研究论文

铜催化C—O偶联制备间苯氧基苯甲醛

  • 贾晨旭 ,
  • 安聪好 ,
  • 黄军 , *
展开
  • 南京工业大学化工学院 材料化学工程国家重点实验室 南京 210009

收稿日期: 2025-04-08

  修回日期: 2025-04-25

  网络出版日期: 2025-05-16

基金资助

国家重点研发计划(2022YFB3805500)

Copper Catalyzed C—O Coupling for the Preparation of m-Phenoxybenzaldehyde

  • Chenxu Jia ,
  • Conghao An ,
  • Jun Huang , *
Expand
  • State Key Laboratory of Materials-Oriented Chemical Engineering, College of Chemical Engineering, Nanjing Tech University, Nanjing 210009

Received date: 2025-04-08

  Revised date: 2025-04-25

  Online published: 2025-05-16

Supported by

National Key Research and Development Program of China(2022YFB3805500)

摘要

制备并筛选了一系列草酰二胺聚合物铜催化剂, 并研究了其催化苯酚和间溴苯甲醛C—O偶联反应. 结果表明2,2-二氨基二苯硫醚草酰二胺聚合物铜催化剂Cu@PSAO表现出优异的催化苯酚和间溴苯甲醛C—O偶联反应的选择性和非常高的反应活性, 间苯氧基苯甲醛的收率可达99%. 通过X射线光电子能谱(XPS)、扫描电子显微镜(SEM)、能量色散X射线(EDX)、透射电子显微镜(TEM)、红外吸收光谱(FTIR)和比表面积测试(BET)等一系列表征, 研究了该催化剂的结构性能关系. 结果显示Cu@PSAO呈现不规则的三维结构, 草酰二胺聚合物和铜的配位促成了该线性聚合物的交叉或者卷曲形成该三维结构. 与现有的工艺相比, Cu@PSAO中的聚合物结构可以使苯酚和间溴苯甲醛C—O偶联反应的选择性大大提升, 很好地避免了间溴苯甲醛在碱性条件下的歧化副反应. 该催化剂制备简单, 反应后易于分离, 多次反应循环后仍具有稳定的催化性能, 具有良好工业应用的前景.

本文引用格式

贾晨旭 , 安聪好 , 黄军 . 铜催化C—O偶联制备间苯氧基苯甲醛[J]. 有机化学, 2025 , 45(9) : 3412 -3419 . DOI: 10.6023/cjoc202502035

Abstract

A series of copper catalysts based on oxalyl diamide polymers were prepared and screened for the coupling of m-bromobenzaldehyde with phenol. The reaction results demonstrated that the copper catalyst Cu@PSAO of 2,2-diamino- diphenyl sulfide oxalyl diamide polymer exhibited excellent selectivity for the C—O coupling of m-bromobenzaldehyde with phenol with very high selectivity and high activity. The yield of m-phenoxybenzaldehyde can reach 99%. A series of characterizations including X-ray photoelectron spectroscopy (XPS), scanning electron microscopy (SEM), energy dispersive X-ray (EDX), transmission electron microscopy (TEM), infrared absorption spectroscopy (FTIR), and specific surface area test (BET) were employed to study the relationship between the structures and chemical properties of the catalyst Cu@PSAO. Through the characterization results, it was observed that Cu@PSAO presented an irregular three-dimensional structure, and the three-dimensional structure was formed by cross linked or rolled through the coordination of copper with the oxalyl diamide polymers. Compared with the existing processes, the Cu catalyst Cu@PSAO can significantly enhance the selectivity of the C—O coupling of m-bromobenzaldehyde with phenol and effectively avoid the disproportionation side reaction of bromobenzaldehyde under the alkaline condition. The catalyst Cu@PSAO was prepared easily and could be separated simply from the reaction mixture after the reaction. It still maintains stable catalytic performance after multiple reaction cycles, thus exhibiting application prospects for industrial processes.

