综述与进展

硒催化环己烯氧化制备1,2-环己二醇进展

  • 雍达明 , a, * ,
  • 袁广树 b ,
  • 刘永红 , b, * ,
  • 张旭 , b, *
展开
  • a 扬州工业职业技术学院化工学院 江苏扬州 225012
  • b 扬州大学化学化工学院 江苏扬州 225002

收稿日期: 2025-01-13

  修回日期: 2025-02-13

  网络出版日期: 2025-03-13

基金资助

江苏省自然科学基金(BK20191220)

江苏省高校优秀科技创新团队(2021)

江苏省国际合作(BZ2023038)

江苏省高等学校自然科学基金(19KJB210020)

Progress in Selenium Catalyzed Oxidation of Cyclohexene to Produce 1,2-Cyclohexanediol

  • Daming Yong , a, * ,
  • Guangshu Yuan b ,
  • Yonghong Liu , b, * ,
  • Xu Zhang , b, *
Expand
  • a School of Chemical Engineering, Yangzhou Polytechnic Institute, Yangzhou, Jiangsu 225012
  • b School of Chemistry and Chemical Engineering, Yangzhou University, Yangzhou, Jiangsu 225002

Received date: 2025-01-13

  Revised date: 2025-02-13

  Online published: 2025-03-13

Supported by

Natural Science Foundation of Jiangsu Province(BK20191220)

Jiangsu Provincial Excellent Science and Technology Innovation Team(2021)

Jiangsu Province International Cooperation Project(BZ2023038)

Natural Science Foundation of the Jiangsu Higher Education Institutions(19KJB210020)

Copyright

© 2025 Shanghai Institute of Organic Chemistry, Chinese Academy of Sciences

摘要

环己烯是一种易得的化工原料, 可通过苯选择性加氢来制备. 与环己烷相比, 引入烯烃官能团可使环己烯更易被氧化, 且反应位点选择性更佳. 因此, 环己烯氧化反应是合成尼龙-66系列产品及中间体的关键步骤, 有很好的工业应用价值. 近年来, 硒催化技术发展迅速, 与金属催化相比, 硒元素易代谢, 对生态安全, 且其催化氧化过程通常使用过氧化氢与分子氧为清洁的氧化剂, 对环境友好. 硒催化环己烯氧化技术, 有望应用于尼龙中间体合成中, 对均相以及非均相硒催化剂在该反应中的应用进行了综述, 从科学角度阐述其原理, 并对其产业化应用前景进行了展望.

关键词: ; 催化; 氧化; 环己烯; 尼龙

本文引用格式

雍达明 , 袁广树 , 刘永红 , 张旭 . 硒催化环己烯氧化制备1,2-环己二醇进展[J]. 有机化学, 2025 , 45(8) : 2767 -2772 . DOI: 10.6023/cjoc202501008

Abstract

Cyclohexene is an easily available chemical raw material that can be prepared by selective hydrogenation of benzene. Compared with cyclohexane, the introduction of the alkene functional group makes cyclohexene more active and can be oxidized with better selectivity. Therefore, the oxidation reaction of cyclohexene is the key step for the synthesis of nylon-66 series products and their intermediates. In recent years, selenium catalysis technology has developed rapidly. Compared with metal catalysis, selenium is easily metabolized and ecologically safe, and its catalytic oxidation process usually uses hydrogen peroxide and molecular oxygen as clean oxidants, which are environmentally friendly. The selenium-catalyzed oxidation technology of cyclohexene is expected to be applied in the synthesis of nylon intermediates. The relevant progresses including both homogeneous and heterogeneous catalysis are reviewed, the principle from a scientific perspective is expounded and prospects for its industrial application are provided.

环己烯可通过苯选择性加氢来制备, 是一种相对容易获得的化工原料[1]. 苯来源广泛, 既可来自于石油化工, 也可来自于煤化工, 这意味着其下游产品如环己烯的供应不太会受到限制, 在相关产业应用中不容易被“卡脖子”[2]. 以环己烯为原料来合成基础化学品, 其产业链相对较稳定, 不易受全球供应的影响而剧烈波动. 环己烯的一个显著特点是反应选择性高, 使得它在有机合成等领域具有重要的应用价值. 它可用于多种有机合成反应, 也常被用作油类萃取的溶剂等.
另一方面, 硒具有优异的氧化还原性能, 可催化氧元素转移[3]. 硒催化技术在近年来发展迅速[4]. 硒作为生命所必需的微量元素, 具有易代谢的特性, 对生态安全较为有利[5]. 硒催化的氧化过程通常采用过氧化氢与分子氧作为清洁的氧化剂[6], 具有环境友好、反应条件温和、副产物无害以及成本低廉等优势, 适合绿色化学和可持续化工应用[7]. 以分子氧为氧化剂的氧化反应, 还更加安全, 适合大规模应用[8]. 特别值得一提的是, 硒催化环己烯氧化可以生成1,2-环己二醇. 1,2-环己二醇是尼龙合成的中间体[9], 作为二醇类化合物, 它在纤维化工生产中具有关键作用[10]. 除此之外, 1,2-环己二醇还可用于合成聚酯、二丙烯酸酯、环氧树脂稀释剂及邻苯二酚等多种其他化学品, 其应用领域相当广泛. 鉴于硒催化环己烯氧化技术的重要性和潜在应用价值, 本文将对均相以及非均相硒催化剂在该反应中的应用进行综述, 并从科学角度阐述其原理, 同时对未来的发展进行展望.

