综述与进展

CF3-亚胺酰基亚砜叶立德在环化反应中的应用研究进展

  • 陈晓培 , a, , * ,
  • 王清龙 a, ,
  • 侯学会 a ,
  • 王川川 a ,
  • 马志伟 a ,
  • 张京玉 , b, *
展开
  • a 河南牧业经济学院理学部 郑州 450046
  • b 河南中医药大学药学院 郑州 450046

†共同第一作者.

收稿日期: 2025-02-22

  修回日期: 2025-03-29

  网络出版日期: 2025-05-07

基金资助

河南省科技攻关(242102111109)

河南省科技攻关(242102320263)

河南省科技攻关(252102110213)

河南省科技攻关(252102110013)

Recent Progress on the Application of CF3-Imidoyl Sulfoxonium Ylides in Annulation Reactions

  • Xiaopei Chen , a, * ,
  • Qinglong Wang a ,
  • Xuehui Hou a ,
  • Chuanchuan Wang a ,
  • Zhiwei Ma a ,
  • Jingyu Zhang , b, *
Expand
  • a Faculty of Science, Henan University of Animal Husbandry and Economy, Zhengzhou 450046
  • b School of Pharmacy, Henan University of Traditional Chinese Medicine, Zhengzhou 450046

†These authors contributed equally to this work.

Received date: 2025-02-22

  Revised date: 2025-03-29

  Online published: 2025-05-07

Supported by

Key Scientific and Technological Project of Henan Province(242102111109)

Key Scientific and Technological Project of Henan Province(242102320263)

Key Scientific and Technological Project of Henan Province(252102110213)

Key Scientific and Technological Project of Henan Province(252102110013)

Copyright

© 2025 Shanghai Institute of Organic Chemistry, Chinese Academy of Sciences

摘要

CF3-亚胺酰基亚砜叶立德是一类重要的含三氟甲基官能团的氮杂合成子, 不仅可以作为偶极子参与串联环化反应, 还可以作为卡宾前体参与碳氢键活化/串联环化反应, 构建不同结构的含三氟甲基的环状骨架. 另外, 其具有易于制备、使用方便、安全性高、反应活性好等特点. 因此, 近年来CF3-亚胺酰基亚砜叶立德在三氟甲基修饰的杂环化合物的合成应用中受到了极大的关注. 基于此, 系统综述了CF3-亚胺酰基亚砜叶立德在环化反应及杂环化学中的应用, 并对该领域的研究前景进行了展望.

本文引用格式

陈晓培 , 王清龙 , 侯学会 , 王川川 , 马志伟 , 张京玉 . CF3-亚胺酰基亚砜叶立德在环化反应中的应用研究进展[J]. 有机化学, 2025 , 45(8) : 2796 -2814 . DOI: 10.6023/cjoc202502027

Abstract

CF3-imidoyl sulfoxonium ylides represent a significant class of nitrogen-containing trifluoromethylated synthons. These compounds not only function as versatile dipoles in cascade annulation but also serve as efficient carbene precursors via C—H bond activation/annulation for constructing diverse trifluoromethyl-decorated cyclic architectures. Additionally, they exhibit advantages such as easy preparation, convenient handling, high safety, and excellent reactivity. Consequently, CF3- imidoyl sulfoxonium ylides have driven growing interest in their application toward synthesizing trifluoromethylfun- ctionalized heterocycles. This review systematically summarizes the recent advances in the utilization of CF3-imidoyl sulfoxonium ylides in annulation reactions and heterocycle synthesis, while also outlining future research opportunities in this emerging field.

杂环骨架广泛存在于天然产物、药物及生物活性分子中, 是许多常见药物的重要组成部分, 例如抗癌药物、抗病毒药物、激素、核苷、维生素等[1]. 其中氟烷基取代的杂环化合物对药物化学的发展做出了重大贡献, 因此关于氟烷基修饰的杂环化合物的开发和生物活性评价引起了科研工作者的极大兴趣[2-6].
作为重氮化合物的替代物, 亚砜叶立德相较于重氮化合物具有更易制备、更安全等优点, 且表现出于重氮化合物相似的反应性, 被广泛应用于杂环类化合物的合成中[7-8]. 2021年, 程国林课题组[9]首次报道了一种新型的亚砜叶立德CF3-亚胺酰基亚砜叶立德(TFISYs) (Scheme 1), 随后研究发现, CF3-亚胺酰基亚砜叶立德与酰基亚砜叶立德性质相似, 其参与的环加成反应为氟烷基修饰的杂环化合物的合成提供了新的途径. 最近, CF3-亚胺酰基亚砜叶立德在杂环化合物的构建中引起了越来越多的关注. CF3-亚胺酰基亚砜叶立德不仅可以作为卡宾前体参与金属催化的环化反应, 还可以在不添加金属催化剂的条件下, 作为偶极子经亲核取代反应串联环化过程构建杂环化合物. 刘占祥、张玉红[10]及张建涛[11]分别总结了亚砜叶立德参与的碳氢键活化/环化反应及亚砜叶立德在合成五元/六元氮杂环中的应用进展, 但关于CF3-亚胺酰基亚砜叶立德参与的环化反应暂未有综述报道. 因此, 本文将结合近年来关于CF3-亚胺酰基亚砜叶立德的研究报道, 分别按其作为偶极子及卡宾前体, 对其参与合成氟烷基修饰的杂环骨架的环化反应研究进展进行归纳总结.
图式1 CF3-亚胺酰基亚砜叶立德的制备

Scheme 1 Preparation of CF3-imidoyl sulfoxonium ylides (TFISYs)

1 作为偶极子参与的环化反应

2021年, 程国林课题组[9]首次合成了CF3-亚胺酰基亚砜叶立德, 并研究其与1,3-二羰基化合物的环化反应(Scheme 2). 研究发现, 无需额外添加过渡金属催化剂, 在溴化锂的作用下CF3-亚胺酰基亚砜叶立德1与1,3-二羰基化合物2可发生[3+2]环化反应, 高效地构建了一系列1,2,5-三取代5-三氟甲基取代的吡咯类化合物3, 反应的副产物仅为二甲基亚砜和水. 当使用苯基亚胺酰基亚砜叶立德为底物时, 没有得到目标产物, 说明三氟甲基取代基对提高亚胺酰基亚砜叶立德反应活性有重要作用.
图式2 TFISYs与1,3-二羰基化合物的[3+2]环化反应