C—O键的定向构建在新药开发及材料科学等应用领域有着重要意义, 通过该方式可以合成各种天然产物和具有重要生物学意义的支架[1-3], 这些化合物可用于合成治疗不同疾病的药物[4]. Kim等[5]使用分子内醚化的方式构建C—O键, 合成了汉城链霉素的关键中间体, 并且该中间体具有汉城链霉素的所有必需功能. 二芳基醚是广泛存在于合成或天然药物、农药、聚合物、配体和生命科学等行业的一类重要中间体[6], 其中, 间苯氧基苯甲醛是合成高效、广谱、安全且低毒的拟除虫菊酯类农药的关键中间体. 因此, 通过C—O偶联开发实用且可扩展的新合成路线或改进现有的二芳基醚制备路线具有重要的工业应用价值[7]. 目前, 在国内工业生产中普遍采用的是以间苯氧基甲苯为原料, 先经氯化得到一氯苄和二氯苄, 再使用混酸或者稀硝酸水解得到间苯氧基苯甲醛的方法[8]. 由卤代芳烃与苯酚偶联是制备间苯氧基苯甲醛的另一个简单高效路线[9-10]. 使用贵金属催化剂如Pd催化卤代芳烃与苯酚C—O偶联制备二芳基醚是一种效率较高的生产方式[11-13]. 但是, 钯的催化体系价格高昂, 限制了其规模应用[14-15]. 非贵金属Cu催化剂价格低廉, 且在合成二芳基醚的研究中取得了重大进展[16-18]. Ruta等[19]将铜原子吸附在吡咯配体上, 开发了一种新型的单原子铜催化剂, 该催化剂在芳基溴和苯酚的C—O偶联反应中表现出较好的催化反应性能. 值得注意的是, 马大为团队[20-22]进行了一系列草酰胺配体的研究, 并且实现了氯代芳烃与苯酚的C—O偶联反应, 可以使二芳香醚键的构建朝着低催化剂用量和低反应温度的方向发展. 我们也对催化卤代芳烃与苯酚的 C—O偶联反应有着极大的兴趣[23], 设计并制备了一种离子聚合物负载的CuO纳米催化剂, 并证明了该催化剂对芳基卤化物与酚的交叉偶联有着较高的反应活性[24].
本工作在前人研究的基础上, 探索并制备了一系列草酰二胺聚合物. 将金属Cu化合物和不同的草酰二胺聚合物复合, 通过Cu(I)和草酰二胺聚合物进行配位, 得到催化剂Cu@PSAO, Cu@PBNO和Cu@PBAO(图1). 用这些催化剂研究了间溴苯甲醛和苯酚C—O偶联制备间苯氧基苯甲醛的反应性能. 其中Cu@PSAO催化剂表现出优异的反应选择性和很高的反应活性, 在优化反应条件后间苯氧基苯甲醛的收率可达99%以上. 与之前报道的基于Cu(I)、Cu(II)或Pd的催化体系相比, 催化剂Cu@PSAO价格低廉且稳定, 可以回收和重复使用至少五次, 且其催化活性不会显著降低. 催化剂Cu@PSAO对苯酚和间溴苯甲醛C—O偶联反应选择性高, 很好地避免了溴苯甲醛在碱性条件下的歧化副反应, 具有较好的应用前景.
图1 草酰二胺聚合物铜催化剂的结构

Figure 1 Structures of oxalediamine polymer Cu catalysts

1 结果与讨论

1.1 C—O偶联反应的催化剂筛选

研究了一系列铜催化剂对间溴苯甲醛和苯酚的C—O偶联反应的催化性能(表1). 首先, 在不添加催化剂的情况下, 虽然能检测到间溴苯甲醛的转化, 但是产物大部分为在碱作用下发生的歧化反应的产物, 间苯氧基苯甲醛的收率仅为2%左右(表1, Entry 1). 相比之下, 铜催化剂Cu@PSAO, Cu@PBNO和Cu@PBAO均表现出较好的选择性. 间苯氧基苯甲醛的收率分别为99%, 18%和65%, 没有检测到其他副产物(表1, Entries 2~4). 铜催化剂Cu@PSAO显示出更高的反应活性, 这可能是因为Cu@PSAO中的聚合物草酰胺邻位含有硫醚基团, 其给电子能力强于其他聚合物. 增强的给电子能力提高了3-溴苯甲醛在铜活性中心的氧化加成, 促进了该铜催化剂催化活化C—Br的能力, 大大提升C—O偶联反应的反应速率. 而且邻位苯硫基团具有较大的位阻, 可以促进铜催化剂Cu@PSAO中活性中心后面的还原消除, 获得3-苯氧基苯甲醛产物. 不同的铜前驱体所制备的催化剂, 其催化性能也表现出一定的差异. 其中, CuI是最好的前驱体, 间苯氧基苯甲醛的收率可达99%(表1, Entry 2). Cu2O作为前驱体表现出较差的催化活性, 间苯氧基苯甲醛的收率为67%(表1, Entry 5). 但是使用不同的铜前驱体均没有检测到其他副产物, 说明草酰二胺聚合物的引入是提高苯酚和间溴苯甲醛C—O偶联反应选择性的关键. 综上所述, 草酰二胺铜聚合物催化剂可以避免醛歧化反应的发生, 使苯酚和间溴苯甲醛C—O偶联反应的选择性大大提升, 并确定CuI作为前驱体的Cu@PSAO催化剂为最优催化剂.
表1 不同铜催化剂对3-PBD收率的影响a