1 有机硒催化环己烯氧化反应

早在1981年, 就有文献报道利用有机硒氧化物作为氧化剂, 在锇催化下由烯烃氧化制备二醇[11]. 然而, 该方法因其高成本以及锇试剂的高毒性, 并不适合大规模应用. 实际上, 在该工作中, 硒化合物是作为氧化试剂来使用, 而非催化剂. 直到2012年, Santi等[12]报道了硒催化下烯烃可被过氧化氢氧化产生二醇. 次年, 俞磊课题组[13]报道, 在催化量的二苯基二硒醚的存在下, 环己烯可以被过氧化氢氧化生成1,2-环己二醇(Scheme 1). 通过大量的对比实验, 他们最终确定了该反应在乙腈溶剂中最容易发生, 其反应温度以30 ℃最佳. 经过42 h反应, 环己烯转化率可达99%, 而1,2-环己二醇的选择性可达96%. 该反应条件温和, 且理论上无副产物产生, 原子利用率可达100%, 符合绿色化学精神. 值得一提的是, 他们还进行了放大合成实验, 将反应规模扩大到0.2 mol, 顺利合成了20.1 g 1,2-环己二醇, 分离产率达到87%, 气相色谱纯度超过95%. 这一结果表明了该工作在工业生产中有着较高的应用价值.
图式1 环己烯在催化量二苯基二硒醚存在下被过氧化氢氧化

Scheme 1 Oxidation of cyclohexene by H2O2 in the presence of catalytic amount of (PhSe)2

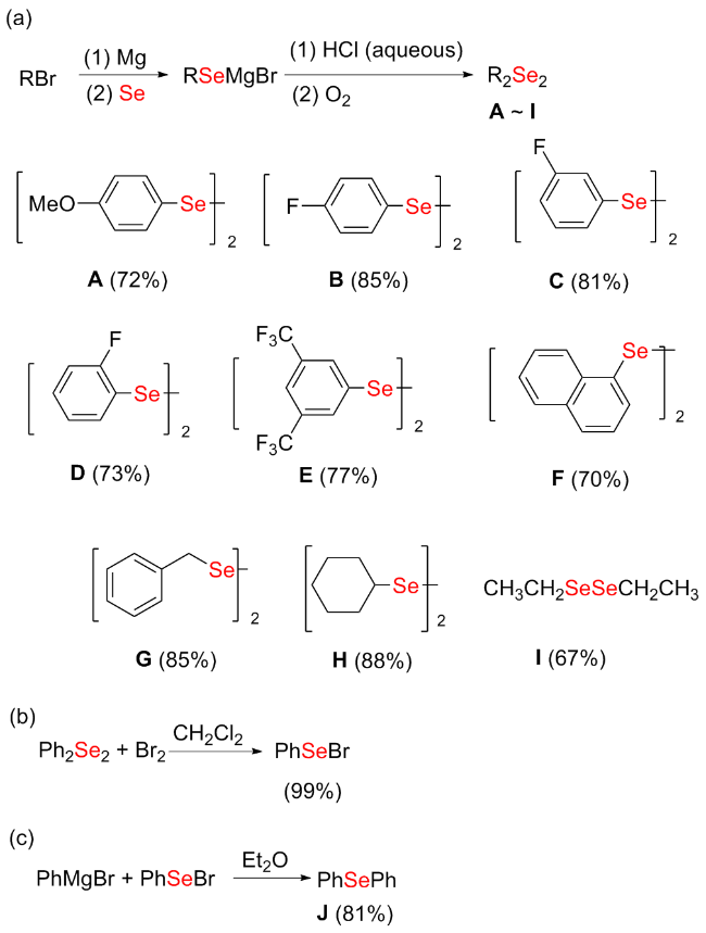
次年, 该团队[14]对有机硒催化环己烯氧化反应进行了更深入的研究. 他们合成了各种有机硒化合物供筛选与比较. 如Scheme 2所示, 以卤代烃为原料, 可以制备各种取代的格氏试剂. 格氏试剂与硒粉反应可以生成相应的硒盐, 这一步为“插硒”反应. 硒盐被盐酸酸化后会产生相应的硒醇与硒酚. 由于硒醇与硒酚具有恶臭, 因此未对其进行分离, 而是直接导入氧气, 将之氧化为相应的二硒醚(Scheme 2, a). 二硒醚通常是黄色的固体(小分子二硒醚为黄色油状物), 化学性质稳定, 且一般不像硒醇或硒酚那样具有恶臭. 因此, 它们可以作为试剂长期保存. 由于卤代烃是常见的精细化学品, 来源广泛且价格低廉, 这种制备取代二硒醚的方法很实用. 利用该方法可合成各种典型的二硒醚, 包括富电子二硒醚(A)、缺电子二硒醚(B~E)、大位阻的二硒醚(F)、苄基二硒醚(G)以及烷基二硒醚(HI). 在二氯甲烷溶液中, 二苯基二硒醚可与等物质的量的溴反应, 几乎定量地生成褐色的苯基硒溴(Scheme 2, b). 在苯基硒溴中, 硒元素是正价的, 能够被亲核试剂进攻. 因此, 可以利用苯基硒溴与硒盐的反应制备硒醚J (Scheme 2, c).
图式2 各种二硒醚与硒醚的合成

