研究论文

银催化(2,2-二氟-2)-苯硫基乙酸和2-芳基-N-丙烯酰胺吲哚的串联脱羧环化反应

  • 刘佳乐 a ,
  • 唐裕才 , a, * ,
  • 印丘梅 a ,
  • 黄嘉明 a ,
  • 邓世强 a ,
  • 夏伟铭 a ,
  • 蒋洁 a ,
  • 王祖利 b
展开
  • a 湖南文理学院化学与材料工程学院 电镀废水回用技术湖南省工程研究中心 湖南常德 415000
  • b 南京林业大学化学工程学院 南京 210037

收稿日期: 2025-07-09

  修回日期: 2025-08-24

  网络出版日期: 2025-09-18

基金资助

湖南省教育厅优秀青年基金(23B0650)

湖南文理学院重点项目(24ZZ02)

常德市科技创新指导性计划(2025ZD124)

Silver-Catalyzed Tandem Decarboxylative Cyclization of 2,2-Difluoro-2-(phenylthio)acetic Acids with 2-Aryl-N-acrylamide Indoles

  • Jiale Liu a ,
  • Yucai Tang , a, * ,
  • Qiumei Yin a ,
  • Jiaming Huang a ,
  • Shiqiang Deng a ,
  • Weiming Xia a ,
  • Jie Jiang a ,
  • Zu-Li Wang b
Expand
  • a College of Chemistry and Materials Engineering, Hunan Province Engineering Research Center of Electroplating Wastewater Reuse Technology, Hunan University of Arts and Science, Changde, Hunan 415000
  • b School of Chemical Engineering, Nanjing Forestry University, Nanjing 210037
* E-mail:

Received date: 2025-07-09

  Revised date: 2025-08-24

  Online published: 2025-09-18

Supported by

Scientific Research Foundation of Hunan Provincial Education Department(23B0650)

Key Research Project of Hunan University of Arts and Sciences(24ZZ02)

Technology Innovation and Development Guidance Program of Changde(2025ZD124)

摘要

向有机分子中引入硫二氟亚甲基(SCF2)能够极大地增强其生物活性. 此研究发展了一种银催化(2,2-二氟-2)-苯硫基乙酸与2-芳基-N-丙烯酰胺吲哚结构的串联脱羧环化反应, 制备了28种硫二氟亚甲基取代吲哚[2,1-a]异喹啉酮衍生物, 产率中等到优秀. 机理验证实验表明, 该反应可能涉及到自由基历程.

本文引用格式

刘佳乐 , 唐裕才 , 印丘梅 , 黄嘉明 , 邓世强 , 夏伟铭 , 蒋洁 , 王祖利 . 银催化(2,2-二氟-2)-苯硫基乙酸和2-芳基-N-丙烯酰胺吲哚的串联脱羧环化反应[J]. 有机化学, 2026 , 46(1) : 118 -127 . DOI: 10.6023/cjoc202507011

Abstract

The introduction of SCF2 motif into organic molecules would increases the bioactivity significantly. A silver-cata- lyzed tandem decarboxylative cyclization of 2,2-difluoro-2-(phenylthio)acetic acids with 2-aryl-N-acrylamide indoles is described, furnishing 28 examples of SCF2-substituted indolo[2,1-a]isoquinoline derivatives in moderate to good yields. Mechanistic studies reveal that a radical pathway is proposed in this transformation.