Table 1 Effect of 3-PBD yields on different copper catalysts

Entry Catalyst Yield/% Selectivity/%
3-PBD Others
1 95 2 98
2 Cu@PSAO 99 100
3 Cu@PBNO 18 100
4 Cu@PBAO 65 100
5 Cu@PSAO(Cu2O) 67 100

a Reaction conditions: 10 mmol of 3-BBA, 15 mmol of PhOH, 7 mol% catalyst, 20 mmol of K3PO4, 5 mL of 1,4-dioxane, at 120 ℃, for 5 h.

1.2 催化剂Cu@PSAO的结构特性

首先利用扫描电子显微镜(SEM)和透射电子显微镜(TEM)对催化剂Cu@PSAO进行了表征, 以研究其微观形貌及结构特征(图2). SEM图像如图2A和2B所示, 表明催化剂出现了无规则的三维结构而不是聚合物常见的链状结构. 这可能是因为引入铜后草酰二胺聚合物与铜配位促成了该线性聚合物交叉或者卷曲形成三维结构. 放大后的TEM图像(图2C)显示, 没有观察到明显的金属颗粒, 这可能是因为铜配位在草酰二胺聚合物上形成金属配合物, 从而以配位体形式存在, 这与SEM观察到的结果一致. 能量色散X光谱(EDS)元素映射图像(图2D)显示, Cu元素均匀分布在催化剂表面, 没有发生明显的团聚. 这些结果证明了CuI与2,2'-二氨基二苯硫醚草酰二胺聚合物的配位和均匀分散.
图2 Cu@PSAO的SEM图(A, B)、TEM图(C)和Cu的EDS元素图(D)

Figure 2 SEM diagram (A, B), TEM diagram (C) of Cu@PSAO, and EDS element map (D) of Cu

为分析金属铜的键合状态, 利用X射线光电子能谱对Cu@PSAO催化剂的表面化学结构进行了研究(图3). 图3A中的全谱分析显示了催化剂Cu@PSAO中Cu元素的存在, 证实Cu成功配位在2,2'-二氨基二苯硫醚草酰胺聚合物. 在图3B的Cu 2p光谱中, 925.9~970.0 eV处的宽峰可解卷积为932.7、952.6 eV处的两个单峰. 932.7 eV处的峰对应着Cu(I)产生的Cu 2p3/2的轨道, 952.6 eV处的峰对应着Cu(I)产生的Cu 2p1/2的轨道. 而结合能943.0, 944.8 eV归因于CuO产生的卫星峰, 可能是催化剂表面被氧化导致的. 结果表明, Cu@PSAO中Cu主要为一价态存在, 含有少量被氧化的二价Cu.
图3 Cu@PSAO的XPS光谱: 全光谱的XPS光谱(A), Cu 2p (B)

Figure 3 XPS spectra of Cu@PSAO: XPS spectra of the full spectrum (A), Cu 2p( B)

红外吸收光谱如图4所示, 光谱中1685.47 cm-1处的峰可归因于Cu@PSAO中C=O拉伸震动, 证明了羰基的存在. 3304.94 cm-1处的峰可归因于Cu@PSAO中N—H键的拉伸震动, 证明了氨基的存在[25]. 两种吸收峰结合表明了Cu@PSAO中酰胺结构的存在, 证明了2,2'-二氨基二苯硫醚草酰二胺聚合物的成功合成. 在476.08和554.85 cm-1处出现的峰可归因于N…Cu(I)配位键的吸收带[26], 证明了Cu(I)离子与草酰二胺聚合物的配位作用.
图4 Cu@PSAO的FTIR光谱

