研究论文

半胱氨酸的硫杂芳基化反应

  • 张鑫 ,
  • 李飞 ,
  • 周晨星 ,
  • 霍聪德 , *
展开
  • 西北师范大学化学化工学院 兰州 730070

收稿日期: 2025-06-05

  修回日期: 2025-08-13

  网络出版日期: 2025-09-12

基金资助

国家自然科学基金(22271234)

S-Heteroarylation of Cysteines

  • Xin Zhang ,
  • Fei Li ,
  • Chenxing Zhou ,
  • Congde Huo , *
Expand
  • College of Chemistry and Chemical Engineering, Northwest Normal University, Lanzhou 730070

Received date: 2025-06-05

  Revised date: 2025-08-13

  Online published: 2025-09-12

Supported by

National Natural Science Foundation of China(22271234)

摘要

开发了一种利用廉价、易得的氯代杂芳烃, 对半胱氨酸衍生物进行S-杂芳基化的新方法. 该方法基于亲核芳香取代(SNAr)反应机制, 具有操作简便、反应条件温和的优势, 同时展现出优异的官能团兼容性与化学选择性. 底物普适性考察结果表明, 涵盖多种N-保护基的半胱氨酸衍生物、含半胱氨酸的寡肽及各类氯代杂芳烃在内的底物, 均可通过该方法顺利转化, 获得良好产率. 放大实验进一步验证了该方法的实用性和绿色经济性. 该策略为温和条件下高效、选择性地修饰半胱氨酸及其他硫醇分子提供了新途径, 在蛋白质修饰和生物分子标记等领域展现出广阔的应用前景.

关键词: 半胱氨酸; 杂芳基化;

本文引用格式

张鑫 , 李飞 , 周晨星 , 霍聪德 . 半胱氨酸的硫杂芳基化反应[J]. 有机化学, 2026 , 46(1) : 189 -198 . DOI: 10.6023/cjoc202506011

Abstract

A new method for S-heteroarylation of cysteine derivatives using affordable, readily available chlorinated hetero- aromatic compounds has been proposed. The reaction proceeds via nucleophilic aromatic substitution (SNAr) under mild conditions and simple operation, exhibiting excellent tolerance to various functional groups and high chemical selectivity. The results of substrate scope investigation demonstrated that A wide range of substrates, including different N-protected cysteine derivatives, cysteine-containing peptides, and various chlorinated heteroaryl compounds, could be efficiently transformed via this protocol to afford the desired products in good yields. Scale-up experiments confirmed the practicality and eco-friendliness of this protocol. Overall, this strategy offers an efficient and selective approach to modify cysteine and other thiols under mild conditions with broad potential applications in protein modification and biomolecular labeling.

在生命科学领域, 生物硫醇(如半胱氨酸、同型半胱氨酸和谷胱甘肽等)通过其活性巯基的动态氧化还原调控(如形成二硫键、次磺酸等衍生物), 在维持细胞氧化还原稳态中发挥核心作用[1-3]. 该独特化学性质为化学家开发硫醇选择性修饰策略提供了重要启发, 其中杂芳基硫醚结构的构建因其在药物研发(如免疫抑制剂硫唑嘌呤)[4]和农用化学品[如杀菌剂苯噻氰(TCMTB)][5]领域的广泛应用而备受关注[6-8].
过去几十年, 金属催化的C—S交叉偶联反应(如Buchwald-Hartwig类型)为杂芳基硫醚的合成提供了多种策略[9-12]. 然而, 此类催化体系普遍存在反应条件苛刻(需强碱、高温环境)、过渡金属残留风险以及官能团兼容性较差等局限性. 相比之下, 亲核芳香取代(SNAr)反应凭借其操作简便、条件温和等特点, 在杂芳基卤化物与硫醇的直接偶联中展现出独特优势[13-14]. 半胱氨酸S-杂芳基化是指通过化学或生物方法将杂芳基化合物(如吡啶、嘧啶和噻吩等)以共价键的形式连接到多肽或蛋白质中半胱氨酸残基(SH)上的合成技术. 自1935年科学家将碘代乙酰胺(Iodoacetamide)应用于蛋白质半胱氨酸侧链巯基的修饰[15]以来, 逐渐发展出多种利用卤代试剂修饰多肽和蛋白质上Cys的新方法[16]. 2012年, Erdelmeier小组[17]在溴介导下, 通过原位生成溴代物, 将组氨酸侧链的咪唑基杂环引入半胱氨酸的侧链, 实现了Cys-His偶联方法. 值得注意的是, Johannes[18]、Messaoudi[19]等许多研究小组在光催化和电化学条件下尝试提高杂芳基卤化物和硫醇的金属催化偶联效率, 其中大多数依赖于使用富电子杂芳基卤化物[9,20-23]. 除此之外, 一些能够通过亲核取代反应与硫醇偶联的非卤代杂芳基试剂也相继被报道, 例如磺酰基苯并噻唑[24-25]、苯并三唑类化合物[26]等亲电试剂. 然而这类试剂需要以卤代化合物作为前体进行制备, 步骤相对繁琐, 在绿色化学和原子经济性方面存在一定局限性.
基于此背景, 我们设想采用温和简单的条件与环境友好的试剂, 发展一种无金属催化的半胱氨酸S-杂芳基化修饰的方法, 氯代杂芳基化合物相较于溴化物和碘化物, 廉价易得, 毒性更小, 并且反应活性较低, 对底物表现出良好的官能团耐受性, 具有一定的使用价值和现实意义. 我们决定选用氯代杂芳基化合物作为半胱氨酸的杂芳基化试剂展开研究.

1 结果与讨论

首先, 以N-Boc-L-半胱氨酸甲酯与2-氯苯并噻唑的偶联为模板反应, 通过单一变量对碱、反应溶剂和气氛等因素进行条件筛选. 如表1所示, 碳酸钾(K2CO3)为碱, 乙腈(MeCN)为溶剂, 在常温下反应12 h后, 以93%的分离收率得到目标产物3aa(表1, Entry 1). 对照实验证实了碱在反应过程中的关键作用(表1, Entry 2), 使用K3PO4作为碱, 对溶剂进行了筛选, 在异丙醇中也能够表现出良好的反应效果, 以85%的分离产率得到目标化合物(表1, Entries 3~5). 在乙腈和水或缓冲溶液组成的混合溶剂中也能以较好的产率得到目标产物, 这将有利于复杂多肽的生物标记(表1, Entries 6~8). 向反应体系中加入较弱的碱(Na2CO3)时, 由于对SH的去质子能力减弱, 产率大幅下降, 有机碱也可以兼容, 并且均能以较高的产率得到产物(表1, Entries 9~11).
表1 反应条件优化a

Table 1 Optimization of reaction conditions

Entry Change from the standard conditions Yieldb/%
1 None 93
2 w/o base 0
3 DMSO instead of MeCN 70
4 DMA instead of MeCN 75
5 iPrOH instead of MeCN 85
6 MeCN/H2O (VV=1∶1) 49
7 MeCN/H2O (VV=2∶1) 60
8 MeCN/PBS (VV=1∶1) 40
9 Na2CO3 instead of K2CO3 17
10 K3PO4 instead of K2CO3 89
11 DIPEA instead of K2CO3 90

a Reaction conditions: 1a (0.1 mmol), 2a (0.15 mmol), K2CO3 (2 equiv.), MeCN (1 mL), Ar, r.t., 12 h. b Isolated yields.