1 Introduction

The direct introduction of thiodifluoromethylene (SCF2) group into organic molecules has attracted considerable attention in recent years, as it can significantly improve the lipophilicity of parent molecules.[1-2] For example, compound A exhibits no biological activity, whereas compound B has found applications as an HIV-1 reverse transcriptase inhibitor (Scheme 1a).[3] Moreover, the SCF2 motif can also serve as a versatile building block in organic transformations, such as the formation of sulfoxides, sulfones, and defluorinated products.[4] Due to the importance of SCF2 moieties, tremendous efforts have been spent to explore diverse methods to construct SCF2-containing molecules in the past decades. The aryldifluoromethylation of thiophenol derivatives via nucleophilic substitution has been identified by several groups as a viable approach for the synthesis of ArSCF₂-substituted aromatic compounds (Scheme 1b).[5] A drawback of these reactions is that the aryldifluoromethylating reagents bearing a leaving group are not easily accessible, which restricts their practical application. In 2016, the Cho group[6] developed a visible- light-induced arylthiofluoroalkylation of unactivated heteroaromatics and alkenes by utilizing ArSCF2Br as SCF2 source (Scheme 1c). However, this method suffers from a narrow substrate scope, as it is restricted to electron-rich heteroarenes exclusively. Hence, the development of new and effective methods to introduce SCF2 moieties into organic molecules is still highly desirable. Alkyl carboxylic acids have been proven to be effective radical precursors via decarboxylation reactions under metal catalysts.[7-9] Therefore, a promising strategy would be employing ArSCF2COOH as an efficient SCF2 reagent, which could be easily prepared from thiophenols and sodium bromodifluoroacetates. In this context, the Qing group developed a silver-catalyzed decarboxylation of ArSCF2CO2H, delivering an efficient synthesis of ArSCF2-substituted heteroaromatic compounds.[10] Despite its high potential, examples of the application of ArSCF2COOH as efficient SCF2 surrogates are still underdeveloped.
Scheme 1 Example of bioactive compound with SCF2-substi- tuent and strategies for the synthesis of SCF2-substituted compounds
Indolo[2,1-a]isoquinoline skeletons are an important class of nitrogen-containing heterocycles and are commonly found in biologically active natural products, pharmaceuticals, and functional materials.[11] Over the past few years, significant efforts have been devoted the direct cyclization of 2-aryl-N-acryloyl indoles,[12] enabling the expansion of structural diversity with aryl,[13] alkyl,[14] sulfonyl,[15] acyl,[16] thiol,[17] selenyl[18] and other useful functionalities.[19] However, to the best of our knowledge, synthetic methods for SCF2-substituted indolo[2,1-a]isoquino-
lines remain unreported. As a continuation of our efforts on radical reactions,[20] we envision that ArSCF2COOH may act as thiodifuoromethyl radical precursors via a similar decarboxylation process and quickly attack C=C bonds of 2-aryl-N-acryloyl indole, thus offering an efficient strategy for the synthesis of SCF2-substituted indolo[2,1-a]iso-quinolines. Herein, we wish to report our recent success in silver-catalyzed tandem decarboxylative cyclization of 2- aryl-N-acryloyl indoles with ArSCF2COOH, furnishing a variety of SCF2-substituted indolo[2,1-a]isoquinoline derivatives in moderate to good yields (Scheme 1d).

2 Results and discussion

Initially, 2-aryl-N-acryloyl indole 1a (0.2 mmol) and 2,2-difluoro-2-(p-tolylthio)acetic acid (2a) were chosen as model substrates to investigate reaction conditions (Table 1). Among the common silver salt catalysts, such as Ag2CO3, Ag2SO4 and AgNO3, all of them could promote this reaction to give the desired product, and AgNO3 was found to be the best catalyst (Table 1, Entries 1~3). A screening of solvents, such as DMSO/H2O, DMF/H2O and 1,4-dioxane/H2O, showed that CH3CN/H2O was the optimal choice, affording 3a in 73% yield (Table 1, Entries 4~6). In contrast, when the reaction was performed in the absence of H2O, no desired product 3a was detected, which might be attributed to the poor solubility of K2S2O8 and AgNO3 (Table 1, Entry 7). Further screening of the catalyst loading revealed that 10 mol% was optimal, affording 3a in 74% yield (Table 1, Entries 8~9). Other oxidants, including (NH4)2S2O8 and Na2S2O8, were also effective to furnish product 3a in 65% and 57% yields, respectively (Table 1, Entries 10~11). Finally, decreasing the reaction temperature to 50 ℃ proved to be futile for this transformation (Table 1, Entry 12).
Table 1 Optimization of reaction conditionsa

Entry Catalyst Oxidant Solvent Yieldb/%
1 Ag2CO3 K2S2O8 CH3CN/H2O 50
2 Ag2SO4 K2S2O8 CH3CN/H2O 57
3 AgNO3 K2S2O8 CH3CN/H2O 73
4 AgNO3 K2S2O8 DMSO/H2O 10
5 AgNO3 K2S2O8 DMF/H2O Trace
6 AgNO3 K2S2O8 1,4-Dioxane/H2O 43
7 AgNO3 K2S2O8 CH3CN 0
8c AgNO3 K2S2O8 CH3CN/H2O 74
9d AgNO3 K2S2O8 CH3CN/H2O 68
10 AgNO3 (NH4)2S2O8 CH3CN/H2O 65
11 AgNO3 Na2S2O8 CH3CN/H2O 57
12e AgNO3 K2S2O8 CH3CN/H2O 0

a Reaction conditions: 1a (0.2 mmol), 2a (0.4 mmol, 2.0 equiv.), catalyst (20 mol%), oxidant (0.4 mmol, 2.0 equiv.) and solvent (VV=1∶1, 3 mL) were stirred under 80 ℃ for 8 h. b Isolated yield. c10 mol% catalyst was used. d 5 mol% AgNO3 was used. e Under 50 ℃.