Scheme 2 Synthesis of the diselenides and selenides

研究表明, 连有吸电子基团的二硒醚更有利于环己烯氧化反应, 而使用带推电子基团的二硒醚则会导致1,2-环己二醇产率下降[14]. 例如, 在催化量的二苯基二硒醚存在下, 环己烯被过氧化氢氧化, 以91%的产率得到1,2-环己二醇. 如使用4,4'-二甲氧基二苯基二硒醚(A)则1,2-环己二醇的产率降至38%. 相比之下, 使用缺电子二硒醚E效果最好, 其1,2-环己二醇的产率可提升至96%. 使用烷基取代二硒醚反应结果也不佳. 动力学研究表明, 在缺电子二硒醚E的存在下, 反应被加速了, 大约3 h接近平衡, 而使用二苯基二硒醚则反应达到平衡的时间超过40 h. 相比之下, 使用二苯基硒醚J则效果不佳, 仅仅观察到痕量1,2-环己二醇的生成. 在不添加含硒化合物的条件下, 该反应不会发生. 这些实验结果说明添加含硒化合物在环己烯氧化制备1,2-环己二醇反应中发挥了关键的作用[14].

2 硒催化环己烯氧化制备1,2-环己二醇的反应机理研究

俞磊课题组[15]对硒催化氧化反应中硒活性物种的变化进行了深入的研究. 他们采用硒核磁共振(77Se NMR)技术来更加直接地观察硒活性中间体(Scheme 3). 研究表明, 过氧化氢可以将二苯基二硒醚氧化为苯亚硒酸(K)[16], 而在77Se NMR谱图中, 能清晰观察到δ 1171处有信号峰, 这与已知文献[16]报道的苯亚硒酸数据一致. 使用过量的过氧化氢则可以在反应体系的77Se NMR谱图中δ 1024处观察到信号峰, 该峰是过氧苯亚硒酸(L)的信号[17]. 在硒催化氧化反应中还会在δ 1248处捕捉到信号, 是过氧苯亚硒酸酐中间体(M)[15]. 该物种经过水解可以得到过氧苯亚硒酸(L), 但仅凭水解反应是不能生成苯亚硒酸(K)的. 只有在还原剂的存在下, 过氧苯亚硒酸(L)才可以被还原成苯亚硒酸(K). 在反应中, 有机反应物和有机溶剂都可以充当还原剂.
图式3 硒催化反应中硒活性物种的核磁共振研究

Scheme 3 77Se NMR study of the active selenium species in catalysis

上述77Se NMR分析表明, 含硒化合物可以在不同氧化与还原态之间相互变换, 其中, 二硒醚被过氧化氢氧化后产生苯亚硒酸. 苯亚硒酸与过氧苯亚硒酸可以通过氧化还原反应互相转化. 也正是利用这一原理, 可以让硒充当“氧载体”的角色. 即含硒化合物通过不断地被氧化剂氧化, 以及又不断地被反应物还原, 源源不断地将氧化剂中的氧转移到底物中, 以合成目标化合物, 并实现硒催化剂循环. 分析表明, 在二硒醚参与的环己烯氧化反应中, 真正的催化剂应该是苯亚硒酸或过氧苯亚硒酸. 结合77Se NMR测试、有机硒化合物取代基对反应性能影响的测试以及文献报道, 作者提出了硒催化环己烯氧化制备1,2-环己二醇的硒催化反应机理(Scheme 4)[14].
图式4 硒催化环己烯氧化制备1,2-己二醇反应机理

Scheme 4 Mechanism of the selenium-catalyzed oxidation of cyclohexene to produce 1,2-cyclohexanediol