Figure 4 FTIR spectra for Cu@PSAO

在77 K液氮条件下, 对催化剂Cu@PSAO进行氮气吸脱附测试(图5A), N2吸附-脱附等温线呈现出IV型等温线, 具有H1型滞后环, 显示催化剂Cu@PSAO具有介孔结构. 孔隙分布曲线(图5B)表明, Cu@PSAO存在直径约10 nm的介孔. Cu@PSAO比表面积约为22.7 m2/g, 平均孔径约为16 nm. 较大的孔径有利于反应物分子的扩散和产物的排出, 且使反应物分子更容易接近并吸附在活性位点上, 从而提高催化反应的效率.
图5 Cu@PSAO催化剂的N2吸附-脱附等温线(A)和孔径分布(B)

Figure 5 N2 adsorption-desorption isotherm (A) and pore size distribution of the Cu@PSAO catalyst (B)

1.3 催化C—O偶联反应条件的优化

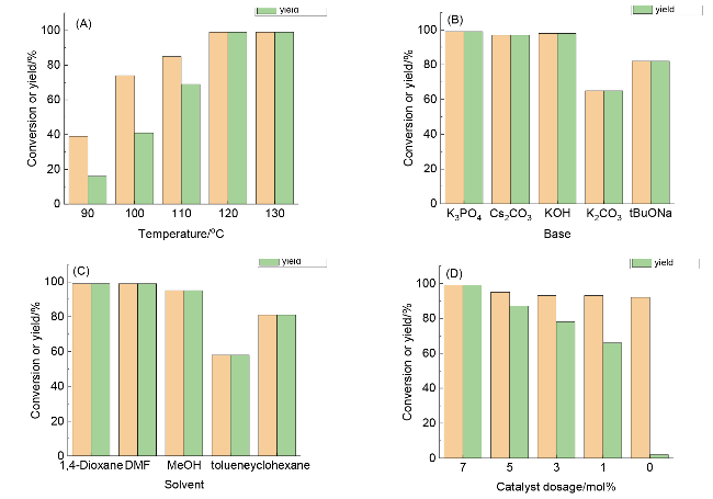
为提高目标产物收率, 优化了催化剂Cu@PSAO催化的C—O偶联反应条件. 首先研究了温度对间苯氧基苯甲醛收率的影响, 由图6A可以看出, 产物间苯氧基苯甲醛选择性受温度的影响较大, 随着温度降低到110 ℃, 反应体系向间溴苯甲醛的歧化反应方向靠拢, 且转化率也有所下降. 随着温度进一步降低到90 ℃, 间溴苯甲醛的转化率仅为39%, 产物间苯氧基苯甲醛的收率下降到11%. 过低的反应温度一方面会导致反应速率明显下降, 转化率也明显降低, 另一方面会导致催化剂的反应活性不够, 醛的歧化反应增加, 降低了反应的选择性. 当反应温度升高至130 ℃时, 间苯氧基苯甲醛的收率没有明显变化, 因此选择120 ℃为最佳反应温度.
图6 Cu@PSAO催化3-BBA和PhOH偶联的反应条件的优化

Figure 6 Optimization of the reaction conditions for the coupling of 3-BBA and PhOH catalyzed by Cu@PSAO

Reaction conditions: (A) 10 mmol of 3-BBA, 15 mmol of PhOH, 7 mol% Cu@PSAO, 20 mmol of base, 5 mL of 1,4-dioxane, 120 ℃, 5 h; (B) 10 mmol of 3-BBA, 15 mmol of PhOH, 7 mol% Cu@PSAO, 20 mmol of K3PO4, 5 mL of 1,4-dioxane, 5 h; (C) 10 mmol of 3-BBA, 15 mmol of PhOH, 7 mol% Cu@PSAO, 20 mmol of K3PO4, 5 mL of solvent, 120 ℃, 5 h; (D) 10 mmol of 3-BBA, 15 mmol of PhOH, 20 mmol of K3PO4; 5 mL 1,4-dioxane, 120 ℃, 5 h.