With the optimal reaction conditions in hand, the substrate scope of the tandem decarboxylative cyclization of 2-aryl-N-acryloyl indole with 2,2-difluoro-2-(p-tolylthio)- acetic acid was next investigated, the results of which are summarized in Table 2. 2-Aryl-N-acryloyl indole substrates bearing different substituents at C5 and C7 position, such as MeO, halides, NO2 and CN, proceeded well, affording the corresponding products (3b to 3j) in moderate to good yields. Additionally, substrates bearing electron- donating groups (MeO) and electron-withdrawing halide (Cl) on the Ar2 ring were viable in the transformation, delivering 3k and 3l in 93% and 72% yields, respectively. Next, the substituent effect at R1 position of 2-aryl-N- acryloyl indoles was examined. It was observed that pro- pyl, CO2Et, tolyl and methyl substituted substrates were compatible with the standard conditions, affording the desired products 3m~3r in 53%~77% yields. Notably, products 3q and 3r were obtained in a single isomer, which might be due to the steric hindrance effect. To our delight, the steric effect on the R2 position of 2-aryl-N-acryloyl indole did not attenuate the reaction efficiency, furnishing 3s in 72% yield. In addition, the reaction was readily extended to naphthalene derivatives, delivering 3t in 73% yield. The dichloro-substituted substrates were also viable substrates for this transformation, furnishing 3u and 3v in good yields. Finally, the reaction was examined with different 2,2-difluoro-2-(p-tolylthio)acetic acids. A variety of 2,2-difluoro-2-(p-tolylthio)acetic acid bearing electron-donating groups (Et, isopropyl, Me) and electron-with- drawing groups (F, Cl) were also viable, generating 4a~4f in satisfying yields.
Table 2 Scope of substratesa

a Reaction conditions: 1 (0.2 mmol), 2 (0.4 mmol, 2.0 equiv.), AgNO3 (10 mol%), K2S2O8 (0.4 mmol, 2.0 equiv.) and CH3CN/H2O (3 mL, VV=1∶1) were stirred under 80 ℃ for 8 h. b Isolated yield.

To verify the scalability of this tandem decarboxylative cyclization reaction, a 3.0 mmol scale reaction of 1a was carried out under standard conditions, and the desired product 3a was obtained in 60% yield (Scheme 2a). To gain insights into the reaction mechanism, some control experiments were carried out. It was observed that the reaction was indeed suppressed when 5.0 equiv. of 2,2,6,6- tetramethylpiperidine-1-oxyl (TEMPO) or butylated hydroxytoluene (BHT) was added into standard conditions. In addition, the TEMPO-adduct was detected by GC-MS, suggesting a radical process was presumably involved in the transformation (Schemes 2b, 2c).
Scheme 2 Gram-Scale synthesis and control experiments
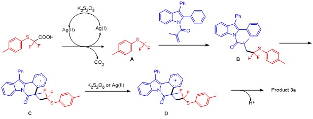
Based on the above experimental results and previously reported results,[10-20] a plausible mechanism for this tandem decarboxylative cyclization was proposed and shown in Scheme 3. First, 2,2-difluoro-2-(p-tolylthio)acetic acid undergoes oxidative decarboxylation with the assistance of silver(I) catalyst and oxidant to form PhSCF2 radical A, which subsequently adds to the C=C bonds of 2-aryl-N-acryloyl indole to afford radical intermediates B. Next, an intramolecular radical cyclization reaction occurred to give intermediate C, followed oxidation by K2S2O8 or Ag(II) to give the carbocation intermediate D. Finally, dehydrogenative aromatization of intermediate D leads to the formation of products 3a.
Scheme 3 Plausible reaction mechanism

3 Conclusions

In conclusion, a silver-catalyzed tandem decarboxylative cyclization of 2-aryl-N-acryloyl indoles with ArSCF2CO- OH has been disclosed. A wide range of 2-aryl-N-acryloyl indoles and 2,2-difluoro-2-(p-tolylthio)acetic acids are tolerated well under the reaction conditions, yielding diver- se SCF2-substituted indolo[2,1-a]isoquinoline derivatives.