Scheme 2 [3+2] annulation of TFISYs with 1,3-dicarbonyl compounds

在该研究的启发下, 程斌等[12]研究了α-烯醇化二硫酯类化合物4与CF3-亚胺酰基亚砜叶立德的环加成反应(Scheme 3). 与程国林等研究不同的是, 反应未能得到活性亚甲基进攻CF3-亚胺酰基亚砜叶立德启动环加成反应对应的产物, 而是通过二硫酯中硫原子进攻质子化的CF3-亚胺酰基亚砜叶立德, 得到硫醚中间体, 然后经分子内N-Michael加成/逆-Michael加成得到一系列4-三氟甲基-2,3-二氢噻唑类化合物5. 该反应在不需要任何添加剂的条件下, 可以以中等到良好的收率得到目标产物.
图式3 TFISYs与α-烯醇化二硫酯的[3+2]环化反应

Scheme 3 [3+2] annulation of TFISYs with α-enolic dithioesters

2022年, 吴晓峰与陈铮凯等[13]报道了CF3-亚胺酰基亚砜叶立德与原位生成的1,2-二氮杂二烯的[4+1]环化反应, 合成了一系列三氟甲基取代的吡唑衍生物7 (Scheme 4). 在碳酸钠的作用下, α-卤代腙6发生消除反应原位生成1,2-二氮杂二烯, CF3-亚胺酰基亚砜叶立德作为一元合成子与1,2-二氮杂二烯发生[4+1]环化反应得到4,5-二氢吡唑中间体I, 随后发生双1,3-氢迁移得到目标产物7, 该反应策略具有条件温和、底物适用性广等优点.
图式4 TFISYs与α-卤代腙的[4+1]环化反应

Scheme 4 [4+1] annulation of TFISYs with α-halo hydrazones

2022年, 程国林等[14]报道了CF3-亚胺酰基亚砜叶立德与环丙烯酮9的[3+3]环化反应, 为多取代的三氟甲基哌啶酮类化合物的合成提供了新的策略(Scheme 5). 该反应不需要添加任何金属催化剂、添加剂, 在无溶剂条件下直接加热到100 ℃, 便可以以优秀的产率得到一系列氟烷基取代的哌啶酮类化合物10. 值得一提的是, 当使用环丙烯硫酮底物时, 反应可以顺利地得到对应的哌啶硫酮类产物. 作者提出了可能的反应机理, CF3-亚胺酰基亚砜叶立德共振为偶极子中间体1', 对环丙烯酮进行亲核加成得到环丙烯中间体I, 随后经开环反应、分子内亲核加成得到中间体III, 最后离去一分子二甲基亚砜得到三氟甲基哌啶酮产物10.
图式5 TFISYs与环丙烯酮的[3+3]环化反应

Scheme 5 [3+3] annulation of TFISYs with cyclopropenones

2022年, 熊彪课题组[15]报道了利用邻溴苯酚11和CF3-亚胺酰基亚砜叶立德为底物的一锅法两步反应合成3-三氟甲基-1,4-苯并噁嗪12的方法(Scheme 6). 首先在溴化锂的作用下发生苯酚对CF3-亚胺酰基亚砜叶立德的插入反应, 随后在钯催化剂的作用下发生分子内的Buchwald-Hartwig偶联反应, 以良好的产率得到目标产物. 值得一提的是, 溴代萘酚、2-溴-3-羟基吡啶、2-溴苯硫酚等底物也能顺利地发生该反应.
图式6 TFISYs与邻溴苯酚的一锅法环化反应

Scheme 6 One pot annulation of TFISYs with o-bromophenol

2023年, 吴晓峰与陈铮凯等[16]报道了CF3-亚胺酰基亚砜叶立德与异硫氰酸酯13的脱硫环化反应, 为三氟甲基取代的喹啉胺类骨架的构建提供了新的方法(Scheme 7). 该合成方法不需要添加额外的金属催化剂或碱, 仅需加热便可以优秀的产率得到目标产物, 但以烷基异硫氰酸酯及异氰酸酯为底物时, 反应没能得到对应的产物. 在反应过程中, CF3-亚胺酰基亚砜叶立德首先共振为偶极子中间体1', 对异硫氰酸酯进行亲核加成反应得到中间体I, 经分子内亲核取代反应得到不稳定的三元环中间体II, 然后经脱硫化得到酮亚胺中间体III, 最后经分子内环化、异构化得到产物14.
图式7 TFISYs与异硫氰酸酯的[5+1]环化反应

Scheme 7 [5+1] annulation of TFISYs with isothiocyanates

随后, 该课题组[17]又研究了CF3-亚胺酰基亚砜叶立德参与的多组分环化反应, 将CF3-亚胺酰基亚砜叶立德、胺和(三苯基磷鎓基)二氟乙酸内盐(PDFA)混合加热, 反应在添加硫单质或不添加硫单质的条件下均能顺利地得到2-三氟甲基-4-胺基喹啉类化合物14 (Scheme 8). 其中, PDFA原位生成的二氟卡宾作为C1合成子参与反应, 芳香胺和脂肪胺都能顺利地反应得到目标产物. 机理研究表明, 原位生成的二氟硫酰I、异硫氰酸酯13或偕二氟烯烃XII都有可能是反应中间体, 在此基础上, 作者提出了4种可能的反应机理.
图式8 TFISYs参与的多组分环化反应

Scheme 8 The multi-component annulation involving TFISYs

程国林等[18]研究发现当使用三氟甲基亚硫酸钠为添加剂, 并加入过量的异硫氰酸酯时, CF3-亚胺酰基亚砜叶立德可与异硫氰酸酯发生多组分[2+2+1]环化反应, 得到一系列结构新颖的噻唑烷-4-硫酮类化合物16 (Scheme 9). 其中反应温度和异硫氰酸酯的投料量可能是导致反应化学选择性不同的主要原因. 在该反应条件下, CF3-亚胺酰基亚砜叶立德先对异硫氰酸酯碳氮双键进行亲核加成得到中间体I, 然后与另一分子异硫氰酸酯进行加成得到中间体II, 经分子内亲核取代反应关环得到中间体III, 最后异构化为产物16.
图式9 TFISYs与异硫氰酸酯的[2+2+1]环化反应

Scheme 9 [2+2+1] annulation of TFISYs with isothiocyanates

2023年, 吴晓峰与陈铮凯课题组[19]实现了碱促进的CF3-亚胺酰基亚砜叶立德与原位生成的氰亚胺的 [3+3]环化反应, 为三氟甲基取代的1,4-二氢-1,2,4-三嗪类化合物18的直接合成提供了新的合成策略(Scheme 10).
图式10 TFISYs与腈亚胺的[3+3]环化反应