在该反应中, 二苯基二硒醚首先被过氧化氢氧化为过氧苯亚硒酸酐(M). 该物质水解后产生过氧苯亚硒酸 (L). 过氧苯亚硒酸(L)将环己烯氧化成环氧环己烷, 自身则转化为苯亚硒酸(K). 苯亚硒酸(K)被过氧化氢氧化重新生成过氧苯亚硒酸(L), 从而再次启动催化循环. 由于反应的硒中间体KL都是较强的酸, 反应环境呈酸性. 因此, 环氧环己烷可水解生成1,2-环己二醇. 该水解过程是水通过氧鎓正离子从背面亲核进攻, 因此产生的1,2-环己二醇是反式构型[14]. 在该反应中, 缺电子硒催化剂的亲电性更强, 更易与环己烯反应(Scheme 3). 苯亚硒酸化学性质稳定. 与脂肪族亚硒酸相比, 芳香族亚硒酸的硒原子难以脱落. 此外, 该反应中无需添加其它试剂, 且产物和溶剂都可以通过蒸馏加以分离. 因此, 反应后蒸馏脱除产物与溶剂的残渣, 可以作为硒催化剂直接投入到下一轮反应. 硒催化剂可以重复使用5次而不失活[14].

3 固载硒催化

固载型催化剂易于从反应体系中分离, 这使得催化剂的回收和再利用变得相对简单. 其中, 载体可以为无机载体和聚合物载体. 从技术角度来看, 由于聚合物自身的优势, 聚合物负载催化剂加工方便、成型容易, 可制成颗粒、薄膜、织物或多孔板等各种形状, 且活性基团和催化中心元素不易脱落, 从而可适应固定床、流化床以及微反应器等各种工艺. 因此, 在硒催化剂研究领域, 人们同样尝试将硒固载化, 开发固载硒试剂. 早在1983年, 就有利用固载硒氧化剂氧化环己烯制备1,2-环己二醇的报道[18], 但相关固载硒催化反应技术在数十年后才被开发出来. 聚苯乙烯是一种常见的聚合物材料, 通过将聚苯乙烯微球溶胀后, 采用正丁基锂处理, 可使其芳环锂化. 锂化后的聚合物可以与二甲基二硒醚反应, 从而实现甲硒基化, 再经过后续溴化与氧化反应, 最终制得聚苯乙烯负载硒酸催化剂(Scheme 5)[19].
图式5 聚苯乙烯负载硒酸催化剂制备

Scheme 5 Preparation of polystyrene supported selenic acid catalyst

研究发现, 固载化后的硒催化剂表现出与均相硒催化剂不同的性能. 例如, X射线光电子能谱(XPS)分析表明, 在小分子硒化合物中, 很少见的六价硒与二价硒在固载硒催化剂中可以稳定存在[19]. 由于这两种硒物种非常活泼, 可以发生归中反应生成稳定的四价硒, 而在固载硒催化剂中, 六价硒与二价硒物种被绑定在载体上, 难以相互接触, 从而都可以被保留下来. 该固载催化剂可用于催化环己烯氧化制备1,2-环己二醇. 有趣的是, 当使用不足量过氧化氢(0.5 equiv.)反应时, 得到的1,2-环己二醇产率为70%, 超过了理论值50% (Scheme 6, a). 该反应若在氮气中进行, 则产率不会超过理论值(Scheme 6, b). 当不使用过氧化氢, 而直接把反应体系暴露于空气中加热, 则可以18%的产率获得1,2-环己二醇(Scheme 6, c), 显然空气作为氧化剂参与了反应. 与过氧化氢相比, 空气更加廉价、温和和安全, 因此, 固载硒催化技术有望实现用空气作氧化剂的氧化反应, 从而降低反应成本, 提高合成反应的安全性. 这一现象归功于固载硒催化剂中活性硒物种被保留下来, 从而可以活化空气中的分子氧参与氧化反应[19].
图式6 聚苯乙烯负载硒酸催化环己烯氧化制备1,2-环己二醇

Scheme 6 Preparation of 1,2-cyclohexanediol catalyzed by polystyrene supported selenic acid

随着研究的深入, 人们逐渐发展出更多的硒化方法. 例如, 利用硼氢化钠在乙醇中还原, 可以获得-2价硒源NaHSe[20]. 该物质是强亲核试剂, 可以与各种正电中心反应[21], 且反应后的SeH官能团仍然具有亲核性, 可以再次发生亲核反应. 利用这一原理, 使用带有两个离去基团的二卤代烃与NaHSe反应, 即可合成聚硒醚(Scheme 7)[22]. 与聚苯乙烯负载硒酸相比, 聚硒醚更容易合成, 也同样具有较好的催化活性. 在过氧化氢氧化环己烯制备1,2-环己二醇的反应中, 使用聚硒醚为催化剂, 可以将过氧化氢用量降至理论量的90%, 而采用分子氧作为部分氧化剂, 可以使反应后的体系中不含过氧化物, 后处理操作更加安全[23].
图式7 聚硒醚合成