4 Experimental section

4.1 General information

All reagents and solvents were purchased from commercial suppliers and used without purifications. Thin-layer chromatography (TLC) was performed on silica gel plates (200~300 mesh) using UV light (254/365 nm) for detection and column chromatography was performed on silica gel (200~300 mesh). The 1H NMR and 13C NMR spectra were recorded on Bruker Avance 400 MHz spectrometers at 25 ℃ in CDCl3 at 400 and 100 MHz, respectively, with tetramethylsilane (TMS) as the internal standard.

4.2 General procedure for the synthesis of difluoromethylated indolo[2,1-a]isoquinolines

To a stirred solution of AgNO3 (0.02 mmol), 2-aryl-N-acryloyl indoles (0.2 mmol), and 2,2-difluoro-2-(p-tolyl- thio)acetic acids in CH3CN/H2O (VV=1∶1, 3 mL) was added K2S2O8 (0.4 mmol). The resulting mixture was stirred in air under 80 ℃ for 10 h. After the reaction was complete, the reaction mixture was diluted with a brine solution (25 mL) and extracted with EtOAc (30 mL×3). The combined organic phase was dried over anhydrous Na2SO4, filtered and concentrated in vacuo. The residue was purified by flash column chromatography to afford the desired products 3a~4f.

4.3 Product structure characterization

5-(2,2-Difluoro-2-(p-tolylthio)ethyl)-5-methyl-12-phen-ylindolo[2,1-a]isoquinolin-6(5H)-one (3a): Pale yellow oil. 1H NMR (400 MHz, CDCl3) δ: 8.67 (d, J=8.3 Hz, 1H), 7.60~7.45 (m, 5H), 7.39 (dd, J=14.3, 7.3 Hz, 3H), 7.26 (d, J=9.1 Hz, 5H), 7.01 (dd, J=22.5, 7.7 Hz, 3H), 3.51 (ddd, J=22.5, 15.1, 7.1 Hz, 1H), 3.09~2.85 (m, 1H), 2.27 (s, 3H), 1.74 (s, 3H); 13C NMR (101 MHz, CDCl3) δ: 171.68, 140.13, 136.81, 136.22, 134.30, 134.14, 132.40, 130.23, 129.66, 129.45, 129.21, 128.04, 127.93, 126.90, 126.86, 125.83, 125.28, 124.56, 122.75 (q, J=239 Hz), 119.37, 116.83, 48.86 (q, J=21 Hz), 45.45, 30.92, 26.90, 21.22; 19F NMR (376 MHz, CDCl3) δ: -67.90, -68.44, -70.04, -70.58. HRMS (ESI) calcd for C32H26F2NOS [M+H] 510.1703, found 510.1708.
5-(2,2-Difluoro-2-(p-tolylthio)ethyl)-10-methoxy-5-methyl-12-phenylindolo[2,1-a]isoquinolin-6(5H)-one (3b): Pale yellow oil. 1H NMR (400 MHz, CDCl3) δ: 8.57 (d, J=8.8 Hz, 1H), 7.97~7.19 (m, 11H), 7.00 (dd, J=27.7, 7.9 Hz, 3H), 6.75 (d, J=36.9 Hz, 1H), 3.77 (s, 3H), 3.50 (d, J=33.5 Hz, 1H), 3.17~2.85 (m, 1H), 2.27 (s, 3H), 1.72 (s, 3H); 13C NMR (101 MHz, CDCl3) δ: 171.31, 157.35, 140.19, 137.05, 136.96, 136.30, 134.20, 133.55, 130.34, 130.27, 130.20, 129.72, 129.35, 128.97, 128.13, 127.95, 126.99, 126.88, 125.24, 122.79 (q, J=212 Hz), 117.76, 114.01, 102.20, 55.73, 48.88 (q, J=22 Hz), 45.29, 31.06,29.69, 21.30; 19F NMR (376 MHz, CDCl3) δ: -68.01, -68.55, -70.23, -70.77. HRMS (ESI) calcd for C33H28F2NO2S [M+H] 540.1809, found 540.1802.