Scheme 10 [3+3] annulation of TFISYs with nitrile imines

考虑到1,4-吡啶硫内鎓盐19也是一种具有多个反应位点且反应性能优异的偶极子[20-22], 吴晓峰、陈铮凯课题组[23]和胥波课题组[24]先后研究了CF3-亚胺酰基亚砜叶立德与1,4-吡啶硫内鎓盐19的环化反应(Scheme 11). 吴晓峰课题组研究发现, 在不需要添加任何催化剂的条件下, 两者可以顺利地发生[(3+3)-1]环化反应,高效地合成了一系列三氟甲基取代的吡咯类化合物20. 在该反应中, 1,4-吡啶硫内鎓盐中的吡啶片段作为离去基团参与反应, 而更富电子的吡啶片段对反应产率有益, 他们选择了对甲氧基取代的1,4-吡啶硫内鎓盐作为最优底物. 胥波等选择了对二甲氨基取代的1,4-吡啶硫内鎓盐21作为最优底物, 同时添加碳酸钠和溴化锂作为添加剂, 得到了类似的反应结果, 值得一提的是在该反应条件下烷基取代的亚胺酰基亚砜叶立德也能顺利参与反应. 此外, 胥波等还研究了CF3-亚胺酰基亚砜叶立德与丁炔酸二酯22、三氟甲基丙炔酸酯23的形式 [4+2]环化反应(Scheme 12), 在氘代实验的基础上, 作者推测在反应过程中, CF3-亚胺酰基亚砜叶立德首先发生甲基迁移生成亚胺偶极子中间体I, 该中间体作为四元合成子与丁炔酸二酯发生[4+2]环化反应, 最终消除一分子CH3SOH得到二氢吡啶产物24.
图式11 TFISYs与1,4-吡啶硫内鎓盐的[(3+3)-1]环化反应

Scheme 11 [(3+3)-1] annulation of TFISYs with pyridinium 1,4-zwitterionic thiolates

图式12 TFISYs与炔酸酯的[4+2]环化反应

Scheme 12 [4+2] annulation of TFISYs with acetylenic ester

2023年, 刘培念课题组[25]报道了CF3-亚胺酰基亚砜叶立德参与的分步形式[4+2]环化反应, 这是CF3-亚胺酰基亚砜叶立德作为C2合成子参与环化反应的首例报道(Scheme 13). CF3-亚胺酰基亚砜叶立德在室温下可与1,2-二氮杂-1,3-二烯25发生加成反应得到亚胺酰基烯基腙产物26, 在该反应条件下产物未能直接发生环化反应. 随后添加三乙胺为碱, 加热条件下发生环化反应得到三氟甲基取代的哒嗪类产物27.
图式13 TFISYs与1,2-二氮杂-1,3-二烯的分步[4+2]环化反应

Scheme 13 Stepwise [4+2] annulation of TFISYs with 1,2-diaza-1,3-diene

2023年, 吴晓峰与陈铮凯课题组[26]还报道了CF3-亚胺酰基亚砜叶立德与偶氮类化合物的反应(Scheme 14). 当使用偶氮二甲酸酯28为底物时, 反应经氮氮键断裂重排过程发生形式[5+1]环化反应得到多取代的二氢喹喔啉类化合物29; 当使用偶氮二甲酰胺30为底物时, 反应发生酰基迁移得到二亚胺类化合物31. 反应不需要添加催化剂和氧化剂, 仅需碱性条件下加热便可以以中等到优秀的产率得到目标产物, 但偶氮二异丁腈和偶氮苯不能发生该反应.
图式14 TFISYs与偶氮化合物的[5+1]环化反应

Scheme 14 [5+1] annulation of TFISYs with azo compounds

2024年, 赵玉龙课题组[27]首次报道了CF3-亚胺酰基亚砜叶立德作为碳自由基前体参与[3+2]环加成反应(Scheme 15). 在可见光及光催化剂的作用下, CF3-亚胺酰基亚砜叶立德发生碳硫键断裂, 生成亚胺酰基碳自由基II, 然后与烯基叠氮化合物发生加成反应得到亚胺自由基III, 随后在一价铜的作用下得到亚胺负离子中间体, 最后发生分子内环化反应得到三氟甲基取代的二氢吡咯烷产物33.
图式15 TFISYs与烯基叠氮化合物的[3+2]环化反应

Scheme 15 [3+2] annulation of TFISYs with alkenyl azide compounds

2024年, 陈铮凯等[28]报道了CF3-亚胺酰基亚砜叶立德与原位生成的邻甲亚基苯醌的形式[4+1]环化反应(Scheme 16). 在碳酸钾的作用下, 2-Ts烷基苯酚34可发生消除反应生成邻甲亚基苯醌中间体, 然后与CF3-亚胺酰基亚砜叶立德发生环化反应, 以优异的非对映选择性得到顺式CF3-亚胺酰基二氢苯并呋喃类产物35.
图式16 TFISYs与邻甲亚基苯醌的[4+1]环化反应

Scheme 16 [4+1] annulation of TFISYs with o-methylidene quinone

邻羟苯基甲亚基对苯醌36常作为氧杂四元合成子参与[4+m]环化反应, 为多种杂环化合物的构建提供了高效的策略[29-30]. 2024年, 陈铮凯课题组[31]与陈亚静课题组[32]分别独立报道了CF3-亚胺酰基亚砜叶立德与邻羟苯基甲亚基对苯醌36的[4+1]环化反应(Scheme 17). 陈铮凯课题组添加醋酸钠为碱, 以二氯甲烷为溶剂, 在50 ℃下反应以优秀的收率和非对映选择性得到一系列反式1,2-二氢苯并呋喃类化合物37. 陈亚静等发现当将温度提高至80 ℃, 无需添加任何添加剂, 仅通过延长反应时间, 两者就可以顺利地发生该[4+1]环化反应, 而对反应的产率和非对映选择性几乎没有影响.
图式17 TFISYs与邻羟苯基甲亚基对苯醌的[4+1]环化反应

Scheme 17 [4+1] annulation of TFISYs with o-hydroxy- phenyl-p-quinone methides

同年, 程国林课题组[33]报道了对甲苯磺酸促进的硫氰化钠对CF3-亚胺酰基亚砜叶立德的插入环化反应, 为药物分子相关的N-芳基-4-氟烷基-噻唑-2-胺类化合物38的合成提供了新的合成方法(Scheme 18). 该转化过程不需要添加过渡金属催化剂, 反应过程中构建了三根新的化学键(两根碳氮键、一根碳硫键). 有趣的是将三氟甲基更换为二氟一氯甲基反应仍可以以54%的产率得到目标产物, 但更换为二氟一溴甲基或烷基等取代基时反应不能发生, 说明三氟甲基的吸电子性对反应的顺利进行有重要作用.
图式18 TFISYs与硫氰化钠的插入环化反应