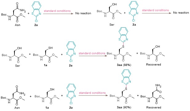
Scheme 1所示, 在标准条件下, 含有羟基的丝氨酸(Ser)和含有胺基的天门冬酰胺(Asn)都不能发生反应. 尝试将半胱氨酸和丝氨酸及天门冬酰胺1∶1混合后进行反应, 半胱氨酸可以顺利得到产物, 而不反应的丝氨酸及天门冬酰胺可以回收. 这些实验结果表明该反应具有很好的官能团选择性.
图式1 反应的化学选择性

Scheme 1 Chemo-selectivity of the reaction

确定了最佳反应条件后, 进行了底物普适性考察. 首先考察了不同N-保护基对反应的影响, 结果如表2所示. 当半胱氨酸甲酯的氨基带有不同保护基时, 均能以良好的收率(78%~93%)得到化合物3aa~3ca. 随后又对含有半胱氨酸的寡肽进行S-杂芳基化修饰, 以中等至良好的产率(45%~77%)和较高的位点选择性合成了化合物3da~3ia. 此外, 非氨基酸硫醇也能以一定的产率(30%)获得杂芳基硫醚化合物(3ja), 导致产率较低的原因可能是位阻较大.
表2 半胱氨酸的底物范围a,b

Table 2 Scope of cysteine

a Reaction conditions: 1 (0.2 mmol), 2a (0.3 mmol), K2CO3 (2 equiv.), MeCN (2 mL), Ar, r.t., 12 h. b Isolated yields.

接下来以N-Boc-L-半胱氨酸甲酯1a为反应底物, 进一步对杂芳基氯化物的底物范围进行了考察, 如表3所示. 带有不同取代基的2-氯苯并噻唑均能以较高的产率(55%~90%)生成目标产物3ab~3ah. 此外, 没有苯环共轭的噻唑底物也能以良好的产率(60%)得到杂芳基化产物3ai. 同为缺电子体系的2-氯苯并噁唑也是良好的底物, 以61%的产率得到化合物3aj. 除此之外, 喹喔啉(3ak)、嘧啶(3al, 3am)、三嗪(3an)等氮杂环也能够以较高的产率(67%~83%)得到相应的产物, 其中氰基取代的氯代嘧啶(3am)受吸电子基影响, 使得反应效果更佳. 值得注意的是, 以1a2n (2,4-二氯-1,3,5-三嗪)作为底物, 将1a增加至3 equiv.时, 能够得到两分子半胱氨酸参与反应的产物, 以中等产率(45%)得到双硫醚化合物5.
表3 杂芳基氯的底物范围a,b

Table 3 Scope of chlorinated heteroaromatic hydrocarbons

a Reaction conditions: 1a (0.2 mmol), 2 (0.3 mmol), K2CO3 (2 equiv.), MeCN (2 mL), Ar, r.t., 12 h. b Isolated yields. c 1a (0.6 mmol, 3 equiv.), 2j (0.2 mmol), K2CO3 (3 equiv.), MeCN (2 mL), Ar, r.t., 12 h.

以上结果表明, 该策略具有良好的底物普适性和官能团兼容性. 为了考察该反应的应用性, 选择模板反应进行了克级制备实验. 考虑到绿色化学的理念, 在标准条件的基础上使用更为绿色友好的异丙醇替换乙腈作为反应的溶剂, 最终以81% (1.48 g)的产率得到产物3aa (Scheme 2, a), 表明该反应在克级规模下依然有较好的效率和可行性, 可利用这种相对绿色友好的方法大量制备S-杂芳基半胱氨酸衍生物. 随后, 进行产物转化实验, 采用经典的方法成功将半胱氨酸衍生物的两端保护剂脱除, 两步总产率为75% (Scheme 2, b). 利用此方法也可对C端未保护的半胱氨酸衍生物侧链的SH进行杂芳基化修饰, 也取得了较好地结果(Scheme 2, c). 在使用2,4-二氯-1,3,5-三嗪作为杂芳基化试剂对半胱氨酸进行修饰时, 发现通过改变半胱氨酸和杂芳基氯的物料比, 能够可控地得到硫醚或双硫醚类产物, 因此这一方法有望用于制备S-杂芳基化环肽分子(Scheme 2, d). 此外, 结合已报道的方法[27]实现了短肽的连续选择性修饰(Scheme 2, e). 首先进行了半胱氨酸的选择性S-杂芳基化, 然后又对甘氨酸α位进行选择性杂芳基化修饰. 最后, 尝试将这一方法应用于更长肽链中半胱氨酸的修饰. 六肽910和七肽11都可以得到相应的杂芳基化产物(Scheme 2, f).
图式2 放大实验和合成应用

Scheme 2 Scale-up experiment and synthetic applications

2 结论

本研究选择廉价易得、副产物毒性小的氯代杂芳烃化合物对半胱氨酸衍生物进行S-杂芳基化修饰. 该反应通过亲核芳香取代(SNAr)过程进行, 因此缺电子体系更适合这一反应. 通过考察底物范围, 发现这种修饰方法具有良好的官能团兼容性和化学选择性, 能够对肽链中半胱氨酸残基进行选择性修饰而不影响其他活泼基团. 控制实验结果表明, 该反应更可能遵循SNAr机理, 受SH更强的亲核性和NH较大的位阻影响, 该反应能够选择性地对半胱氨酸进行S-杂芳基化修饰. 总之, 这种策略为简单条件下利用氯代烃修饰半胱氨酸等硫醇的方法进行补充, 温和的反应条件使其有望用于蛋白修饰, 生物分子标记等领域.