5-(2,2-Difluoro-2-(p-tolylthio)ethyl)-10-fluoro-5-methyl-12-phenylindolo[2,1-a]isoquinolin-6(5H)-one (3c): Pale yellow oil. 1H NMR (400 MHz, CDCl3) δ: 8.61 (dd, J=14.4, 9.4 Hz, 1H), 7.79~7.18 (m, 11H), 7.15~6.74 (m, 4H), 3.68~3.33 (m, 1H), 3.17~2.84 (m, 1H), 2.26 (s, 3H), 1.73 (s, 3H); 13C NMR (101 MHz, CDCl3) δ: 171.60, 160.54 (d, J=240 Hz), 140.28, 137.08, 136.30, 133.84, 133.75, 133.67, 131.02, 130.62, 130.17, 129.76, 129.42, 128.36, 127.02, 125.43, 122.70 (q, J=239 Hz), 118.09, 118.00, 113.50, 113.26, 105.27, 105.03, 48.98 (q, J=21 Hz), 45.38, 30.99, 26.97, 21.30; 19F NMR (376 MHz, CDCl3) δ: -68.16, -68.70, -70.19, -70.74, -117.58. HRMS (ESI) calcd for C32H25F3NOS [M+H]528.1609, found 528.1601.
10-Chloro-5-(2,2-difluoro-2-(p-tolylthio)ethyl)-5-methyl-12-phenylindolo[2,1-a]isoquinolin-6(5H)-one (3d): Pale yellow oil. 1H NMR (400 MHz, CDCl3) δ: 8.62 (dd, J=26.5, 9.0 Hz, 2H), 8.22~6.93 (m, 14H), 3.73~3.36 (m, 1H), 3.19~2.87 (m, 1H), 2.27 (s, 3H), 1.73 (s, 3H); 13C NMR (101 MHz, CDCl3) δ: 171.73, 140.29, 137.05, 136.29, 133.83, 133.49, 132.63, 130.79, 130.36, 130.23, 129.82, 129.77, 129.51, 129.45, 128.44, 128.40, 127.06, 125.89, 125.47, 124.53, 122.68 (q, J=239 Hz), 119.50, 119.04, 117.94, 49.05 (q, J=22 Hz), 45.45, 30.92, 21.31; 19F NMR (376 MHz, CDCl3) δ: -68.21, -68.75, -70.16, -70.70. HRMS (ESI) calcd for C32H25F2ClNOS [M+H] 544.1313, found 544.1307.
10-Bromo-5-(2,2-difluoro-2-(p-tolylthio)ethyl)-5-methyl-12-phenylindolo[2,1-a]isoquinolin-6(5H)-one (3e): White solid; m.p. 88~89 ℃; 1H NMR (400 MHz, CDCl3) δ: 8.56 (dd, J=15.9, 8.6 Hz, 1H), 8.12~7.19 (m, 13H), 7.06 (dq, J=21.1, 13.5, 10.9 Hz, 2H), 3.50 (d, J=22.7 Hz, 1H), 3.00 (d, J=18.7 Hz, 1H), 2.27 (s, 3H), 1.73 (s, 3H); 13C NMR (101 MHz, CDCl3) δ: 171.71, 140.26, 137.03, 136.25, 134.26, 133.41, 132.95, 130.61, 130.19, 129.77, 129.73, 129.46, 129.42, 128.56, 128.42, 128.37, 127.02, 125.44, 122.61 (q, J=220 Hz), 122.06, 119.34, 118.26, 118.10, 49.05 (q, J=21 Hz), 45.45, 30.86, 26.94, 21.27; 19F NMR (376 MHz, CDCl3) δ: -68.27, -68.81, -70.21, -70.76. HRMS (ESI) calcd for C32H25F2BrNOS [M+H]588.0808, found 588.0802.