Scheme 18 Insertion/annulation of TFISYs with sodium thiocyanate

2024年, 刘培念课题组[34]报道了一种新颖的底物调节的亚胺酰基亚砜叶立德与重氮化合物参与的[4+1]环化反应(Scheme 19). 该反应策略不需要添加任何催化剂, 当使用α-芳基重氮酮39作为底物时, 反应在光照条件下进行, 芳基亚胺酰基亚砜叶立德与CF3-亚胺酰基亚砜叶立德均可顺利发生该环化反应, 得到2-茚酮类化合物40, 但CF3-亚胺酰基亚砜叶立德产率略低; 当使用2-重氮-1,3-二酮类化合物41为底物时, 反应在加热条件下进行, 仅CF3-亚胺酰基亚砜叶立德可顺利发生环化反应, 得到2(2H)-呋喃酮类化合物42. 在反应中, 重氮化合物在光照或加热条件下首先发生重排原位生成烯酮化合物, 与亚胺酰基亚砜叶立德加成得到活性偶极中间体, 随后选择性地生成碳碳键或碳氧键构建五元环体系.
图式19 底物调节的TFISYs与重氮化合物的环化反应

Scheme 19 Substrate-regulated annulation of TFISYs with diazo compounds

随后, 该课题组[35]又实现了CF3-亚胺酰基亚砜叶立德与叠氮化合物43在可见光促进下的串联环化反应(Scheme 20). 该反应不需要额外添加光催化剂和金属催化剂, 首先在加热条件下, 叠氮化物发生Curtius重排原位生成异氰酸酯45, 然后与CF3-亚胺酰基亚砜叶立德发生加成反应得到α-酰化亚砜叶立德中间体I, 随后在光照条件下发生分子内环化反应, 最后经1,3-氢迁移得到2-三氟甲基吲哚类化合物44. 该合成方法操作简单, 原料易得, 为2-三氟甲基吲哚类化合物的高效合成提供了新的策略. 值得一提的是, 产物经过氧化环化可以转化为吲哚取代的噁唑类化合物46.
图式20 可见光促进的TFISYs与叠氮化合物的串联环化反应

Scheme 20 Visible light-induced cascade annulation of TFISYs with azide compounds

2 作为卡宾前体参与的环化反应

过渡金属催化的导向碳氢键活化反应具有反应效率高、选择性好、原子经济等优点, 已经发展成为高效构筑碳碳键和碳杂键的新方法[36]. 其中, 卡宾前体参与的碳氢键活化反应已经发展为一种新的碳氢键转化类型和方法[37]. 近年来, 国内外科研工作者利用亚砜叶立德作为卡宾前体, 成功合成了一系列在药物活性分子中普遍存在的杂环骨架[38]. 2022年, 程国林等[39]利用CF3-亚胺酰基亚砜叶立德作为卡宾前体, 实现了钌催化的苯甲酸47与CF3-亚胺酰基亚砜叶立德的碳氢键活化/环化反应, 以中等到良好的收率得到了一系列的3-三氟甲基异喹诺啉酮类化合物48 (Scheme 21). 其中苯甲酸中的羧基作为弱共价导向基团, 促进了邻位碳氢键活化的进行. 首先苯甲酸与钌催化剂发生弱的氧配位, 随后发生邻位碳氢键活化得到五元环钌中间体I, 该中间体捕获CF3-亚胺酰基亚砜叶立德生成钌卡宾II, 经迁移插入反应得到六元环钌中间体III, 质子化得到烷基化中间体IV, 在碱作用下经烯胺化、分子内酰胺化最终得到异喹诺啉酮产物48.
图式21 钌催化的TFISYs与苯甲酸的环化反应

Scheme 21 Ru-catalyzed annulation of TFISYs with benzoic acids

随后, 吴晓峰与陈铮凯课题组[40]利用CF3-亚胺酰基亚砜叶立德作为卡宾前体, 实现了钌催化的α-萘酚49与CF3-亚胺酰基亚砜叶立德的碳氢键活化/环化反应, 得到了一系列2-三氟甲基-2,3-二氢苯并[de]色烯-2-胺类化合物50 (Scheme 22). 其中酚羟基作为弱共价导向基团, 实现α-萘酚peri位选择性碳氢键活化, 随后发生亲核加成反应得到目标产物. 有趣的是, 当使用4-羟基香豆素51或4-羟基-1-甲基喹诺啉酮53作为底物时, 反应能顺利发生peri位碳氢键活化, 但随后经分子内脱水分别得到吡喃酮[2,3,4-ij]异喹啉-2(4H)-酮(52)和苯并[de][1,6]萘吡啶-2(4H)-酮(54).
图式22 钌催化的TFISYs与α-萘酚的环化反应

Scheme 22 Ru-catalyzed annulation of TFISYs with α-naphthols

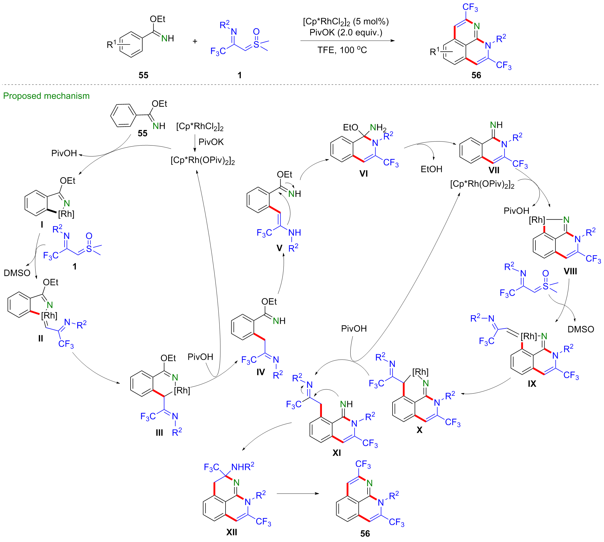
考虑到苯甲亚胺酸酯55既可以作为导向基团又可以参与环化反应, 吴晓峰与陈铮凯等[41]实现了铑催化的苯甲亚胺酸酯与CF3-亚胺酰基亚砜叶立德的双碳氢键活化串联环化反应, 合成得到了一系列三氟甲基取代的苯并[de][1,8]萘吡啶类化合物56 (Scheme 23). 该新颖的合成策略在高效地生成四根新的化学键的同时构建了两个氮杂环, 此外, 作者还研究了稠环芳香族产物的光电学性质. 2024年, 程国林课题组[42]利用[Cp*RhCl2]2作为催化剂, 醋酸钠作为碱, 六氟锑酸银作为添加剂,甲苯中100 ℃下反应, 也得到了类似的反应结果. 苯甲亚胺酸酯与铑催化剂发生环金属化得到五元环铑中间体I, 该中间体捕获CF3-亚胺酰基亚砜叶立德得到铑卡宾中间体II, 经迁移插入反应、质子化得到烷基化中间体IV, 然后经烯胺化、分子内环化、消除反应得到中间体VII, 在亚胺键的配位作用下经相同过程再次发生碳氢键活化/串联环化反应得到中间体XII, 最后发生消除反应脱去一分子胺得到目标产物56.
图式23 铑催化的TFISYs与苯甲亚胺酸酯的环化反应