3 实验部分

3.1 仪器与试剂

核磁共振谱图(NMR)由美国Varian公司的Varian MERCURY PLUS 400 (400 MHz)进行1H NMR和19F NMR测定, 由德国Bruker公司的Bruker AV-600 (600 MHz)进行13C NMR测定; 高分辨质谱(HRMS)由Agilent 6520 QTOF 质谱仪测定; 熔点由XT4A熔点仪测定. 所有化合物的合成均在氩气气氛下进行, 其中, 半胱氨酸底物1a1c4a4b, 硫代糖1j, 合成化合物9~11所需的多肽, 杂芳基氯化物2以及其他化学药品与溶剂均为市售分析纯试剂, 均无需进一步处理即可直接使用, 其余底物均参照文献报道的方法进行合成.

3.2 实验方法

根据相关文献制备了半胱氨酸衍生物[28-30].

3.2.1 半胱氨酸S-杂芳基化的一般方法

准确称量半胱氨酸衍生物1 (0.2 mmol), K2CO3 (0.4 mmol, 2 equiv.), 加入到装有搅拌棒的10 mL经干燥的反应管中. 然后将反应管置于双排管上抽真空, 并用氩气回填三次. 在氩气氛围下加入溶剂MeCN (2 mL)和氯代杂芳烃2 (1.5 equiv.). 常温搅拌12 h, 通过减压蒸馏移除溶剂, 在层析柱上进行分离(硅胶200~300目, 石油醚/乙酸乙酯, V∶V=10∶1~1∶1). 用旋转蒸发仪浓缩所需组分, 除去溶剂, 得到目标产物3. 此外, 化合物56经乙酸酸化后, 均通过此方法进行制备与分离. 化合物9~11在标准条件下反应生成, 待反应结束后对混合物溶液进行处理, 并通过HRMS进行分析, 与目标产物分子量相符合.
S-(苯并[d]噻唑-2-基)-N-(叔丁氧羰基)-L-半胱氨酸甲酯(3aa): 68.5 mg, 产率93%. 白色固体, m.p. 145~148 ℃; 1H NMR (400 MHz, CDCl3) δ: 7.86 (d, J=8.1 Hz, 1H), 7.74 (d, J=8.0 Hz, 1H), 7.42 (t, J=7.7 Hz, 1H), 7.33~7.28 (m, 1H), 6.22 (d, J=7.7 Hz, 1H), 4.74 (q, J=6.0 Hz, 1H), 3.82 (d, J=5.3 Hz, 2H), 3.73 (s, 3H), 1.40 (s, 9H); 13C NMR (151 MHz, CDCl3) δ: 170.8, 165.8, 155.2, 152.7, 135.5, 126.1, 124.5, 121.5, 121.0, 80.0, 53.8, 52.6, 35.4, 28.2. HRMS (ESI-qTOF) calcd for C16H20N2O4S2K [M+K] 407.0496, found 407.0481.
N-(((9H-芴-9-基)甲氧基)羰基)-S-(苯并[d]噻唑-2-基)-L-半胱氨酸甲酯(3ba): 80.5 mg, 产率82%. 黄色油状液体. 1H NMR (400 MHz, CDCl3) δ: 7.86 (d, J=8.1 Hz, 1H), 7.75 (d, J=7.7 Hz, 1H), 7.72 (d, J=7.4 Hz, 2H), 7.50 (t, J=8.2 Hz, 2H), 7.42 (t, J=7.1 Hz, 1H), 7.37~7.30 (m, 4H), 7.17 (q, J=7.4 Hz, 2H), 6.90 (d, J=7.3 Hz, 1H), 4.79 (q, J=6.8 Hz, 1H), 4.37~4.35 (m, 2H), 4.15 (t, J=7.1 Hz, 1H), 3.85~3.84 (m, 2H), 3.77 (s, 3H); 13C NMR (151 MHz, CDCl3) δ: 170.6, 166.2, 156.0, 152.5, 143.7, 141.2, 135.5, 127.6, 127.0, 126.4, 125.1, 124.7, 121.5, 121.1, 120.0, 67.1, 54.8, 52.8, 47.1, 34.9. HRMS (ESI-qTOF) calcd for C26H23N2O4S2 [M+H] 491.1094, found 491.1096.
N-乙酰基-(苯并[d]噻唑-2-基)-L-半胱氨酸甲酯(3ca): 48.4 mg, 产率78%. 白色固体, m.p. 110~115 ℃; 1H NMR (400 MHz, CDCl3) δ: 7.86 (d, J=8.1 Hz, 1H), 7.77 (d, J=7.9 Hz, 1H), 7.55 (d, J=6.5 Hz, 1H), 7.47~7.43 (m, 1H), 7.35~7.32 (m, 1H), 4.96 (q, J=6.4 Hz, 1H), 3.83~3.81 (m, 2H), 3.75 (s, 3H), 1.99 (s, 3H); 13C NMR (151 MHz, CDCl3) δ: 170.5, 170.1, 166.4, 152.5, 135.6, 126.4, 124.8, 121.3, 121.2, 53.2, 52.72, 34.8, 23.0. HRMS (ESI-qTOF) calcd for C13H15N2O3S2 [M+H] 311.0519, found 311.0517.
S-(苯并[d]噻唑-2-基)-N-((叔丁氧羰基)-L-苯丙氨酸基)-L-半胱氨酸甲酯(3da): 58.8 mg, 产率57%. 白色固体, m.p. 158~163 ℃; 1H NMR (400 MHz, CDCl3) δ: 7.90~7.78 (m, 2H), 7.76 (d, J=8.0 Hz, 1H), 7.44 (t, J=7.7 Hz, 1H), 7.34 (t, J=7.6 Hz, 1H), 7.19~6.88 (m, 5H), 5.05~4.94 (m, 1H), 4.94~4.86 (m, 1H), 4.47~4.34 (m, 1H), 3.84~3.76 (m, 2H), 3.73 (s, 3H), 3.24~2.62 (m, 2H), 1.39 (s, 9H); 13C NMR (151 MHz, CDCl3) δ: 171.4, 170.0, 166.3, 155.3, 152.5, 136.3, 135.6, 129.3, 128.4, 126.8, 126.4, 124.8, 121.6, 121.1, 80.0, 55.7, 53.1, 52.6, 38.6, 34.8, 28.2. HRMS (ESI-qTOF) calcd for [M+H] C25H30N3O5S2 516.1621, found 516.1623.
S-(苯并[d]噻唑-2-基)-N-((叔丁氧羰基)-L-酪氨酸)-L-半胱氨酸甲酯(3ea): 69.1 mg, 产率65%. 白色固体, m.p. 135~137 ℃; 1H NMR (400 MHz, CDCl3) δ: 8.19 (s, 1H), 7.71 (d, J=7.9 Hz, 2H), 7.66~7.62 (m, 1H), 7.51 (d, J=7.9 Hz, 1H), 7.35 (t, J=7.7 Hz, 1H), 7.30 (d, J=7.6 Hz, 1H), 7.26~7.22 (m, 1H), 7.10 (t, J=7.6 Hz, 1H), 7.05~6.99 (m, 1H), 5.19~5.08 (m, 1H), 4.87 (q, J=6.0 Hz, 1H), 4.50 (s, 1H), 3.77~3.66 (m, 2H), 3.65 (s, 3H), 3.20 (t, J=6.8 Hz, 2H), 1.39 (s, 9H); 13C NMR (151 MHz, CDCl3) δ: 171.8, 169.9, 166.4, 155.3, 155.0, 152.3, 135.5, 130.4, 127.4, 126.5, 124.8, 121.5, 121.2, 115.4, 80.2, 55.8, 53.2, 52.7, 37.8, 34.7, 28.2. HRMS (ESI-qTOF) calcd for C25H30N3O6S2 [M+H] 532.1571, found 532.1572.