5-(2,2-Difluoro-2-(p-tolylthio)ethyl)-10-iodo-5-methyl-12-phenylindolo[2,1-a]isoquinolin-6(5H)-one (3f): Pale yellow oil. 1H NMR (400 MHz, CDCl3) δ: 8.86~8.28 (m, 2H), 7.87~7.20 (m, 12H), 7.17~6.89 (m, 2H), 3.51 (d, J=32.7 Hz, 1H), 3.18~2.84 (m, 1H), 2.27 (s, 3H), 1.73 (s, 3H); 13C NMR (101 MHz, CDCl3) δ: 171.79, 140.30, 137.03, 136.30, 134.68, 134.34, 133.57, 133.45, 132.45, 130.30, 129.78, 129.51, 129.29, 128.45, 128.18, 127.07, 125.90, 125.48, 124.93, 124.64, 122.63 (q, J=222 Hz), 119.44, 118.67, 116.90, 89.09, 48.88 (q, J=22 Hz), 45.51, 30.88, 26.96, 21.32; 19F NMR (376 MHz, CDCl3) δ: -67.96, -68.22, -68.50, -68.77, -70.16, -70.71. HRMS (ESI) calcd for C32H25F2INOS [M+H] 636.0670, found 636.0662.
5-(2,2-Difluoro-2-(p-tolylthio)ethyl)-5-methyl-10-nitro-12-phenylindolo[2,1-a]isoquinolin-6(5H)-one (3g): Pale yellow oil. 1H NMR (400 MHz, CDCl3) δ: 8.94~8.71 (m, 1H), 8.62~8.06 (m, 3H), 7.99~6.93 (m, 12H), 3.48 (t, J=15.5 Hz, 1H), 3.03 (d, J=27.4 Hz, 1H), 2.27 (s, 3H), 1.77 (s, 3H); 13C NMR (101 MHz, CDCl3) δ: 172.18, 145.11, 140.43, 137.29, 137.01, 136.27, 132.73, 132.64, 132.52, 132.44, 130.13, 129.82, 129.70, 129.09, 128.83, 128.05, 127.31, 127.07, 125.75, 124.01, 122.47 (q, J=240 Hz), 120.97, 117.08, 115.50, 49.25 (q, J=22 Hz), 45.66, 30.79, 21.31; 19F NMR (376 MHz, CDCl3) δ: -68.52, -69.06, -70.05, -70.60. HRMS (ESI) calcd for C32H25F2N2O3S [M+H] 555.1554, found 555.1549.
5-(2,2-Difluoro-2-(p-tolylthio)ethyl)-5-methyl-6-oxo-12-phenyl-5,6-dihydroindolo[2,1-a]isoquinoline-10-carbonitrile (3h): White solid, m.p. 197~198 ℃; 1H NMR (400 MHz, CDCl3) δ: 8.77 (q, J=10.2, 9.4 Hz, 1H), 8.55~7.19 (m, 13H), 7.07 (dd, J=17.7, 8.1 Hz, 2H), 3.71~3.37 (m, 1H), 3.04 (s, 1H), 2.28 (s, 3H), 1.76 (s, 3H); 13C NMR (101 MHz, CDCl3) δ: 172.15, 140.43, 137.03, 137.00, 136.30, 136.26, 136.10, 132.80, 132.63, 131.64, 130.11, 129.79, 129.60, 128.98, 128.93, 128.86, 128.74, 127.26, 127.06, 125.70, 122.50 (q, J=220 Hz), 119.54, 117.63, 108.01, 49.17 (q, J=22 Hz), 45.65, 30.86, 29.78, 21.33; 19F NMR (376 MHz, CDCl3) δ: -68.48, -69.02, -70.12, -70.66. HRMS (ESI) calcd for C33H25F2N2OS [M+H] 535.1656, found 535.1650.
8-Chloro-5-(2,2-difluoro-2-(p-tolylthio)ethyl)-5-methyl-12-phenylindolo[2,1-a]isoquinolin-6(5H)-one (3i): Pale yellow oil. 1H NMR (400 MHz, CDCl3) δ: 8.96~7.15 (m, 14H), 7.15~6.90 (m, 2H), 3.46 (d, J=23.1 Hz, 1H), 3.22~2.83 (m, 1H), 2.24 (s, 3H), 1.82 (s, 3H); 13C NMR (101 MHz, CDCl3) δ: 170.16, 139.90, 137.41,135.98, 135.93, 133.16, 132.61, 132.16, 130.09, 129.51, 129.47, 129.10, 128.22, 128.14, 128.08, 127.52, 126.80, 126.58, 125.56, 125.51, 125.25, 122.79, 122.07(q, J=227 Hz), 117.92, 48.28 (q, J=23 Hz), 46.44, 29.01, 21.04; 19F NMR (376 MHz, CDCl3) δ: -67.44, -67.99, -70.25, -70.80. HRMS (ESI) calcd for C32H25F2ClNOS [M+H] 544.1313, found 544.1307.