随后研究了碱对间苯氧基苯甲醛收率的影响, 结果如图6B所示. 使用K3PO4, Cs2CO3和KOH时该反应均能得到很高的间苯氧基苯甲醛的收率(>95%). 使用K2CO3作为碱时, 间苯氧基苯甲醛收率下降至65%. 此外, 在使用叔丁醇钠作为碱时, 依然可以得到83%的间苯氧基苯甲醛的收率. 其中K3PO4作为碱时苯氧基苯甲醛的收率最高, 可达99%, 因此K3PO4为碱的最佳选择.
研究了溶剂对间苯氧基苯甲醛收率的影响, 结果如图6C所示. 在使用1,4-二氧六环时间苯氧基苯甲醛收率最高, 可达99%. 在使用N,N-二甲基甲酰胺(DMF)为溶剂时, 间苯氧基苯甲醛也能得到97%的收率. 当溶剂变为甲醇时, 可以观察到间苯氧基苯甲醛的收率有所降低, 为92%. 在非极性溶剂环己烷和甲苯中, 间苯氧基苯甲醛的收率分别下降至82%和56%. 综上所述, 1,4-二氧六环是反应的最佳溶剂.
研究了催化剂的添加量对间苯氧基苯甲醛收率的影响, 结果如图6D所示. 可以看到尽管在低催化剂用量下, 依然可以得到较高的间溴苯甲醛的转化率(>90%), 但是低的催化剂用量会导致间苯氧基苯甲醛选择性明显下降. 在催化剂添加量为5 mol%时, 观察到醛的歧化反应的发生, 导致间苯氧基苯甲醛选择性的下降. 随着催化剂的添加量继续下降到1 mol%时, 间苯氧基苯甲醛的收率下降到67%. 催化剂Cu@PSAO的使用大大提高间苯氧基苯甲醛的选择性, 使反应从C—O偶联的方向进行. 催化剂的添加量最优为7 mol%.
进一步研究了间溴苯甲醛和苯酚C—O偶联反应的过程, 研究了反应体系的反应动力学, 检测反应物与产物浓度随时间变化的关系, 其结果如图7所示. 在反应1 h后, 间苯氧基苯甲醛的收率就能达到59%, 且在反应开始的3 h内, 间苯氧基苯甲醛的浓度呈快速上升趋势, 反应3 h后间苯氧基苯甲醛的收率能达到91%, 之后的提升便趋于平缓. 在5 h后达到收率的最高点99%, 因此5 h为最佳的反应时间.
图7 反应时间对3-PBD收率的影响

Figure 7 Effect of reaction time on 3-PBD yield

Reaction conditions: 10 mmol of 3-BBA, 15 mmol of PhOH, 7 mol% Cu@PSAO, 20 mmol of K3PO4, 5 mL of 1,4-dioxane, 120 ℃.

1.4 催化剂稳定性测试

为了探究Cu@PSAO催化剂的稳定性, 对回收后的催化剂进行了5次循环实验, 结果如图8A所示. 催化剂Cu@PSAO在多次循环过程中保持着优异的稳定性, 间溴苯甲醛的转化率维持在95%以上, 但是可以观察到间苯氧基苯甲醛的收率略微下降, 从99%下降至92%左右. 可能归因于回收过程中催化剂在滤纸上难以完全回收, 每个反应循环大约会产生2%左右的质量损失.
图8 Cu@PSAO催化3-BBA和PhOH偶联反应中催化剂的循环实验(A)和Cu@PSAO催化3-BBA和PhOH偶联3-PBD (B)的热过滤实验示意图

Figure 8 Cu@PSAO cycling experiments of catalysts in 3-BBA and PhOH coupling reactions (A) and the schematic diagram of the Cu@PSAO catalytic thermal filtration experiment for the coupling of 3-BBA and PhOH to 3-PBD catalyzed by Cu@PSAO (B)

接下来进行了浸出实验, 实验结果如图8B所示. 当反应进行2 h后(间苯氧基苯甲醛的收率为65%), 用分相的方法分离催化剂后, 其滤液体系无法继续反应, 表明均相体系中没有催化反应活性物质. 当添加Cu@- PSAO催化剂后, 可继续顺利完成反应. 总体表明,Cu@PSAO催化剂循环后仍然保持着高的催化活性和选择性, 在循环反应期间具有良好的稳定性, 易于回收. 从回收后催化剂的红外吸收光谱可以看出, 回收后的催化剂结构与回收前的催化剂基本一致.