S-(苯并[d]噻唑-2-基)-N-((叔丁氧羰基)-L-色氨酸)-L-半胱氨酸甲酯(3fa): 85.4 mg, 产率77%. 白色固体, m.p. 91~94 ℃; 1H NMR (400 MHz,CDCl3) δ: 7.90~7.78 (m, 2H), 7.76 (d, J=8.0 Hz, 1H), 7.44 (t, J=7.7 Hz, 1H), 7.34 (t, J=7.6 Hz, 1H), 7.17~6.95 (m, 5H), 5.05~4.94 (m, 1H), 4.92 (d, J=5.9 Hz, 1H), 4.42 (d, J=9.1 Hz, 1H), 3.84~3.75 (m, 2H), 3.73 (s, 3H), 3.30~2.66 (m, 2H), 1.39 (s, 9H); 13C NMR (151 MHz, CDCl3) δ: 171.9, 170.0, 166.1, 155.3, 152.4, 136.1, 135.4, 127.6, 126.4, 124.7, 123.3, 122.0, 121.5, 121.0, 119.5, 118.6, 111.0, 110.1, 79.9, 55.3, 52.9, 52.6, 34.8, 29.2, 28.2. HRMS (ESI-qTOF) calcd for C27H31N4O5S2 [M+H] 555.1730, found 555.1732.
S-(苯并[d]噻唑-2-基)-N-(对甲苯基甘油基)-L-半胱氨酸甲酯(3ga): 37.4 mg, 产率45%. 白色固体, m.p. 120~125 ℃; 1H NMR (400 MHz, CDCl3) 8.14 (d, J=7.6 Hz, 1H), 7.79 (d, J=8.1 Hz, 1H), 7.71 (d, J=8.0 Hz, 1H), 7.41 (t, J=7.1 Hz, 1H), 7.31 (t, J=7.0 Hz, 1H), 6.83 (d, J=8.1 Hz, 2H), 6.27 (d, J=8.3 Hz, 2H), 5.02~4.92 (m, 1H), 3.88~3.82 (m, 2H), 3.75 (s, 3H), 3.74~3.64 (m, 2H), 2.19 (s, 3H); 13C NMR (151 MHz, CDCl3) δ: 171.6, 170.3, 166.2, 152.5, 144.7, 135.7, 129.5, 128.2, 126.2, 124.5, 121.5, 121.1, 113.3, 53.1, 52.7, 49.4, 33.9, 20.4. HRMS (ESI-qTOF) calcd for C20H21N3O3S2Na [M+Na] 438.0917, found 438.0931.
S-(苯并[d]噻唑-2-基)-N-((4-甲氧基苯基)甘油基)-L-半胱氨酸甲酯(3ha): 46.6 mg, 产率54%. 白色固体, m.p. 97~100 ℃; 1H NMR (400 MHz, CDCl3) δ: 8.23 (d, J=7.5 Hz, 1H), 7.79 (d, J=8.1 Hz, 1H), 7.70 (d, J=7.9 Hz, 1H), 7.43~7.39 (m, 1H), 7.33~7.29 (m, 1H), 6.83~6.77 (m, 1H), 6.60 (d, J=8.9 Hz, 2H), 6.28 (d, J=8.9 Hz, 2H), 4.98~4.93 (m, 1H), 3.89~3.83 (m, 2H), 3.75 (s, 3H), 3.72 (s, 1H), 3.70 (s, 3H), 3.64 (d, J=17.4 Hz, 1H); 13C NMR (151 MHz, CDCl3) δ: 171.7, 170.3, 166.2, 153.0, 152.4, 141.0, 135.7, 126.1, 124.5, 121.4, 121.1, 114.5, 114.4, 55.7, 53.2, 52.7, 49.9, 33.8. HRMS (ESI-qTOF) calcd for C20H22N3O4S2 [M+H] 432.1046, found 432.1058.
S-(苯并[d]噻唑-2-基)-N-(叔丁氧羰基)-L-缬氨酸-L-色氨酰基-L-半胱氨酸甲酯(3ia): 70.0 mg, 产率57%. 白色固体, m.p. 157~159 ℃; 1H NMR (400 MHz, CDCl3) δ: 8.19 (s, 1H), 7.73~7.68 (m, 2H), 7.66 (d, J=8.1 Hz, 1H), 7.63 (d, J=7.8 Hz, 1H), 7.35 (t, J=7.6 Hz, 1H), 7.29 (d, J=8.3 Hz, 1H), 7.23 (d, J=8.0 Hz, 1H), 7.15 (d, J=2.3 Hz, 1H), 7.12~7.01 (m, 2H), 6.75 (d, J=7.6 Hz, 1H), 4.97 (d, J=8.0 Hz, 1H), 4.86 (q, J=5.8 Hz, 1H), 4.82~4.72 (m, 1H), 3.99~3.88 (m, 1H), 3.78~3.67 (m, 2H), 3.67 (s, 3H), 3.38~3.08 (m, 2H), 2.24~2.05 (m, 1H), 1.39 (s, 9H), 0.91 (d, J=6.8 Hz, 3H), 0.81 (d, J=6.8 Hz, 3H); 13C NMR (151 MHz, CDCl3) δ: 171.2, 169.8, 165.9, 155.9, 152.4, 136.1, 135.3, 128.8, 127.5, 126.4, 124.7, 123.7, 122.0, 121.5, 121.0, 119.6, 118.5, 111.1, 109.9, 79.9, 65.5, 60.0, 53.9, 52.6, 34.8, 30.7, 28.2, 19.2, 17.3. HRMS (ESI-qTOF) calcd for C32H40N5O6S2 [M+H] 654.2415, found 654.2415.