Scheme 7 Synthesis of the polyselenide

研究表明, 与均相硒催化剂以及聚苯乙烯负载硒酸催化剂不同, 聚硒醚本身并不直接催化环己烯氧化. 这是由于硒活性位点嵌入到高分子链中, 不易与环己烯接触所致. 通过水杨酸捕获实验可以证明, 该反应过程中产生大量羟基自由基[23-24]. 结合其它实验结果与文献报道可以推断, 聚硒醚催化的环己烯氧化反应采取的是类似“羟基自由基泵”的原理, 它在反应中与过氧化氢或氧气以及水反应氧化硒位点, 随后通过硒-氧键的均裂源源不断地产生羟基自由基, 而羟基自由基作为活性物种可以直接与环己烯反应, 生成最终产物1,2-环己二醇(Scheme 8)[23].
图式8 环己烯氧化“羟基自由基泵”机理

Scheme 8 “Hydroxyl radical pump” mechanism for the oxidation of cyclohexene

4 结论与展望

硒化合物因其独特的性能被广泛应用[25], 硒催化反应作为近年来新兴的催化技术崭露头角. 硒催化环己烯氧化制备1,2-环己二醇的研究方向, 因其产物的关键地位而备受瞩目. 目前, 均相硒催化与非均相硒催化环己烯氧化技术已为人们所掌握, 但仍存在若干难点亟待攻克. 就技术层面而言, 对于均相硒催化剂, 如果催化剂本身难回收, 则应在提高催化剂活性方面从而提高其转化数方面下功夫; 在非均相催化剂制备中, 同样存在这些问题. 虽然以NaHSe作为硒源来合成聚硒醚的方式简便易行, 而且聚硒醚具备出色的催化活性, 但是在NaHSe制备进程中易析出恶臭的硒化氢与易燃易爆的氢气, 给大规模生产工艺路线的设计带来了严峻挑战. 近期, 借助路易斯酸催化硒-硒键异裂生成硒正离子, 并基于该硒正离子的亲电取代反应达成聚苯乙烯硒化的技术已然问世[26]. 倘若此技术能够运用于环己烯氧化催化剂的设计与制备之中, 将能够有效弥补NaHSe硒化技术的缺陷. 此外, 如能使用可降解聚合物作为硒催化剂载体, 则可以使催化剂后处理更加环保[27]. 在聚合物负载硒催化剂设计中, 可通过引入不同电性与位阻的取代基来调节其催化剂活性, 从而获得比无机物负载硒催化剂更多的催化剂设计参数[28]. 从科学视角出发, 硒催化环己烯氧化反应中的部分机制, 诸如硒活化分子氧的具体原理等尚未得以清晰阐释. 弄清这些原理, 有助于设计更为优良的催化剂, 以实现完全采用分子氧作为氧化剂的全新方法. 此外, 近期研究发现, 利用硒-金属协同催化能够显著提升催化氧化效率[29]. 根据这一原理, 相关硒-金属复合催化剂材料也被开发出来[30]. 因光催化反应具有高效、节能、环境友好且可在常温常压下进行的优点, 适合工业应用[31]. 将硒引入到光催化材料中, 利用硒的载氧性能提高其催化氧化活性, 也是未来发展的一个新方向. 若将上述这些技术应用于催化体系的设计中, 可为开发适配工业应用的硒催化剂提供有力的支撑, 但需重点关注催化剂成本控制、大规模生产工艺的优化, 以及与传统工业流程的兼容性等. 未来研究可探索高效、低成本的硒催化剂, 并结合连续流反应器等先进技术, 提升反应效率和产物的选择性. 此外, 开发绿色可持续的工艺路线, 进一步降低能耗和环境影响, 将是实现工业化应用的关键方向.
(Zhao, C.)
[1]
(a) Wu, T.; Zhang, P.; Jiang, T.; Yang, D.; Han, B. Sci. China: Chem. 2015, 58, 93.

(b) Wang, Z.; Zhang, Q.; Lu, X.; Chen, S.; Liu, C. Chin. J. Catal. 2015, 36, 400.

(c) Zhou, G.; Dou, R.; Bi, H.; Xie, S.; Pei, Y.; Fan, K.; Qiao, M.; Sun, B.; Zong, B. J. Catal. 2015, 332, 119.

[2]
Chen, Y.; Zhou, H.; Yu, L. Chin. Sci. Bull. 2024, 69, 370.

[3]
(a) Cao, H.; Xiao, X.; Zhang, X.; Zhang, Y.; Yu, L. Chin. Chem. Lett. DOI: 10.1016/j.cclet.2025.110924.