1.5 放大反应

为了探索Cu@PSAO催化剂的实用性, 对制备间苯氧基苯甲醛的反应进行了放大反应(Scheme 1). 在最优的反应条件下得到95%的间苯氧基苯甲醛收率. 反应放大后催化剂依旧可以保持优异的稳定性, 在五次循环实验中, 间苯氧基苯甲醛的收率可以维持在90%以上.
图式1 放大反应

Scheme 1 Amplification reaction

1.6 底物范围的拓展

为了探索Cu@PSAO催化剂的普适性, 对C—O偶联的底物进行了拓展, 使用各种酚类与不同的芳基溴化物反应, 反应结果总结在表2. 结果显示当溴苯中存在给电子基团时会使反应收率降低(表2, Entry 2), 相比之下存在吸电子基团时可以较高收率得到二芳基醚(Entries 1, 3), 而苯酚中的给电子基团与吸电子基团的影响恰恰相反(Entries 4~6). 其中, Entry 5所合成的目标产物间苯氧基甲苯经氯化得到一氯苄和二氯苄, 再使用混酸或者稀硝酸水解得到间苯氧基苯甲醛, 这也可以作为一种合成间苯氧基苯甲醛的路线.
表2 C—O偶联底物范围的探究

Table 2 Exploration of the range of C—O coupling substrates

Entry R1 R2 Yield/%
1 4-CN H 98
2 3-CH3 H 38
3 2-CHO H 78
4 H 4-CN 31
5 H 3-CH3 94
6 H 2-CHO 44

a Reaction conditions: 10 mmol of aryl bromide, 15 mmol of phenol, 7 mol% catalyst, 20 mmol of K3PO4, 5 mL of 1,4-dioxane, 120 ℃, 5 h.

2 结论

使用2,2'-二氨基二苯硫醚和草酰氯制备了草酰二胺聚合物, 再与碘化亚铜配位制备了Cu@PSAO催化剂. 通过一系列表征观察到催化剂是不规则三维结构, 并且证实了草酰胺与铜的配位结构. 该催化剂可以高选择性地催化间溴苯甲醛和苯酚进行C—O偶联得到间苯氧基苯甲醛, 并且进行了一系列的反应条件优化. 在优化的反应条件中发现使用1,4-二氧六环是最佳反应溶剂, 且间苯氧基苯甲醛收率对碱比较敏感, K3PO4是合适的碱. 在最优条件下, 使用Cu@PSAO作为催化剂, 1,4-二氧六环作为溶剂, K3PO4作为碱, 120 ℃反应5 h, 间苯氧基苯甲醛收率可达99%, 且放大规模的合成中也能顺利进行. 最后通过回收实验证明该催化剂易于回收再利用, 使用5次后其催化活性只是略有下降, 具有较好的可回收性. 该生产工艺由于具有较为温和的条件和较高的间苯氧基苯甲醛选择性, 有望在将来投入到实际生产应用中.

3 实验部分

3.1 实验试剂与仪器

CuI和Cu2O均为分析纯, 购自上海新宝精细化工厂. 2,2'-二氨基二苯硫醚(98%)、间溴苯甲醛(98%)和[1'-联萘]-2,2'-二胺(98%)购自上海泰坦科技股份有限公司. 草酰氯和四甲基联苯胺(98%)购自麦克林化学试剂上海有限公司. 间甲酚、溴苯、对溴苯腈、对羟基苯腈、间溴甲苯、2-溴苯甲醛和水杨醛购自上海阿拉丁生化科技股份有限公司. 乙酸乙酯、正己烷、环己烷、1,4-二氧六环、甲醇、二氯甲烷和甲苯, 均为分析纯, 购自上海凌峰化学试剂有限公司. 去离子水, 分析纯, 购自南京晚晴化玻仪器有限公司. 苯酚为分析纯, 购自天津市化学试剂四厂凯达化工厂. 碳酸铯为分析纯, 购自南京康满林化工实业有限公司. N,N-二甲基甲酰胺、无水碳酸钾、磷酸钾、氢氧化钾、叔丁醇钠和正十六烷, 均为分析纯, 购自国药集团化学试剂有限公司. 柱层析硅胶为200~300目, 购自青岛海湾精细化工有限公司.
S-4800型高分辨场发射扫描电镜(SEM), 日本日立公司, 拍摄时加速电压为3 kV. 采用美国Thermo Fisher Scientific Nicolet iS5的傅里叶红外光谱仪(FTIR), 对样品中的官能团进行了表征, 获得了分辨率为4 cm-1的光谱, 波数范围为4000~400 cm-1, 共添加了32次扫描. X射线光电子能谱仪(XPS), 美国赛默飞世尔科技公司, 激光源为Al Ka X射线辐射源(hν=1486.6 eV), 全谱扫描通能为150 eV, 步长1 eV, 窄谱扫描通能为50 eV, 步长-0.1 eV. Micromeritics ASAP 2460型号的4站式全自动比表面积分析仪(BET)来自美国Micromeritics公司. 77 K液氮条件下进行氮气吸脱附测试, 真空120 ℃条件下预处理8 h. GC-2014气相色谱仪(GC)来自日本岛津公司. 核磁共振波谱(NMR)为德国Bruker 400 MHz.