(2R,3R,4S,5R,6S)-2-(乙酰氧基甲基)-6-(苯并[d]噻唑-2-基硫基)四氢-2H-吡喃-3,4,5-三酰基三乙酸酯(3ja): 29.9 mg, 产率30%. 白色固体, m.p. 131~134 ℃; 1H NMR (400 MHz, CDCl3) δ: 7.94 (d, J=8.1 Hz, 1H), 7.80 (d, J=7.8 Hz, 1H), 7.51~7.42 (m, 1H), 7.40~7.32 (m, 1H), 5.58 (d, J=10.3 Hz, 1H), 5.36 (t, J=9.3 Hz, 1H), 5.28~5.14 (m, 2H), 4.31 (dd, J=12.5, 4.9 Hz, 1H), 4.19 (dd, J=12.5, 2.3 Hz, 1H), 3.98~3.89 (m, 1H), 2.06 (s, 3H), 2.05 (s, 3H), 2.05 (s, 3H), 2.03 (s, 3H); 13C NMR (151 MHz, CDCl3) δ: 170.6, 170.1, 169.4, 169.4, 161.9, 152.7, 135.8, 126.4, 125.0, 122.3, 121.0, 84.0, 76.3, 73.7, 69.7, 68.1, 61.8, 20.7, 20.6, 20.6. HRMS (ESI-qTOF) calcd for C21H24NO9S2 [M+H] 498.0887, found 498.0886.
N-(叔丁氧羰基)-S-(6-甲基苯并[d]噻唑-2-基)-L-半胱氨酸甲酯(3ab): 42.1 mg, 产率55%. 白色固体, m.p. 143~144 ℃; 1H NMR (400 MHz, CDCl3) δ: 7.74 (d, J=8.3 Hz, 1H), 7.53 (s, 1H), 7.23 (d, J=8.3 Hz, 1H), 6.29 (d, J=7.5 Hz, 1H), 4.72 (q, J=6.0 Hz, 1H), 3.79 (dd, J=5.3, 2.3 Hz, 2H), 3.72 (s, 3H), 2.45 (s, 3H), 1.41 (s, 9H); 13C NMR (151 MHz, cdcl3) δ: 170.8, 164.4, 155.3, 150.8, 135.7, 134.7, 127.6, 121.0, 120.8, 79.9, 53.9, 52.6, 35.4, 28.2, 21.4. HRMS (ESI-qTOF) calcd for C17H23N2O4S2[M+H] 383.1094, found 383.1094.
N-(叔丁氧羰基)-S-(6-甲氧基苯并[d]噻唑-2-基)-L-半胱氨酸甲酯(3ac): 46.2 mg, 产率58%. 白色固体, m.p. 150~152 ℃; 1H NMR (400 MHz, CDCl3) δ: 7.75 (d, J=8.8 Hz, 1H), 7.21 (d, J=2.4 Hz, 1H), 7.05~6.98 (m, 1H), 6.28 (d, J=7.5 Hz, 1H), 4.72 (q, J=5.9 Hz, 1H), 3.85 (s, 3H), 3.77 (d, J=5.1 Hz, 2H), 3.72 (s, 3H), 1.41 (s, 9H); 13C NMR (151 MHz, CDCl3) δ: 170.8, 162.4, 157.3, 155.2, 147.3, 136.9, 122.0, 115.0, 104.0, 79.9, 55.7, 53.8, 52.6, 35.6, 28.2. HRMS (ESI-qTOF) calcd for C17H23N2O5S2 [M+H] 399.1043, found 399.1043.
N-(叔丁氧羰基)-S-(6-氟苯并[d]噻唑-2-基)-L-半胱氨酸甲酯(3ad): 69.6 mg, 产率90%. 白色固体, m.p. 145~148 ℃; 1H NMR (400 MHz, CDCl3) δ: 7.80 (dd, J=8.9, 4.8 Hz, 1H), 7.44 (dd, J=8.0, 2.6 Hz, 1H), 7.19~7.09 (m, 1H), 6.09 (d, J=7.7 Hz, 1H), 4.74 (q, J=6.1 Hz, 1H), 3.84~3.77 (m, 2H), 3.73 (s, 3H), 1.41 (s, 9H); 13C NMR (151 MHz, CDCl3) 170.76, 165.32 (d, J=2.5 Hz), 160.76, 159.13, 155.16, 149.40 (d, J=5.4 Hz), 136.45 (d, J=10.9 Hz), 122.29 (d, J=9.3 Hz), 114.53 (d, J=24.5 Hz), 107.47 (d, J=27.1 Hz), 80.03, 77.21, 77.00, 76.79, 53.69, 52.63, 35.49, 28.19; 19F NMR (376 MHz, CDCl3) δ: -116.55. HRMS (ESI-qTOF) calcd for C16H20FN2O4S2 [M+H] 387.0843, found 387.0843.
S-(6-溴苯并[d]噻唑-2-基)-N-(叔丁氧羰基)-L-半胱氨酸甲酯(3ae): 76.1 mg, 产率85%. 黄色油状液体. 1H NMR (400 MHz, CDCl3) δ: 7.87 (d, J=1.9 Hz, 1H), 7.70 (d, J=8.6 Hz, 1H), 7.53~7.50 (m, 1H), 6.01 (d, J=7.8 Hz, 1H), 4.74 (d, J=6.6 Hz, 1H), 3.87~3.81 (m, 2H), 3.73 (s, 3H), 1.41 (s, 9H); 13C NMR (151 MHz, CDCl3) δ: 170.7, 166.6, 155.2, 151.6, 137.1, 129.6, 123.5, 122.5, 118.0, 80.1, 53.6, 52.7, 35.4, 28.2. HRMS (ESI-qTOF) calcd for C16H20BrN2O4S2 [M+H]444.9896, found 444.9892.
(R)-2-((2-((叔丁氧羰基)氨基)-3-甲氧基-3-氧代丙基)硫代)苯并噻唑-6-羧酸乙酯(3af): 66.1 mg, 产率75%. 黄色油状液体. 1H NMR (400 MHz, CDCl3) δ: 8.46 (s, 1H), 8.11 (d, J=8.6 Hz, 1H), 7.87 (d, J=8.5 Hz, 1H), 6.05 (d, J=7.8 Hz, 1H), 4.76 (q, J=6.3 Hz, 1H), 4.41 (q, J=7.2 Hz, 2H), 3.93~3.85 (m, 2H), 3.75 (s, 3H), 1.42 (t, J=7.1 Hz, 1H), 1.41 (s, 9H); 13C NMR (151 MHz, CDCl3) δ: 170.7, 169.9, 165.9, 155.5, 155.2, 135.4, 127.5, 126.7, 123.0, 121.0, 80.1, 61.2, 53.6, 52.6, 35.4, 28.2, 14.3. HRMS (ESI-qTOF) calcd for C19H25N2O6S2 [M+H] 441.1149, found 441.1147.
N-(叔丁氧羰基)-S-(6-硝基苯并[d]噻唑-2-基)-L-半胱氨酸甲酯(3ag): 70.3 mg, 产率85%. 白色固体, m.p. 183~184 ℃. 1H NMR (400 MHz, CDCl3) δ: 8.68 (d, J=2.3 Hz, 1H), 8.31 (dd, J=9.0, 2.3 Hz, 1H), 7.91 (d, J=9.0 Hz, 1H), 5.83 (d, J=7.8 Hz, 1H), 4.78 (q, J=6.5 Hz, 1H), 4.02~3.81 (m, 2H), 3.77 (s, 3H), 1.41 (s, 9H); 13C NMR (151 MHz, CDCl3) δ: 173.0, 170.6, 156.4, 155.0, 144.2, 135.7, 121.9, 121.3, 117.4, 80.2, 53.2, 52.7, 35.5, 28.2. HRMS (ESI-qTOF) calcd for C16H20N3O6S2 [M+H] 414.0788, found 414.0787.