(b) Chen, C.; Cao, Y.; Wu, X.; Cai, Y.; Liu, J.; Xu, L.; Ding, K.; Yu, L. Chin. Chem. Lett. 2020, 31, 1078.

[4]
(a) Xiao, X.; Guan, C.; Xu, J.; Fu, W.; Yu, L. Green. Chem. 2021, 23, 4647.

(b) Cao, H.; Qian, R.; Yu, L. Catal. Sci. Technol. 2020, 10, 3113.

(c) Singh, F. V.; Wirth, T. Catal. Sci. Technol. 2019, 9, 1073

(d) Shao, L.; Li, Y.; Lu, J.; Jiang, X. Org. Chem. Front. 2019, 6, 2999

(e) Guo, R.; Liao, L.; Zhao, X. Molecules 2017, 22, 835.

[5]
(a) Rayman, M. P. Lancet 2012, 379, 1256.

(b) Wu, Y.; Chen, J.-Y.; Ning, J.; Jiang, X.; Deng, J.; Deng, Y.; Xu, R.; He, W.-M. Green Chem. 2021, 23, 3950.

(c) Xian, L.; Li, Q.; Li, T.; Yu, L. Chin. Chem. Lett. 2023, 34, 107878.

(d) Ji, H.-T.; Wang, K.-L.; Ouyang, W.-T.; Luo, Q.-X.; Li, H.-X.; He, W.-M. Green Chem. 2023, 25, 7983.

(e) Ding, W.; Wang, S.; Gu, J.; Yu, L. Chin. Chem. Lett. 2023, 34, 108043.

(f) Chen, X.; Zhuang, S.; Yan, W.; Zeng, Z.; Feng, J.; Cao, H.; Yu, L. Chin. Chem. Lett. 2024, 35, 109635.

(g) Liu, J.; Shi, Q.; Xue, Y.; Zheng, M.; Liu, L.; Geng, T.; Gong, D.; Zhao, M. Chin. Chem. Lett. 2024, 35, 109239.

(h) Gu, J.; Gu, J.; Yu, L. Chin. Chem. Lett. 2025, 36, 110727.

[6]
(a) Li, X.; Zhou, H.; Qian, R.; Zhang, X.; Yu, L. Chin. Chem. Lett. 2025, 36, 110036.

(b) Yong, D.; Zuo, T.; Qian, R.; Wei, Z.; Tian, J.; Zhang, X. New J. Chem. 2024, 48, 19530.

(c) Li, X.; Hua, H.; Liu, Y.; Yu, L. Org. Lett. 2023, 25, 6720.

(d) Zhou, W.; Xiao, X.; Liu, Y.; Zhang, X. Chin. J. Org. Chem. 2022, 42, 1849 (in Chinese).

(周文见, 肖欣蕊, 刘永红, 张旭, 有机化学, 2022, 42, 1849.)

DOI

(e) Wang, T.; Jing, X.; Chen, C.; Yu, L. J. Org. Chem. 2017, 82, 9342.

[7]
(a) Li, H.-F.; Yu, K.-W.; Jing, X.-B.; Duan, L.; Zhang, Y.-Y. Rare Met. 2024, 43, 1337.

(b) Zhu, Z.-D.; Han, Y.-Z.; Jing, X.-B. Rare Met. 2024, 43, 4585.

(c) Song, H.-Y.; Xiao, F.; Jiang, J.; Wu, C.; Ji, H.-T.; Lu, Y.-H.; Wang, K.-L.; He, W.-M. Chin. Chem. Lett. 2023, 34, 108509.

(d) Sun, H.; Shi, Y.; Fu, W.; Yu, L. ChemistrySelect 2021, 6, 7599.

[8]
(a) Xin, C.; Jiang, J.; Deng, Z.-W.; Ou, L.-J.; He, W.-M. Acat Chim. Sinica 2024, 82, 1109 (in Chinese).

(辛翠, 蒋俊, 邓紫微, 欧丽娟, 何卫民, 化学学报, 2024, 82, 1109.)

DOI

(b) Xu, Y.-D.; Xing, Y.-M.; Ji, H.-T.; Ou, L.-J.; He, W.-B.; Peng, J.; Wang, J.-S.; Jiang, J.; He, W.-M. J. Org. Chem. 2024, 89, 17701.

(c) Lu, Y.-H.; Wu, C.; Hou, J.-C.; Wu, Z.-L.; Zhou, M.-H.; Huang, X.-J.; He, W.-M. ACS Catal. 2023, 13, 13071.

(d) Wang, F.; Yang, C.; Shi, Y.; Yu, L. Mol. Catal. 2021, 514, 111849.

(e) Li, P.; Cao, K.; Jing, X.; Liu, Y.; Yu, L. New J. Chem. 2021, 45, 17241.

[9]
Yu, L.; Cao, K.; Deng, X.; Yang, Y. CN 108530318, 2018.