Scheme 23 Rh-catalyzed annulation of TFISYs with benzimidates

2023年, 吴晓峰和陈铮凯等[43]开发了铑(III)催化的苯甲酰乙腈类化合物57的碳氢/碳碳键活化串联环化反应, 以CF3-亚胺酰基亚砜叶立德作为卡宾前体, 与苯甲酰乙腈类底物发生[3+3]环化反应, 合成得到了一系列三氟甲基取代的异喹诺啉酮类化合物58 (Scheme 24).
图式24 铑催化的TFISYs与苯甲酰乙腈的环化反应

Scheme 24 Rh-catalyzed annulation of TFISYs with benzoylacetonitriles

2023年, 吴晓峰与陈铮凯等[44]实现了铑(III)催化的2-芳基-3H-吲哚59与CF3-亚胺酰基亚砜叶立德的串联碳氢键活化/[4+1]环化反应, 以51%~86%的产率合成了一系列CF3-亚胺酰基取代的11H-异吲哚并[2,1-a]吲哚类化合物60 (Scheme 25). 碳氢键活化反应产物作为反应中间体经亚胺-烯胺异构化、醋酸银/氧气介导的脱氢氧化构建碳氮建步骤得到最终产物.
图式25 铑催化的TFISYs与2-芳基-3H-吲哚的环化反应

Scheme 25 Rh-catalyzed annulation of TFISYs with 2-aryl-3H-indoles

2023年, 李兴伟课题组[45]利用酰胺基作为导向基团, 实现了铑(III)催化的立体选择性[3+3]环化反应, 合成了一系列C—N轴手性异喹诺啉酮类化合物62 (Scheme 26). 反应以苯环邻位大位阻基团取代的CF3-亚胺酰基亚砜叶立德1N-烷氧基苯甲酰胺61为底物, 在手性铑催化剂的作用下, 以优秀的产率和对映选择性得到目标产物. 当使用烷基取代的CF3-亚胺酰基亚砜叶立德为底物时, 反应立体选择性略差, 使用叔丁基取代的底物时, 可能由于位阻太大, 反应产率<5%. 作者还通过理论计算解释了反应的立体选择性.
图式26 铑催化的TFISYs与N-烷氧基苯甲酰胺的不对称[3+3]环化反应

Scheme 26 Rh-catalyzed asymmetric [3+3] annulation of TFISYs with N-alkoxy benzamide

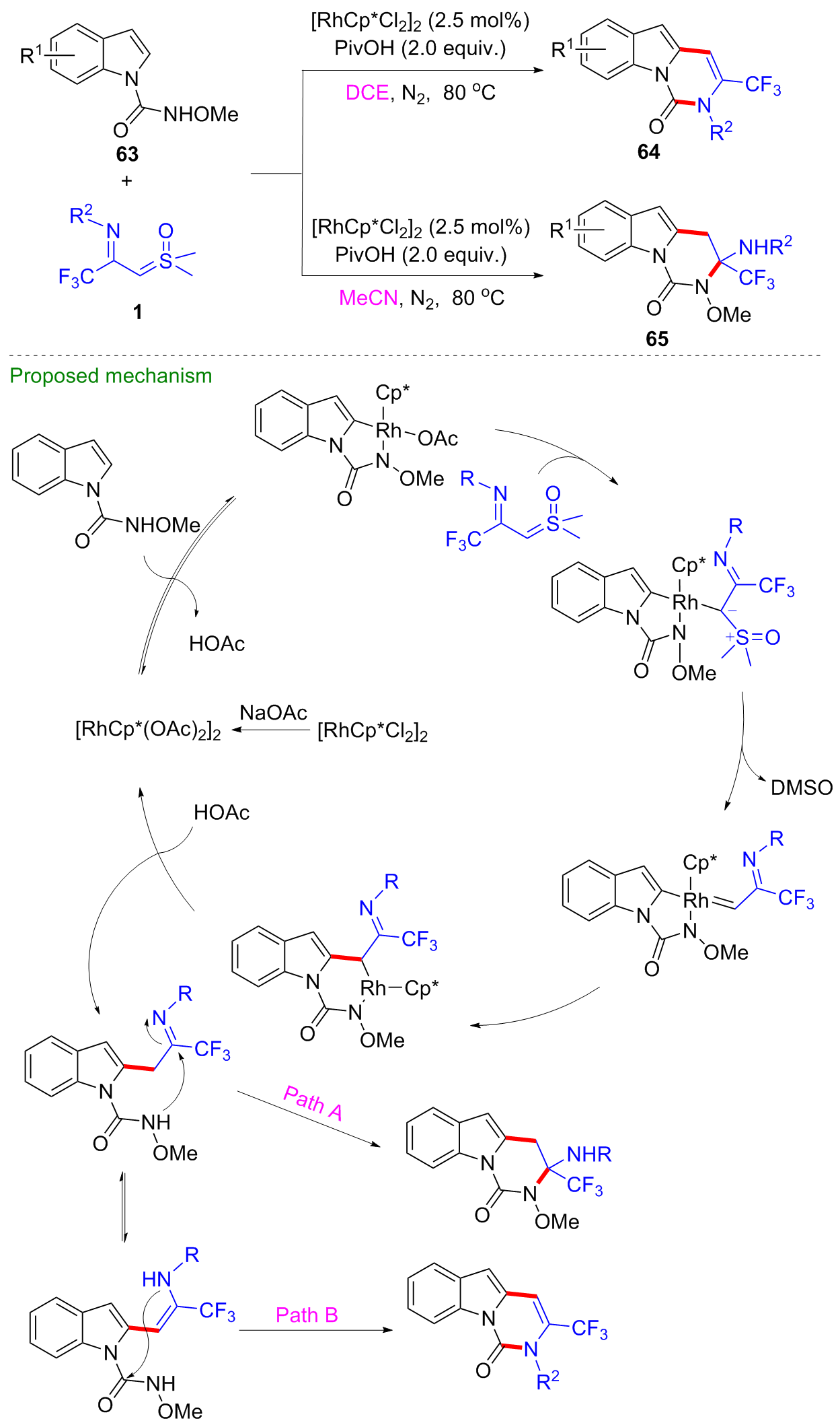
随后, 吴晓峰与陈铮凯等[46]也利用酰胺基为导向基团, 实现了铑(III)催化的N-胺基甲酰基吲哚63与CF3-亚胺酰基亚砜叶立德的环化反应(Scheme 27). 有趣的是, 反应的化学选择性与反应所用溶剂有关, 当使用二氯乙烷为溶剂时, CF3-亚胺酰基亚砜叶立德作为三元合成子发生[3+3]环化反应得到嘧啶并吲哚酮类产物64; 当使用乙腈作为溶剂时, CF3-亚胺酰基亚砜叶立德作为二元合成子发生[4+2]环化反应得到二氢嘧啶并吲哚酮类产物65.
图式27 铑催化的TFISYs与N-胺基甲酰基吲哚的环化反应