8-Bromo-5-(2,2-difluoro-2-(p-tolylthio)ethyl)-5-methyl-12-phenylindolo[2,1-a]isoquinolin-6(5H)-one (3j): Pale yellow oil. 1H NMR (400 MHz, CDCl3) δ: 8.34~7.20 (m, 14H), 7.17~6.94 (m, 2H), 3.75~3.37 (m, 1H), 2.96 (d, J=17.2 Hz, 1H), 2.26 (s, 3H), 1.82 (s, 3H); 13C NMR (101 MHz, CDCl3) δ: 170.10, 140.16, 137.51, 136.50, 136.25, 134.48, 133.32, 133.05, 131.04, 130.33, 129.72, 129.34, 129.09, 128.43, 128.34, 127.01, 125.85, 125.72, 125.58, 123.24 (q, J=211 Hz), 119.98, 118.76, 109.98, 48.21(q,J=21 Hz), 46.71, 30.33, 27.12, 21.30; 19F NMR (376 MHz, CDCl3) δ: -67.13, -67.68, -69.94, -70.49. HRMS (ESI) calcd for C32H25F2BrNOS [M+H] 588.0808, found 588.0801.
5-(2,2-Difluoro-2-(p-tolylthio)ethyl)-3-methoxy-5-me-thyl-12-phenylindolo[2,1-a]isoquinolin-6(5H)-one (3k): White solid, m.p. 104~105 ℃; 1H NMR (400 MHz, CDCl3) δ: 8.62 (t, J=9.8 Hz, 1H), 7.69~7.17 (m, 11H), 7.14~6.75 (m, 3H), 6.73~6.48 (m, 1H), 3.77 (s, 3H), 3.47 (s, 1H), 2.93 (d, J=17.6 Hz, 1H), 2.27 (s, 3H), 1.72 (s, 3H); 13C NMR (101 MHz, CDCl3) δ: 171.58, 159.30, 138.86, 136.25, 134.35, 134.21, 132.64, 130.42, 129.81, 129.72, 129.33, 129.24, 127.97, 126.92, 125.38, 124.55, 122.90, 119.04 (q, J=229 Hz), 118.58, 118.04, 116.75, 112.75, 112.54, 55.34, 48.96 (q, J=21 Hz), 45.73, 31.02, 21.26; 19F NMR (376 MHz, CDCl3) δ: -67.81, -68.35, -69.90, -70.44. HRMS (ESI) calcd for C33H28F2NO2S [M+H] 540.1809, found 540.1803.
3-Chloro-5-(2,2-difluoro-2-(p-tolylthio)ethyl)-5-methyl-12-phenylindolo[2,1-a]isoquinolin-6(5H)-one (3l): Pale yellow oil. 1H NMR (400 MHz, CDCl3) δ: 8.67 (dd, J=17.3, 8.2 Hz, 1H), 8.32~7.18 (m, 13H), 7.04 (ddd, J=39.9, 17.2, 8.3 Hz, 2H), 3.73~3.37 (m, 1H), 2.95 (s, 1H), 2.29 (s, 3H), 1.73 (s, 3H); 13C NMR (101 MHz, CDCl3) δ: 170.98, 140.33, 138.71, 136.26, 134.34, 133.77, 132.27, 130.18, 129.81, 129.39, 128.59, 128.31, 127.43, 127.02, 126.57, 126.18, 123.54, 122.64 (q, J=215 Hz), 120.86, 119.54, 116.89, 48.82 (q, J=21 Hz), 45.48, 30.87, 21.32; 19F NMR (376 MHz, CDCl3) δ: -68.12, -68.66, -70.15, -70.70. HRMS (ESI) calcd for C32H25F2ClNOS [M+H] 544.1313, found 544.1307.
5-(2,2-Difluoro-2-(p-tolylthio)ethyl)-5-methyl-12-prop-ylindolo[2,1-a]isoquinolin-6(5H)-one (3m): Pale yellow oil. 1H NMR (400 MHz, CDCl3) δ: 8.64 (d, J=7.8 Hz, 1H), 7.94 (d, J=7.7 Hz, 1H), 7.58 (d, J=7.8 Hz, 1H), 7.46~7.28 (m, 5H), 7.23 (d, J=8.0 Hz, 2H), 7.01 (d, J=7.6 Hz, 2H), 3.48 (ddd, J=22.6, 15.2, 7.2 Hz, 1H), 3.16~3.01 (m, 2H), 3.01~2.83 (m, 1H), 2.26 (s, 3H), 1.80 (dt, J=14.7, 7.4 Hz, 2H), 1.67 (d, J=6.0 Hz, 3H), 1.11 (t, J=7.3 Hz, 3H); 13C NMR (101 MHz, CDCl3) δ: 171.38, 140.05, 136.65, 136.20, 134.42, 132.28, 129.60, 129.14, 127.98, 127.43, 127.39, 127.24, 125.85, 125.63, 124.64, 124.21, 122.80 (q, J=239 Hz), 119.84, 118.40, 116.98, 48.80 (q, J=21 Hz), 45.30, 31.14, 27.38, 22.27, 21.20, 14.49; 19F NMR (376 MHz, CDCl3) δ: -67.93, -68.48, -70.15, -70.66. HRMS (ESI) calcd for C29H28F2NOS [M+H] 476.1860, found 476.1866.