[10]
(a) Jing, X.; Hu, L.; Sun, Y.; Wang, Y.; Xia, W.; Wang, J. Synth. Technol. Appl. 2024, 39, 41 (in Chinese).

(景旋, 胡利如, 孙玉洁, 王余伟, 夏伟峰, 王金堂, 合成技术及应用, 2024, 39, 41.)

(b) Guo, Y.; Wang, S.; Huang, L.; Si, H. Synth. Technol. Appl. 2024, 39, 10 (in Chinese).

(郭颖, 王树霞, 黄珞玮, 司虎, 合成技术及应用, 2024, 39, 10.)

[11]
Abatjoglou, A. G.; Bryant, D. R. Tetrahedron Lett. 1981, 22, 2051.

[12]
Santi, C.; Di Lorenzo, R.; Tidei, C.; Bagnoli, L.; Wirth, T. Tetrahedron 2012, 68, 10530.

[13]
Yu, L.; Wang, J.; Chen, T.; Ding, K.; Pan, Y. Chin. J. Org. Chem. 2013, 33, 1096 (in Chinese)

(俞磊, 王俊, 陈天, 丁克鸿, 潘毅, 有机化学, 2013, 33, 1096.)

DOI

[14]
Yu, L.; Wang, J.; Chen, T.; Wang, Y.; Xu, Q. Appl. Organomet. Chem. 2014, 28, 652.

[15]
Yu, L.; Wu, Y.; Cao, H.; Zhang, X.; Shi, X.; Luan, J.; Chen, T.; Pan, Y.; Xu, Q. Green Chem. 2014, 16, 287.

[16]
Dowd, D.; Gettins, P. Magn. Reson. Chem. 1988, 26, 1.

[17]
Syper, L.; Mlochowski, J. Tetrahedron 1987, 43, 207.

[18]
Taylor, R. T.; Flood, L. A. J. Org. Chem. 1983, 48, 5160.

[19]
Wang, Y.; Yu, L.; Zhu, B.; Yu, L. J. Mater. Chem. A 2016, 4, 10828.

[20]
(a) Zhou, W.; Li, P.; Liu, J.; Yu, L. Ind. Eng. Chem. Res. 2020, 59, 10763.

(b) Yu, L.; Chen, C. CN 106495105, 2016.

(c) Wang, Q.; Li, P.; Li, T.; Liu, M.; Zuo, S.; Liu, J.; Xu, L.; Zhang, X.; Yu, L. Ind. Eng. Chem. Res. 2021, 60, 8659.

(d) Yu, L.; Li, P.; Li, T.; Wang, Q.; Zuo, S. CN 113004344, 2021.

[21]
(a) Yong, D.; Tian, J.; Yang, R.; Wu, Q.; Zhang, X. Chin. J. Org. Chem. 2024, 44, 1343 (in Chinese).

(雍达明, 田杰, 杨瑞洪, 吴启超, 张旭, 有机化学, 2024, 44, 1343.)

DOI

(b) Yu, L.; Sun, H.; Xiao, X.; Xu, J.; Gong, D.; Zhao, M. CN 114794314, 2022.

(c) Yu, L.; Sun, H.; Chen, X.; Cao, H.; Liu, Y. CN 114794146, 2022.

(d) Cao, H.; Li, P.; Jing, X.; Zhou, H. Chin. J. Org. Chem. 2022, 42, 3890 (in Chinese).

(曹洪恩, 李培梓, 景崤壁, 周宏伟, 有机化学, 2022, 42, 3890.)

DOI

(e) Chen, X.; Mao, J.; Liu, C.; Chen, C.; Cao, H.; Yu, L. Chin. Chem. Lett. 2020, 31, 3205.

(f) Liu, C.; Mao, J.; Zhang, X.; Yu, L. Catal. Commun. 2020, 133, 105828.

(g) Zhu, Z.; Wang, W.; Zeng, L.; Zhang, F.; Liu, J. Catal. Commun. 2020, 142, 106031.

(h) Jing, X.; Chen, C.; Deng, X.; Zhang, X.; Wei, D.; Yu, L. Appl. Organomet. Chem. 2018, 32, e4332.

[22]
Yu, L.; Cao, H.; Zhang, X.; Chen, Y.; Yu, L. Sustainable Energy Fuels 2020, 4, 730.

[23]
Huang, J.; Qian, R.; Wang, S.; Cao, H. Chin. J. Org. Chem. 2021, 41, 1639 (in Chinses).

(黄杰军, 钱蓉蓉, 王爽, 曹洪恩, 有机化学, 2021, 41, 1639.)

DOI

[24]
(a) Chen, Y.; Chen, C.; Liu, Y.; Yu, L. Chin. Chem. Lett. 2023, 34, 108489.

(b) Li, W.; Wang, F.; Shi, Y.; Yu, L. Chin. Chem. Lett. 2023, 34, 107505.