Scheme 27 Rh-catalyzed annulation of TFISYs with N-car- bamoylindoles

2024年, 范学森课题组[47]利用噁唑啉为导向基团, 开发了CF3-亚胺酰基亚砜叶立德参与的形式[4+2]环加成反应, 在铑(III)催化剂的作用下, 反应经过噁唑啉辅助的芳基烷基化、分子内缩合、水促进的噁唑啉开环等过程, 高效地构建了N-羟乙基取代的异喹啉酮67 (Scheme 28). 值得一提的是, 由于产物的高度官能团化, 产物经甲磺酰化后, 在碱性条件下可顺利地转化为咪唑并-CF3-异喹啉酮类化合物68. 此外, 产物还可以与布洛芬、奥沙普秦、依托度酸、阿达帕林等临床药物在N,N'-二环己基碳二亚胺(DCC)的作用下发生缩合反应, 得到一系列药物衍生物69~72, 这对新药研发具有潜在的重要用途.
图式28 铑催化的TFISYs与2-芳基噁唑啉的环化反应

Scheme 28 Rh-catalyzed annulation of TFISYs with 2-aryl- oxazolines

2024年, 熊彪课题组[48]报道了三氟甲磺酸铜催化的CF3-亚胺酰基亚砜叶立德与末端炔烃73的[3+2]环加成反应, 能以优秀的产率得到5-三氟甲基吡咯类化合物74, 为该类化合物的合成提供了实用性方法(Scheme 29). 该反应具有底物适用性广及良好的官能团兼容性等优点, 醛基、羰基、羟基、胺基、酯基等活性基团均能兼容. 作者通过控制实验及密度泛函理论(DFT)推测反应过程包含铜卡宾自由基对末端炔烃的加成及氢转移等步骤. 首先CF3-亚胺酰基亚砜叶立德与三氟甲磺酸铜反应得到铜卡宾I, 随后发生单电子转移过程得到铜卡宾自由基II, 进攻炔键得到烯基自由基III, 经1,3-金属迁移得到自由基IV, 再次发生单电子转移得到阳离子中间体V, 分子内环化得到中间体VI, 最后经异构化、氢迁移等过程得到最终产物.
图式29 三氟甲磺酸铜催化的TFISYs与端炔的环化反应

Scheme 29 CuOTf-catalyzed annulation of TFISYs with terminal alkynes

2025年, 孔杜林和陈训课题组[49]利用苯并咪唑作为导向基, 实现了铑(III)催化的2-芳基苯并咪唑75与CF3-亚胺酰基亚砜叶立德的碳氢键活化/串联[4+2]环化反应, 得到一系列的三氟甲基、胺基取代的5,6-二氢苯并咪唑并[2,1-a]异喹啉类化合物76 (Scheme 30). 该产物在三氟甲烷磺酸钪作用下, 可以发生脱胺羟基化反应, 得到对应的三氟甲基、羟基取代的5,6-二氢苯并咪唑并[2,1-a]异喹啉衍生物77. 此外, 作者还评估了所合成得到的化合物对人肿瘤细胞A549、HepG2及MDA- MB-231的生物活性.
图式30 铑催化的TFISYs与2-芳基苯并咪唑的环化反应

Scheme 30 Rh-catalyzed annulation of TFISYs with 2-arylbenzimidazoles

2024年, 范学森课题组[50]利用CF3-亚胺酰基亚砜叶立德参与的[4+2]环加成反应, 合成了一系列具有潜在光物理性质及抗癌活性的三氟甲基取代的吲唑并[3,2-a]异喹啉类化合物80 (Scheme 31). 该反应利用吲唑片段作为导向基团, 实现铑(III)催化的碳氢键活化/分子内环化串联反应得到5,6-二氢吲唑并[3,2-a]异喹啉类产物79. 在醋酸银的作用下, 该化合物可以消除胺基片段, 得到吲唑并[3,2-a]异喹啉类化合物.
图式31 铑催化的TFISYs与3-芳基-1H-吲唑的环化反应

Scheme 31 Rh-catalyzed annulation of TFISYs with 3-aryl- 1H-indazoles

2025年, 孔杜林和陈训课题组[51]报道了铑(III)催化的CF3-亚胺酰基亚砜叶立德与2-芳基吡啶81的化学多样性环化反应, 通过改变铑催化剂和反应溶剂, 可实现不同产物的选择性合成(Scheme 32). 当使用Cp*Rh- (MeCN)3(SbF6)2为催化剂、六氟异丙醇为溶剂时, 反应经三重碳氢键活化得到三氟甲基取代的吲哚类化合物82; 当使用[Cp*RhCl2]2为催化剂、乙腈为溶剂时, 反应经碳氢键活化[4+1]串联环化反应得到三氟甲基取代的吡啶并[2,1-a]异吲哚类化合物83.
图式32 铑催化的TFISYs与2-芳基吡啶的环化反应