N-(叔丁氧羰基)-S-(4-氯苯并[d]噻唑-2-基)-L-半胱氨酸甲酯(3ah): 60.4 mg, 产率75%. 白色固体, m.p. 115~118 ℃; 1H NMR (400 MHz, CDCl3) δ: 7.62 (d, J=8.0 Hz, 1H), 7.43 (d, J=6.8 Hz, 1H), 7.23 (t, J=8.0 Hz, 1H), 6.30 (d, J=7.5 Hz, 1H), 4.77 (q, J=5.9 Hz, 1H), 3.84 (d, J=5.2 Hz, 2H), 3.74 (s, 3H), 1.41 (s, 9H); 13C NMR (151 MHz, CDCl3) δ: 170.7, 167.5, 155.3, 149.8, 136.8, 126.5, 126.4, 125.1, 119.4, 80.0, 54.0, 52.5, 35.5, 28.2. HRMS (ESI-qTOF) calcd for C16H20ClN2O4S2 [M+H]403.0548, found 403.0546.
(R)-2-((2-((叔丁氧羰基)氨基)-3-甲氧基-3-氧代丙基)硫代)噻唑-5-羧酸乙酯(3ai): 46.9 mg, 产率60%. 淡黄色油状液体. 1H NMR (400 MHz, CDCl3) δ: 8.19 (s, 1H), 5.55 (d, J=7.9 Hz, 1H), 4.70 (d, J=6.8 Hz, 1H), 4.37 (q, J=7.1 Hz, 2H), 3.76 (s, 3H), 3.74~3.65 (m, 2H), 1.43 (s, 9H), 1.39~1.35 (m, 3H); 13C NMR (151 MHz, CDCl3) δ: 170.4, 161.1, 160.5, 154.9, 145.1, 134.5, 80.2, 61.2, 53.0, 52.7, 34.9, 28.1, 14.2. HRMS (ESI-qTOF) calcd for C15H22N2O6S2Na [M+Na] 413.0811, found 413.0815.
S-(苯并[d]噁唑-2-基)-N-(叔丁氧羰基)-L-半胱氨酸甲酯(3aj): 43.0 mg, 产率61%. 白色固体, m.p. 95~97 ℃; 1H NMR (400 MHz, CDCl3) δ: 7.58 (d, J=7.6 Hz, 1H), 7.44 (d, J=6.7 Hz, 1H), 7.31~7.27 (m, 1H), 7.26~7.23 (m, 1H), 5.78~5.76 (m, 1H), 4.76 (d, J=6.3 Hz, 1H), 3.86~3.81 (m, 2H), 3.75 (s, 3H), 1.40 (s, 9H); 13C NMR (151 MHz, CDCl3) δ: 170.6, 164.0, 152.1, 141.7, 124.4, 124.2, 118.5, 110.0, 80.2, 53.5, 52.7, 34.5, 28.2. HRMS (ESI-qTOF) calcd for C16H21N2O5S [M+H] 353.1166, found 353.1164.
N-(叔丁氧羰基)-S-(喹喔啉-2-基)-L-半胱氨酸甲酯(3ak): 48.7 mg, 产率67%. 白色固体, m.p. 114~115 ℃; 1H NMR (400 MHz, CDCl3) δ: 8.62 (d, J=1.8 Hz, 1H), 8.02 (d, J=8.0 Hz, 1H), 7.97 (d, J=8.3 Hz, 1H), 7.71 (t, J=7.6 Hz, 1H), 7.68~7.59 (m, 1H), 6.26 (d, J=7.7 Hz, 1H), 4.76 (d, J=6.3 Hz, 1H), 3.86~3.77 (m, 2H), 3.73 (s, 3H), 1.40 (s, 9H); 13C NMR (151 MHz, CDCl3) δ: 171.1, 155.2, 154.7, 144.4, 142.1, 140.1, 130.3, 129.2, 128.5, 127.6, 79.9, 53.8, 52.5, 31.8, 28.2. HRMS (ESI-qTOF) calcd for C17H22N3O4S [M+H] 364.1326, found 364.1323.
N-(叔丁氧羰基)-S-(嘧啶-2-基)-L-半胱氨酸甲酯(3al): 50.1 mg, 产率80%. 无色油状液体. 1H NMR (400 MHz, CDCl3) δ: 8.52 (d, J=4.9 Hz, 2H), 7.02 (t, J=4.8 Hz, 1H), 5.73 (d, J=7.9 Hz, 1H), 4.67 (d, J=6.2 Hz, 1H), 3.75 (s, 3H), 3.72~3.54 (m, 2H), 1.41 (s, 9H); 13C NMR (151 MHz, CDCl3) δ: 171.4, 171.3, 157.2, 155.2, 116.9, 79.8, 53.6, 52.4, 32.7, 28.2. HRMS (ESI-qTOF) calcd for C13H20N3O4S [M+H] 314.1169, found 314.1166.
N-(叔丁氧羰基)-S-(4-氰基嘧啶-2-基)-L-半胱氨酸甲酯(3am): 56.1 mg, 产率83%. 白色固体, m.p. 108~110 ℃; 1H NMR (400 MHz, CDCl3) δ: 8.74 (d, J=4.9 Hz, 1H), 7.34 (d, J=4.8 Hz, 1H), 5.48 (d, J=8.3 Hz, 1H), 4.70 (d, J=6.8 Hz, 1H), 3.78 (s, 3H), 3.76~3.50 (m, 2H), 1.43 (s, 9H); 13C NMR (151 MHz, CDCl3) δ: 173.5, 171.0, 158.8, 155.0, 141.2, 119.4, 114.9, 80.1, 52.7, 52.6, 33.2, 28.1. HRMS (ESI-qTOF) calcd for C14H18N4O4SNa [M+Na] 361.0941, found 361.0940.
N-(叔丁氧羰基)-S-(4-氯-1,3,5-三嗪-2-基)-L-半胱氨酸甲酯(3an): 49.5 mg, 产率71%. 白色固体, m.p. 141~143 ℃; 1H NMR (400 MHz, CDCl3) δ: 8.68 (s, 1H), 5.45 (d, J=8.1 Hz, 1H), 4.76~4.67 (m, 1H), 3.82 (d, J=4.7 Hz, 1H), 3.79 (s, 3H), 3.55 (dd, J=14.1, 6.8 Hz, 1H), 1.43 (s, 9H); 13C NMR (151 MHz, CDCl3) δ: 184.0, 170.7, 170.0, 165.7, 154.9, 80.4, 52.8, 52.6, 32.9, 28.2. HRMS (ESI-qTOF) calcd for C12H18ClN4O4S [M+H] 349.0732, found 349.0735.