(c) Zhang, Y.; Li, W.; Hu, Z.; Jing, X.; Yu, L. Chin. Chem. Lett. 2024, 35, 108938.

[25]
(a) Jiang, J.; Wang, K.-L.; Li, X.; Wu, C.; Ji, H.-T.; Chen, X.; He, W.-M. Chin. Chem. Lett. 2023, 34, 108699.

(b) Luo, Q.-X.; Ji, H.-T.; Lu, Y.-H.; Wang, K.-L.; Ou, L.-J.; He, W.-M. J. Org. Chem. 2023, 88, 16790.

(c) Wu, Z.-L.; Chen, J.-Y.; Tian, X.-Z.; Ouyang, W.-T.; Zhang, Z.-T.; He, W.-M. Chin. Chem. Lett. 2022, 33, 1501.

(d) Liu, M.; Zhang, X.; Chu, S.; Ge, Y.; Huang, T.; Liu, Y.; Yu, L. Chin. Chem. Lett. 2022, 33, 205.

(e) Li, P.; Qi, Z.; Yu, L.; Zhou, H. Catal. Sci. Technol. 2022, 12, 2241.

[26]
(a) Xu, Q.; Xiao, X.; Zhou, R.; Zhang, X.; Yu, L. Mater. Lett. 2022, 319, 132247.

(b) Yu, L.; Xu, Q.; He, W. CN 113773418, 2024.

[27]
(a) Meng, X.; Qi, Z.; Yu, L.; Zhang, Y. Chin. J. Org. Chem. 2023, 43, 112 (in Chinese).

(孟祥坤, 祁正源, 俞磊, 张亦旸, 有机化学, 2023, 43, 112.)

DOI

(b) Meng, X.; Zhang, Y.; Zhou, H.; Yu, L. ACS Sustainable Chem. Eng. 2022, 10, 7658.

[28]
(a) Zeng, Z.; Chen, Y.; Zhu, X.; Yu, L. Chin. Chem. Lett. 2023, 34, 107728.

(b) Liu, Y.; Tang, D.; Cao, K.; Yu, L.; Han, J.; Xu, Q. J. Catal. 2018, 360, 250.

[29]
(a) Zhang, X.; Zhou, R.; Qi, Z.; Chen, L.; Yu, L. React. Chem. Eng. 2022, 7, 1990

(b) Cao, Z.; Deng, X.; Chen, C.; Liu, Y.; Yu, L.; Jiang, X. React. Chem. Eng. 2021, 6, 454.

(c) Chen, C.; Cao, Z.; Zhang, X.; Li, Y.; Yu, L.; Jiang, X. Chin. J. Chem. 2020, 38, 1045.

(d) Chen, C.; Zhang, X.; Cao, H.; Wang, F.; Yu, L.; Xu, Q. Adv. Synth. Catal. 2019, 361, 603.

[30]
(a) Zeng, Y.; Chen, T.; Zhang, X.; Chen, Y.; Zhou, H.; Yu, L. Appl. Organomet. Chem. 2022, 36, e6658.

(b) Zhang, X.; Zuo, T.; Yu, L. ChemistrySelect 2022, 7, e202203514.

(c) Zhu, Z.; Sun, S.; Tang, S.; Chu, S.; Zhang, X. Mol. Catal. 2021, 515, 111923.

(d) Liu, F.; Zhan, J.; Sun, Y.; Jing, X. Chin. J. Org. Chem. 2021, 41, 2099 (in Chinese).

(刘峰, 詹杰, 孙扬阳, 景崤壁, 有机化学, 2021, 41, 2099.)

DOI

[31]
(a) Jiang, Y.-F.; Ouyang, W.-T.; Ji, H.-T.; Hou, J.-C.; Li, T.; Luo, Q.-X.; Wu, C.; Ou, L.-J.; He, W.-M. J. Org. Chem. 2024, 89, 13970.

(b) Xu, Q.; Ou, W.; Hou, H.; Wang, Q.; Yu, L.; Su, C. Org. Lett. 2024, 26, 4098.

(b) Huang, X.-J.; Ji, H.-T.; Li, X.; Luo, Q.-X.; Li, T.; Ou, L.-J.; He, W.-M. J. Org. Chem. 2024, 89, 10654.

(c) Song, H.-Y.; Jiang, J.; Wu, C.; Hou, J.-C.; Lu, Y.-H.; Wang, K.-L.; Yang, T.-B.; He, W.-M. Green Chem. 2023, 25, 3292.

(d) Qiu, C.; Sun, Y.; Xu, Y.; Zhang, B.; Zhang, X.; Yu, L.; Su, C. ChemSusChem 2021, 14, 3344.

(e) Deng, X.; Qian, R.; Zhou, H.; Yu, L. Chin. Chem. Lett. 2021, 32, 1029.

文章导航

/