3.2 草酰二胺聚合物铜催化剂的制备

采用溶液法制备了一系列不同的草酰二胺聚合物铜催化剂. 将10 mmol无水碳酸钾加入到含有10 mL二氯甲烷的烧瓶中, 加入5 mmol的2,2'-二氨基二苯硫醚, 慢慢滴加5 mmol的草酰氯, 在室温下搅拌2 h后加入2.5 mmol碘化亚铜, 继续在室温下搅拌5 h, 分别用乙醇和去离子水洗涤、过滤, 将得到的固体80 ℃烘干, 得到Cu@PSAO催化剂. 将2,2'-二氨基二苯硫醚分别替换为[1'-联萘]-2,2'-二胺或四甲基联苯胺, 再以上述相同的方法制备得到对应的Cu@PBNO和Cu@PBAO催化剂.

3.3 催化性能测试

间溴苯甲醛和苯酚的C—O偶联实验是在25 mL密闭的压力釜中进行, 压力釜配备了热电偶温控设备和自动搅拌装置, 典型的反应过程如下: 往聚四氟乙烯内衬加入10 mmol间溴苯甲醛、15 mmol苯酚、催化剂(7 mol%)、20 mmol磷酸钾和5 mL 1,4-二氧六环, 密封压力釜后置于加热炉中, 在120 ℃搅拌5 h. 反应结束, 待冷却后, 打开压力釜加入乙酸乙酯10 mL, 离心分离催化剂, 溶液采用气相色谱分析. 以正十六烷为内标进行定量分析反应的转化率、选择性和稳定性.

3.4 催化剂稳定性测试

对反应结束后的液体进行离心过滤, 将分离得到的催化剂分别用10 mL的蒸馏水和乙酸乙酯洗涤3次, 回收的催化剂在80 ℃真空干燥, 在同样条件下进行下一轮的循环测试实验.

3.5 产物分离与鉴定

在用于催化性能测试处理后的样品中加入等体积的柱层析硅胶, 将样品在50 ℃进行旋转蒸发, 得到的粉末放入到填充好的硅胶柱中, 用正己烷和乙酸乙酯(体积比为10:1)为洗脱剂进行洗脱. 将收集到的洗脱液进行薄层色谱分析确认组分, 合并间苯氧基苯甲醛组分的洗脱液, 蒸除溶剂后得到纯化的间苯氧基苯甲醛1.96 g, 收率为99%. 将样品溶解到CDCl3中, 通过1H NMR确认化合物纯度及结构. 间苯氧基苯甲醛: 1H NMR (400 MHz, CDCl3) δ: 9.83 (s, 1H), 7.54~7.48 (m, 1H), 7.42~7.39 (m, 1H), 7.38 (s, 1H), 7.33~7.24 (m, 2H), 7.19 (d, J=8.1 Hz, 1H), 7.08 (t, J=7.4 Hz, 1H), 6.97 (d, J=7.5 Hz, 2H).
辅助材料(Supporting Information) 表2中产物分离操作及1H NMR图谱, 放大反应的回收数据及Cu@PSAO回收后的红外光谱数据. 这些材料可以免费从本刊网站(http://sioc-journal.cn/)上下载.
(Zhao, C.)
[1]
Zhong, Z. K.; Liu, Y. Y.; Liao, L. H.; Wan, J. P. Org. Lett. 2025, 27, 2537.

[2]
Jin, R. W.; Wang, L. J.; Song, Y.; Liu, X. P.; Wang, J. W.; Li, Z. X. Chin. J. Org. Chem. 2024, 44, 2742 (in Chinese).

(靳瑞文, 王连杰, 宋跃, 刘小培, 王俊伟, 李中贤, 有机化学, 2024, 44, 2742.)

[3]
Yu, L.; Sheng, K.; Li, T.; Tang, C. H. Chin. J. Org. Chem. 2024, 44, 1978 (in Chinese).

(于蕾, 盛康, 李亭, 唐从辉, 有机化学, 2024, 44, 1978.)