3.2.2 化合物3aa脱保护的一般方法

将三氟乙酸(75 μL)加入到含有化合物3aa (65.1 mg, 0.2 mmol)的二氯甲烷(DCM) (0.5 mL)溶液中, 所得混合物于室温下搅拌30 min. 反应完成后, 除去溶剂, 用水和二氯甲烷(10 mL)萃取. 合并水层, 去除溶剂, 将所得粗产物溶解于甲醇(1 mL)中, 并随后加入氢氧化钾水溶液(1 mL, 1 mol/L). 所得混合物在室温下搅拌1 h. 通过薄层色谱(TLC)监测反应终点. 反应完成后, 蒸除溶剂, 并用水溶解, DCM萃取. 向水层加入1 mol/L盐酸调节pH至1. 用乙酸乙酯洗涤以去除脂溶性杂质. 收集水相并在减压下浓缩, 得到S-(苯并[d]噻唑-2-基)-L-半胱氨酸盐酸盐(4) 38.2 mg, 产率75%. 白色固体, m.p. 230~233 ℃; 1H NMR (400 MHz, DMSO-d6) δ: 8.88 (s, 2H), 8.82~8.64 (m, 1H), 8.04 (d, J=8.0 Hz, 1H), 7.88 (d, J=8.1 Hz, 1H), 7.63~7.45 (m, 1H), 7.39 (t, J=7.6 Hz, 1H), 4.39 (s, 1H), 4.05~3.87 (m, 2H); 13C NMR (151 MHz, DMSO-d6) δ: 169.0, 165.2, 152.4, 134.9, 126.6, 124.9, 122.1, 121.4, 51.5, 32.4. HRMS (ESI-qTOF) calcd for C10H11N2O2S2 [M+H] 255.0256, found 255.0258.
S-(苯并[d]噻唑-2-基)-N-(叔丁氧羰基)-L-半胱氨酸(5): 34.7 mg, 产率49%. 白色固体, m.p. 145~148 ℃; 1H NMR (400 MHz, CDCl3) δ: 7.77 (d, J=8.1 Hz, 1H), 7.56 (d, J=7.8 Hz, 1H), 7.31~7.13 (m, 2H), 6.91~6.61 (m, 1H), 4.63~4.42 (m, 1H), 3.99~3.53 (m, 2H), 1.30 (s, 9H); 13C NMR (151 MHz, CDCl3) δ: 176.72, 167.24, 156.52, 152.57, 135.30, 125.92, 124.16, 121.35, 120.77, 79.83, 77.21, 77.00, 76.79, 55.56, 36.30, 28.28. HRMS (ESI-qTOF) calcd for C15H19N2O4S2 [M+H] 355.0781, found 355.0780.
N-乙酰基-(苯并[d]噻唑-2-基)-L-半胱氨酸(6): 35.6 mg, 产率60%. 白色固体, m.p. 197~198 ℃; 1H NMR (400 MHz, CDCl3) δ: 8.61 (d, J=5.2 Hz, 1H), 7.85 (d, J=8.4 Hz, 1H), 7.79 (d, J=7.5 Hz, 1H), 7.54~7.45 (m, 1H), 7.43~7.34 (m, 1H), 4.90~4.79 (m, 1H), 3.88~3.64 (m, 2H), 2.03 (s, 3H); 13C NMR (151 MHz, CDCl3) δ: 173.04, 170.89, 168.97, 151.65, 135.34, 126.74, 125.20, 121.42, 120.85, 77.21, 77.00, 76.79, 55.26, 34.97, 22.70. HRMS (ESI-qTOF) calcd for C12H13N2O3S2 [M+H] 297.0362, found 297.0363.
3,3'-(1,3,5-三嗪-2,4-二基)双(磺胺二基)(2R,2'R)-双(2-((叔丁氧羰基)氨基)丙酸二甲酯)(7): 59.1 mg, 产率54%. 白色固体, m.p. 152~155 ℃; 1H NMR (400 MHz, CDCl3) δ: 8.48 (s, 1H), 5.49 (d, J=8.1 Hz, 2H), 4.66 (q, J=6.8 Hz, 2H), 3.79 (d, J=2.4 Hz, 2H), 3.76 (s, 6H), 3.49 (dd, J=14.2, 6.8 Hz, 2H), 1.43 (s, 18H); 13C NMR (151 MHz, CDCl3) δ: 180.7, 170.9, 163.1, 155.0, 129.7, 80.2, 52.9, 52.7, 32.3, 28.2. HRMS (ESI-qTOF) calcd for C21- H34N5O8S2 [M+H] 548.1843, found 548.1843.
S-(苯并[d]噻唑-2-基)-N-(2-((4-甲氧基苯基)氨基)-2-(吡啶-4-基)乙酰基)-L-半胱氨酸甲酯(8): 86.5 mg, 产率71%. 白色固体, m.p. 170~172 ℃; 1H NMR (400 MHz, DMSO-d6) δ: 8.26 (d, J=8.0 Hz, 1H), 7.66 (d, J=5.9 Hz, 2H), 7.14 (d, J=8.0 Hz, 1H), 6.99 (d, J=8.6 Hz, 1H), 6.64~6.61 (m, 2H), 6.54~6.48 (m, 1H), 5.83 (d, J=9.1 Hz, 2H), 5.77 (d, J=9.0 Hz, 2H), 5.11 (d, J=7.7 Hz, 1H), 4.16 (d, J=7.6 Hz, 1H), 3.99~3.89 (m, 1H), 3.07 (dd, J=13.7, 4.9 Hz, 1H), 2.85~2.77 (m, 2H), 2.75 (s, 3H), 2.71 (s, 3H); 13C NMR (151 MHz, DMSO-d6) δ: 170.5, 170.1, 165.7, 152.5, 151.6, 149.5, 147.6, 140.9, 134.6, 126.4, 124.6, 122.6, 121.8, 121.2, 114.6, 114.4, 60.8, 55.2, 52.3, 51.3, 33.6. HRMS (ESI-qTOF) calcd for C25H25N4O4S2 [M+H] 509.1312, found 509.1310.
辅助材料(Supporting Information) 化合物3, 4~81H NMR, 13C NMR和19F NMR图谱, 以及化合物9~11的高分辨质谱图. 这些材料可以免费从本刊网站(http://sioc-journal.cn/)上下载.
(Lu, Y.)
[1]
Hwang C.; Sinskey A. J.; Lodish H. F. Science 1992, 257, 1496.

