Elleuch R.; Salhi R.; Deschanvres J. L.; Maalej R. J. Appl. Phys. 2015, 117, 055301.

DOI

[38]
Jayachandraiah C.; Krishnaiah G. Adv. Mater. Lett. 2015, 6, 743.

DOI

[39]
Zhang R.; Yin P. G.; Wang N.; Guo L. Solid State Sci. 2009, 11, 865.

DOI

[40]
Jin Y.; Cui Q.; Wen G.; Wang Q.; Hao J.; Wang S.; Zhang J. J. Phys. D: Appl. Phys. 2009, 42, 215007.

DOI

[41]
Ahmad I. Sep. Purif. Technol. 2019, 227, 115726.

DOI

[42]
Senapati S.; Nanda K. K. J. Mater. Chem. C 2017, 5, 1074.

DOI

[43]
Shi L.; Bao K.; Cao J.; Qian Y. CrystEngComm 2009, 11, 1762.

[44]
Li Z.; Huang Y.; Wang X.; Wang D.; Wang X.; Han F. J. Mater. Sci. Technol. 2017, 33, 864.

[45]
Wang S.; Yu Y.; Zuo Y.; Li C.; Yang J.; Lu C. Nanoscale 2012, 4, 5895.

DOI

[46]
Mujtaba J.; Sun H.; Fang F.; Ahmad M.; Zhu J. RSC Adv. 2015, 5, 56232.

DOI

[47]
Han H.; Wang J.; Xu C.; Wang Q. J. Alloys Compd. 2022, 907, 164461.

DOI

[48]
Hu Q.; Tong G. Wu W.; Liu F.; Qian H.; Hong D. CrystEngComm 2013, 15, 1314.

DOI

[49]
Llusca M.; Lopez-Vidrier J.; Lauzurica S.; Sanchez-Aniorte M. I.; Antony A.; Molpeceres C.; Hernandez S.; Garrido B.; Bertomeu J. J. Lumin. 2015, 167, 101.

DOI

[50]
Sun Y.; Zou R.; Li W.; Tian Q.; Wu J.; Chen Z.; Hu J. CrystEngComm 2011, 13, 6107.

DOI

[51]
Huang Q.; Yu H.; Zhang X.; Yu J. Acta Chim. Sinica 2013, 71, 1071 (in Chinese).

DOI

(黄清明, 俞瀚, 张新奇, 俞建长, 化学学报, 2013, 71, 1071.)

DOI

[52]
Suo H.; Guo C.; Li T. J. Phys. Chem. C 2016, 120, 2914.

DOI

[53]
Xiang G.; Liu X.; Xia Q.; Jiang S.; Zhou X.; Li L.; Jin Y.; Ma L.; Wang X.; Zhang J. Inorg. Chem. 2020, 59, 11054.

DOI

[54]
Rai V. K.; Rai S. B. Spectrochim. Acta, Part A 2007, 68, 1406.

DOI

[55]
Gorohova E.; Basyrova L.; Venevtsev I.; Alekseeva I.; Khubetsov A.; Dymshits O.; Baranov M.; Tsenter M.; Zhilin A.; Eron’ko S.; Oreschenko E. J. Phys.: Conf. Ser. 2020, 1695, 012041.

DOI

[56]
Chen X.; Zhang Y.; Bu Y.; Chen Y.; Chen Y.; Fu J.; Li J.; Deng D. J. Lumin. 2023, 261, 119907.

DOI

[57]
Li Y.; Yang J.; Wang S.; Zheng J.; Zhao Y.; Zhou H.; Liu Y. J. Synth. Cryst. 2024, 53, 649 (in Chinese).

(李玉强, 杨健, 王帅, 郑基源, 赵炎, 周恒为, 刘玉学, 人工晶体学报, 2024, 53, 649.)

[58]
Li L.; Guo C.; Jiang S.; Agrawal D. K.; Li T. RSC Adv. 2014, 4, 6391.

DOI

[59]
Yu X.; Li H.; Gao B.; Jiang Y.; Li X.; Zheng R.; Wu H.; Song Z.; Fan J.; Zhao P. Mater. Rev. 2022, 36, 21050128 (in Chinese).

(于晓晨, 李华健, 高博扬, 蒋银林, 李小杰, 郑荣芳, 吴涵, 宋泽钰, 樊继斌, 赵鹏, 材料导报, 2022, 36, 21050128.)

[60]
Zhang H.; Dong X.; Jiang L.; Yang Y.; Cheng X.; Zhao H. J. Mol. Struct. 2020, 1206, 127665.

DOI

[61]
Cui Z.; Zhao L.; Wang T.; Cao J.; Qiao Y.; Pi C.; Fang Z.; Qiu J.; Xu X.; Yu X. CrystEngComm 2022, 24, 1764.

DOI

[62]
Chen Y.; Bu Y.; Chen X.; Zhang Y.; Shen Y.; Zhou L.; Deng D. J. Lumin. 2022, 250, 119121.

DOI

[63]
Guo J.; Shen Y.; Chen L.; Deng D.; Xu S. J. Lumin. 2024, 266, 120331.

DOI

[64]
Zhang M.; Zhai X.; Lei P.; Yao S.; Xu X.; Dong L.; Du K.; Li C.; Feng J.; Zhang H. J. Lumin. 2019, 215, 116632.

DOI

[65]
Chen D.; Wan Z.; Zhou Y.; Huang P.; Zhong J.; Ding M.; Xiang W.; Liang X.; Ji Z. J. Alloys Compd. 2015, 638, 21.

DOI

[66]
He D.; Guo C.; Jiang S.; Zhang N.; Duan C.; Yin M.; Li T. RSC Adv. 2015, 5, 1385.

DOI

[67]
Chen D.; Liu S.; Xu W.; Li X. J. Mater. Chem. C 2017, 5, 11769.

DOI

[68]
Zhang J.; Li X.; Chen G. Mater. Chem. Phys. 2018, 206, 40.

DOI

[69]
Zhang J.; Ji B.; Chen G.; Hua Z. Inorg. Chem. 2018, 57, 5038.

DOI PMID

文章导航

/