[4]
Si, X.; Cai, Q. Chin. J. Org. Chem. 2025, 45, 959 (in Chinese).

(斯绪格, 蔡泉, 有机化学, 2025, 45, 959.)

[5]
Kim, R.; Tong, R. B. Chin. J. Org. Chem. 2025, 45, 933 (in Chinese).

(金令愚, 童荣标, 有机化学, 2025, 45, 933.)

[6]
Chen, T.; Xiong, H.; Yang, J. F.; Zhu, X. L.; Qu, R. Y.; Yang, G. F. J. Agric. Food. Chem. 2020, 68, 9839.

[7]
Kovács, É.; Ali, H.; Minorics, R.; Traj, P.; Resch, V.; Paragi, G.; Bruszel, B.; Zupkó I.; Mernyák, E. Molecules 2023, 28, 1196.

[8]
Lv, T. X.; Cheng, C. G.; Xia, G. J. Chin. J. Pharm. 2001, 32, 37 (in Chinese).

(吕天喜, 程存归, 夏根基, 中国医药工业杂志, 2001, 32, 37.)

[9]
Ji, Y. F. Chin. J. Pharm. 2006, 37, 155 (in Chinese).

(冀亚飞, 中国医药工业杂志, 2006, 37, 155.)

[10]
Huang, H.; Lin, S. S.; Zou, L. L.; Huang, Q. G.; Hou, J. W. CN 115594631A 2022.

[11]
Seyednejhad, S.; Khalilzadeh, M. A.; Zareyee, D.; Sadeghifar, H.; Venditti, R. Cellulose 2019, 26, 5015.

[12]
Iranpoor, N.; Firouzabadi, H.; Rostami, A. Appl. Organomet. Chem. 2013, 27, 501.

[13]
Askari, S.; Khodaei, M. M.; Jafarzadeh, M. J. Porous Mater. 2022, 29, 201.

[14]
Harkal, S.; Kumar, K.; Michalik, D.; Zapf, A.; Jackstell, R.; Rataboul, F.; Riermeier, T.; Monsees, A.; Beller, M. Tetrahedron Lett. 2005, 46, 3237.

[15]
Al-Masum, M.; Alalwan, H. A. Int. J. Org. Chem. 2020, 10, 135.

[16]
Sadeghi, S.; Jafarzadeh, M.; Abbasi, A. R.; Daasbjerg, K. New J Chem. 2017, 41, 12014.

[17]
Yao, X. T.; Yang, X.; Chen, F. H.; Chen, R.; Sun, M. L.; Cheng, R. H.; Ma, Y. Y.; Ye, J. X. Chem. Commum. 2024, 60, 9210.

[18]
Fui, C. J.; Sarjadi, M. S.; Sarkar, S. M.; Rahman, M. L. Catalysts 2020, 10, 1103.

[19]
Ruta, V.; Di Liberto, G.; Moriggi, F.; Ivanov, Y. P.; Divitini, G.; Bussetti, G.; Barbera, V.; Bajada, M. A.; Galimberti, M.; Pacchioni, G.; Vilé G. ChemSusChem 2024, 17, e202400201.

[20]
Zhai, Y. T.; Chen, X. F.; Zhou, W.; Fan, M. Y.; Lai, Y. S.; Ma, D. W. J. Org. Chem. 2017, 82, 4964.

[21]
Chen, Y.; Li, S. L.; Xu, L. T.; Ma, D. W. J. Org. Chem. 2023, 88, 3330.

[22]
Fan, M. Y.; Zhou, W.; Jiang, Y. W.; Ma, D. W. Angew. Chem., Int. Ed. 2016, 55, 6211.

[23]
Hu, T. J.; Schulz, T.; Torborg, C.; Chen, X. R.; Wang, J.; Beller, M.; Huang, J. Chem. Commun. 2009, 7330.

[24]
Hu, T. J.; Chen, X. R.; Wang, J.; Huang, J. ChemCatChem 2011, 3, 661.

[25]
Yu, S. H.; Tian, G. F.; Li, L. D.; Wang, F.; Wang, K. F.; Lei, J. Y.; Hao, H. J.; Xu, Q. H. Appl. Surf. Sci. 2024, 678, 161004.

[26]
Rahmatzadeh, S.; Sardarian, A. R.; Rafipour, D. Appl. Organomet. Chem. 2024, 38, e7630.

文章导航

/