DOI PMID

[2]
Lipton S. A.; Choi Y.-B.; Takahashi H.; Zhang D.; Li W.; Godzik A.; Bankston L. A. Trends Neurosci. 2002, 25, 474.

DOI

[3]
Zhang S.; Ong C.-N.; Shen H.-M. Cancer Lett. 2004, 208, 143.

DOI

[4]
Whisnant J. K.; Pelkey J. Ann. Rheum. Dis. 1982, 41, 44.

DOI

[5]
Vyhnalkova R.; Eisenberg A.; van de Ven, T. G. M. Langmuir 2011, 27, 11296.

DOI PMID

[6]
Landelle G.; Panossian A.; Leroux F. Curr. Top. Med. Chem. 2014, 14, 941.

DOI PMID

[7]
Vitaku E.; Smith D. T.; Njardarson J. T. J. Med. Chem. 2014, 57, 10257.

DOI PMID

[8]
Feng M.; Tang B.; H. Liang S.; Jiang X. Curr. Top. Med. Chem. 2016, 16, 1200.

DOI

[9]
Sandfort F.; Knecht T.; Pinkert T.; Daniliuc C. G.; Glorius F. J. Am. Chem. Soc. 2020, 142, 6913.

DOI

[10]
Liu W.; Jin X.; Ma D. Green Chem. 2023, 25, 7627.

DOI

[11]
Wang G.; Gao L.; Feng Y.; Lin L. Org. Lett. 2023, 25, 4340.

DOI

[12]
Bacauanu V.; Merz Z. N.; Hua Z. L.; Lang S. B. J. Am. Chem. Soc. 2023, 145, 25842.

DOI PMID

[13]
Bunnett J. F.; Zahler R. E. Chem. Rev. 1951, 49, 273.

DOI

[14]
Bunnett J. F. J. Chem. Educ. 1974, 51.

[15]
Goddard D. R.; Michaelis L. J. Biol. Chem. 1935, 112, 361.

DOI

[16]
Zhang C.; Vinogradova E. V.; Spokoyny A. M.; Buchwald S. L.; Pentelute B. L. Angew. Chem. Int. Ed. 2019, 58, 4810.

DOI PMID

[17]
Erdelmeier I.; Daunay S.; Lebel R.; Farescour L.; Yadan J.-C. Green Chem. 2012, 14, 2256.

DOI

[18]
Oderinde M. S.; Frenette M.; Robbins D. W.; Aquila B.; Johannes J. W. J. Am. Chem. Soc. 2016, 138, 1760.

DOI PMID

[19]
Shen L.; Monasson O.; Peroni E.; Le Bideau F.; Messaoudi S. Angew. Chem. Int. Ed. 2023, 62, e202315748.

[20]
Majek M.; von Wangelin A. J. Chem. Commun. 2013, 49, 5507.

DOI

[21]
Jiang M.; Li H.; Yang H.; Fu H. Angew. Chem. Int. Ed. 2016, 56, 874.

DOI

[22]
Bottecchia C.; Rubens M.; Gunnoo S. B.; Hessel V.; Madder A.; Noël T. Angew. Chem. Int. Ed. 2017, 56, 12702.

DOI PMID

[23]
Liu B.; Lim C.-H.; Miyake G. M. J. Am. Chem. Soc. 2017, 139, 13616.

DOI

[24]
Zhang D.; Devarie-Baez N. O.; Li Q.; Lancaster J. R.; Xian M. Org. Lett. 2012, 14, 3396.

DOI

[25]
Zhang D.; Chen W.; Kang J.; Ye Y.; Zhao Y.; Xian M. Org. Biomol. Chem. 2014, 12, 6837.

DOI PMID

[26]
Jeminejs A.; Novosjolova I.; Bizdēna Ē.; Turks M. Org. Biomol. Chem. 2021, 19, 7706.

DOI PMID

[27]
Zhou C.; Ji D.; Wang X.; Yang C.; Zhou P.; Huo C. Org. Lett. 2024, 26, 5323.

DOI

[28]
Qin L.-Z.; Yuan X.; Cui Y.-S.; Sun Q.; Duan X.; Zhuang K.-Q.; Chen L.; Qiu J.-K.; Guo K. Adv. Synth. Catal. 2020, 362, 5093.

DOI

[29]
Jiménez-Balsa A.; Dodero V. I.; Mascareñas J. L. Tetrahedron 2013, 69, 7847.

DOI

[30]
Lee M.-H.; Kang K.-H.; Lee Y.-M.; Kim D.-J.; Park Y.-S. Bull. Korean Chem. Soc. 2008, 29, 1075.

DOI

文章导航

/