Scheme 32 Rh-catalyzed annulation of TFISYs with 2-arylpyridine

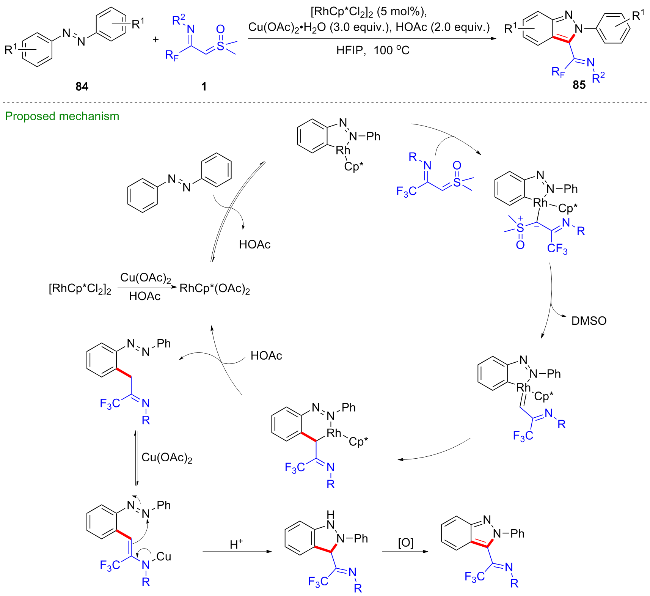
随后, 该课题组[52]又利用偶氮基作为导向基, 实现了铑(III)催化的CF3-亚胺酰基亚砜叶立德与偶氮苯84的碳氢键活化[4+1]串联环化反应, 合成了一系列CF3-亚胺酰基取代的吲唑类化合物85, 并评估了相关化合物对人肿瘤细胞A549、Hela和HepG的生物活性(Scheme 33).
图式33 铑催化的TFISYs与偶氮苯的环化反应

Scheme 33 Rh-catalyzed annulation of TFISYs with azobenzenes

最近, 陈铮凯课题组[53]发展了一种铑(III)催化的芳基肟86与CF3-亚胺酰基亚砜叶立德的碳氢键活化/串联环化反应, 得到了一系列N-(2-氰芳基)-3-三氟甲基异喹啉-1(2H)-亚胺类化合物87 (Scheme 34). 作者依据控制实验结果, 推测反应过程包含了连续的碳氢键活化、分子内螺环化、碳碳键活化及氮氧键断裂等步骤, 最终以优异的产率得到目标产物. 首先, [Cp*RhCl2]2与1-金刚烷甲酸、苯甲酸银及乙腈作用, 生成活性铑(III)催化剂, 然后经碳氢键活化得到环铑中间体I, 与CF3-亚胺酰基亚砜叶立德配位得到铑烷基配合物II, 经α-消除离去一分子二甲基亚砜(DMSO)得到铑卡宾中间体III, 该中间体发生迁移插入得到六元环铑中间体IV, 质子化后得到亚胺中间体V, 并异构化为中间体VI, 在催化剂Rh/Ag的作用下发生分子内亲核加成得到螺环中间体VII, 最终经过协同的氮氧键及碳碳键断裂得到产物.
图式34 铑催化的TFISYs与芳肟的环化反应

Scheme 34 Rh-catalyzed annulation of TFISYs with aryl oximes

3 结论与展望

综上所述, 近年来关于CF3-亚胺酰基亚砜叶立德参与的环化反应研究取得了较大的进展, 这些方法丰富了氟烷基取代的杂环化合物的合成途径, 而且在药物化学等领域也有较广泛的应用. 尽管如此, 对于CF3-亚胺酰基亚砜叶立德的研究仍具有较大的研究潜力和发展空间. 在已报道的CF3-亚胺酰基亚砜叶立德作为卡宾前体参与的环化反应研究中, 大部分反应都需要使用昂贵的Rh催化剂, 使用廉价金属催化剂的反应仍待开发. 另外, CF3-亚胺酰基亚砜叶立德参与的不对称催化反应报道较少, 随着光催化、电催化等绿色合成方法的不断完善, 相信可以实现对CF3-亚胺酰基亚砜叶立德参与的环化反应的立体选择性控制, 为氟烷基修饰的杂环化合物的不对称合成提供新的策略. 我们相信随着科技的进步以及广大科研工作者的努力, 未来将会开发出更多CF3-亚胺酰基亚砜叶立德参与的反应类型, 拓展其应用范围, 从而进一步推动合成化学、药物化学及材料化学等领域的发展.
(Cheng, F.)
[1]
Vitaku, E.; Smith, D. T.; Njardarson, J. T. J. Med. Chem. 2014, 57, 10257.

DOI PMID

[2]
Yang, Z.; Wei, G.; Chen, Z.; Wu, X.-F. Chem. Commun. 2023, 59, 4872.

[3]
Qing, F.-L.; Liu, X.-Y.; Ma, J.-A.; Shen, Q.; Song, Q.; Tang, P. CCS Chem. 2022, 4, 2518.

[4]
Qin, P.; Ma, H.; Zhang, F.-G.; Ma, J.-A. Acta Chim. Sinica 2023, 81, 697 (in Chinese).

(秦沛, 马海, 张发光, 马军安, 化学学报, 2023, 81, 697.)

DOI

[5]
Wang, C.-Q.; Feng, C. Acta Chim. Sinica 2024, 82, 160 (in Chinese).

(王成强, 冯超, 化学学报, 2024, 82, 160.)

DOI

[6]
Sun, Y.; Yan, S.; Wang, K.; Li, B.; Ma, C.; Zhang, X.; Fan, X. Org. Chem. Front. 2025, 12, 2219.

[7]
Ushakov, R. Y.; Ioffe, S. L.; Sukhorukov, A. Y. Org. Chem. Front. 2022, 9, 5358.

[8]
Kumar, A.; Sherikar, M. S.; Hanchate, V.; Prabhu, K. R. Tetrahedron 2021, 101, 132478.

[9]
Wen, S.; Tian, Q.; Chen, Y.; Zhang, Y.; Cheng, G. Org. Lett. 2021, 23, 7407.

[10]
Hong, C.; Jiang, X.; Yu, S.; Liu, Z.; Zhang, Y. Chin. J. Org. Chem. 2021, 41, 888 (in Chinese).

(洪超, 蒋希程, 于书玲, 刘占祥, 张玉红, 有机化学, 2021, 41, 888.)

DOI

[11]
Zhang, J.; Zhang, C.; Zheng, Z.; Zhou, P.; Liu, W. Chin. J. Org. Chem. 2022, 42, 2745 (in Chinese).

(张建涛, 张聪, 郑梓栋, 周鹏, 刘卫兵, 有机化学, 2022, 42, 2745.)

DOI

[12]
Yang, D.; Wang, Y.; Wang, T.; Dou, Q.; Zhou, K.; Zhai, H.; Cheng, B. Adv. Synth. Catal. 2023, 365, 88.

[13]
Sun, Y.; Yang, Z.; Lu, S.-N.; Chen, Z.; Wu, X.-F. Org. Lett. 2022, 24, 6822.

[14]
Wen, S.; Chen, Y.; Tian, Q.; Zhang, Y.; Cheng, G. J. Org. Chem. 2022, 87, 1124.

[15]
Pan, M.; Tong, Y.; Qiu, X.; Zeng, X.; Xiong, B. Chem. Commun. 2022, 58, 12443.

[16]
Wei, G.; Sun, Y.; Zheng, D.; Qiu, S.; Chen, Z.; Wu, X.-F. Eur. J. Org. Chem. 2023, 26, e202300090.

[17]
Wei, G.; Li, C.; Wang, H.; Chen, Z.; Wu, X.-F. Chin. J. Chem. 2023, 41, 3205.

[18]
Ding, Y.; Guo, H.; Fan, J.; Li, Z.; Cheng, G. Adv. Synth. Catal. 2023, 365, 4672.

[19]
Sun, Y.; Ling, S.; Duan, Y.; Li, J.; Chen, Z.; Wu, X.-F. Adv. Synth. Catal. 2023, 365, 1521.

[20]
Wang, Z.-H.; You, Y.; Zhao, J.-Q.; Zhang, Y.-P.; Yin, J.-Q.; Yuan, W.-C. Molecules 2023, 28, 3059.

[21]
Huang, J.; Zhang, L.; Meng, X. Org. Chem. Front. 2023, 10, 2813.

[22]
Hou, X.; Li, Y.; Zhang, Q.; Liu, J.; Chen, Y. Chin. J. Org. Chem. 2023, 43, 3844 (in Chinese).

(侯学会, 李议慧, 张庆玲, 刘俊桃, 陈亚静, 有机化学, 2023, 43, 3844.)

DOI

[23]
Ling, S.; Zhang, Y.; Chen, Z.; Wu, X.-F. Adv. Synth. Catal. 2023, 365, 3382.

[24]
Xu, J.; Yang, R.-Y.; Xu, B. Org. Lett. 2024, 26, 62.

[25]
Wang, J.; Wang, S.-S.; Xiao, J.; He, Y.-J.; Wu, X.-Y.; Li, X.; Liu, P.-N. Chem. Commun. 2023, 59, 12495.

[26]
Wei, G.; Zheng, D.; Li, C.; Chen, Z.; Wu, X.-F. Org. Lett. 2023, 25, 7046.

[27]
Yang, M.; Meng, Y.-X.; Mehfooz, H.; Zhao, Y.-L. Chem. Commun. 2024, 60, 5407.

[28]
Sun, Y.; Ling, S.; Chen, Z. Asian J. Org. Chem. 2024, 13, e202400025.

[29]
Zhao, K.; Zhi, Y.; Shu, T.; Valkonen, A.; Rissanen, K.; Enders, D. Angew. Chem., Int. Ed. 2016, 55, 12104.

[30]
Kale, S. B.; Kumar, M.; Shinde, D. R.; Krishna, G. R.; Das, U. Org. Chem. Front. 2023, 10, 3746.

[31]
Li, C.; Zhou, M.; Chen, Z. J. Fluorine Chem. 2024, 277, 110308.

[32]
Li, Y.-H.; Wang, C.-C.; Ren, M.-R.; Wang, Q.-L.; Chen, Y.-J. Eur. J. Org. Chem. 2024, 27, e202400946.

[33]
Ding, Y.; Liu, Y.; Ge, J.; Wu, X.; Li, Z.; Cheng, G. J. Org. Chem. 2024, 89, 12255.

[34]
Jian, Y.; He, Y.-J.; Hu, C.; Li, X.; Liu, P.-N. Org. Lett. 2024, 26, 8492.

[35]
Cui, J.-H.; Chen, Q.-Y.; Zhang, J.; He, Y.; Li, X.; Liu, P.-N. Chem. Commun. 2025, 61, 488.

[36]
Liao, G.; Wu, Y.-J.; Shi, B.-F. Acta Chim. Sinica 2020, 78, 289 (in Chinese).

DOI

(廖港, 吴勇杰, 史炳锋, 化学学报, 2020, 78, 289.)

DOI

[37]
Kumar, S.; Nunewar, S.; Oluguttula, S.; Nanduri, S.; Kanchupalli, V. Org. Biomol. Chem. 2021, 19, 1438.

[38]
Singh, A.; Kumar, S.; Volla, C. M. R. Org. Biomol. Chem. 2023, 21, 879.

[39]
Wen, S.; Zhang, Y.; Tian, Q.; Chen, Y.; Cheng, G. Org. Chem. Front. 2022, 9, 4388.

[40]
Yang, Z.; Tang, J.; Chen, Z.; Wu, X.-F. Org. Lett. 2022, 24, 7288.

[41]
Zhang, Y.; Ling, S.; Li, P.; Chen, Z.; Wu, X. Org. Lett. 2022, 24, 8864.

DOI PMID

[42]
Wen, S.; Ding, Y.; Tian, Q.; Ge, J.; Cheng, G. Chin. J. Org. Chem. 2024, 44, 291 (in Chinese).

(文思, 丁宇浩, 田青于, 葛进, 程国林, 有机化学, 2024, 44, 291.)

DOI

[43]
Yang, Z.; Li, P.; Chen, Z.; Wu, X.-F. J. Catal. 2023, 427, 115098.

[44]
Yang, Z.; Li, P.; Chen, Z.; Wu, X.-F. Adv. Synth. Catal. 2023, 365, 3855.

[45]
Wang, P.; Wu, H.; Zhang, X.-P.; Huang, G.; Carbtree, R.; Li, X. J. Am. Chem. Soc. 2023, 145, 8417.

[46]
Duan, Y.; Lu, S.-N.; Yang, Z.; Chen, Z.; Wu, X.-F. Org. Chem. Front. 2023, 10, 3843.

[47]
Liang, M.; Yan, S.; Xu, Y.; Ma, C.; Zhang, X.; Fan, X. J. Org. Chem. 2024, 89, 10180.

[48]
Mi, E; Zhou, L.; Tong, Y.; Qiu, X.; Zeng, X.; Li, J.; Xiong, B. Org. Lett. 2024, 26, 2249.

DOI PMID

[49]
Liao, J.; Zhai, R.; Gao, X.; Wu, H.; Kong, D.; Wang, S.; Chen, X. Adv. Synth. Catal. 2025, 367, e202401220.

[50]
Zhou, Q.; Yan, S.; Ma, C.; Gong, Y.-J.; Zhang, X.; Fan, X. Adv. Synth. Catal. 2024, 366, 5190.

[51]
Gao, X.; Zhai, R.; Liao, J.; Yao, G.; Meng, H.; Luo, Y.; Kong, D.; Wang, S.; Chen, X. Org. Lett. 2025, 27, 657.

[52]
Yang, Y.; Li, C.; Wang, G.; Yao, G.; Wu, H.; Chen, X.; Zhai, R. Molecules 2025, 30, 183.

[53]
Li, P.; Chen, J.; Yang, Z.; Chen, Z. Adv. Synth. Catal. 2025, 367, e202500038.

文章导航

/