Ethyl 5-(2,2-difluoro-2-(p-tolylthio)ethyl)-5-methyl-6-oxo-5,6-dihydroindolo[2,1-a]isoquinoline-12-carboxylate (3n): Pale yellow oil. 1H NMR (400 MHz, CDCl3) δ: 8.56 (ddd, J=69.8, 16.7, 7.9 Hz, 2H), 7.93 (dd, J=16.6, 7.5 Hz, 1H), 7.63~7.19 (m, 7H), 7.04 (dd, J=16.3, 7.6 Hz, 2H), 4.57 (dd, J=16.2, 7.3 Hz, 2H), 3.44 (d, J=15.8 Hz, 1H), 3.01 (d, J=18.3 Hz, 1H), 2.27 (s, 3H), 1.71 (s, 3H), 1.64~1.39 (m, 3H); 13C NMR (101 MHz, CDCl3) δ: 172.12, 165.84, 140.26, 137.77, 136.27, 134.25, 129.73, 129.05, 127.74, 127.34, 127.30, 126.65, 126.27, 126.23, 125.20, 123.31, 122.54, 122.0 (q, J=240 Hz), 120.91, 116.79, 110.63, 61.39, 48.89 (q, J=22 Hz), 45.85, 30.38, 21.28, 14.41; 19F NMR (376 MHz, CDCl3) δ: -67.99, -68.53, -69.79, -70.34. HRMS (ESI) calcd for C29- H26F2NO3S [M+H] 506.1601, found 506.1606.
5-(2,2-Difluoro-2-(p-tolylthio)ethyl)-5-methyl-12-(p-tolyl)indolo[2,1-a]isoquinolin-6(5H)-one (3o): Pale yellow oil. 1H NMR (400 MHz, CDCl3) δ: 8.67 (d, J=8.1 Hz, 1H), 7.57~7.18 (m, 12H), 7.01 (t, J=8.0 Hz, 3H), 3.63~3.39 (m, 1H), 3.07~2.87 (m, 1H), 2.47 (s, 3H), 2.26 (s, 3H), 1.72 (s, 3H); 13C NMR (101 MHz, CDCl3) δ: 171.65, 140.10, 137.73, 136.70, 136.21, 134.27, 132.52, 130.94, 130.79, 130.02, 129.92, 129.64, 129.34, 127.99, 127.84, 126.85, 126.81, 125.76, 125.26, 124.50, 122.73 (q, J=225 Hz), 119.41, 116.79, 48.79 (q, J=22 Hz), 45.42, 30.92, 26.88, 21.43, 21.21; 9F NMR (376 MHz, CDCl3) δ: -67.89, -68.43, -70.09, -70.63. HRMS (ESI) calcd for C33H28F2NOS [M+H] 524.1860, found 524.1854.
5-(2,2-Difluoro-2-(p-tolylthio)ethyl)-5,12-dimethyl-indolo[2,1-a]isoquinolin-6(5H)-one (3p): Pale yellow solid, m.p. 113~114 ℃; 1H NMR (400 MHz, CDCl3) δ: 8.56 (dd, J=20.7, 10.2 Hz, 1H), 7.90~7.70 (m, 1H), 7.64~7.09 (m, 8H), 6.98 (dd, J=21.8, 8.2 Hz, 2H), 3.58~3.28 (m, 1H), 2.99~2.72 (m, 2H), 2.50 (s, 3H), 2.18 (s, 3H), 1.59 (s, 3H); 13C NMR (101 MHz, CDCl3) δ: 170.58, 140.27, 138.74, 136.23, 134.35, 132.35, 130.61, 130.30, 129.81, 129.76, 128.76, 126.41, 126.04, 124.47, 122.65 (q, J=238 Hz), 121.28, 118.49, 116.96, 115.15, 48.72 (q, J=23 Hz), 45.30, 31.14, 29.48, 21.30, 11.62; 19F NMR (376 MHz, CDCl3) δ: -68.22, -68.76, -70.32, -70.87. HRMS (ESI) calcd for C27H24F2NOS [M+H] 448.1547, found 448.1552.
5-(2,2-Difluoro-2-(p-tolylthio)ethyl)-2,5,12-trimethyl-indolo[2,1-a]isoquinolin-6(5H)-one (3q): Pale yellow oil. 1H NMR (400 MHz, CDCl3) δ: 8.75~8.58 (m, 1H), 7.82 (d, J=12.9 Hz, 1H), 7.68~7.14 (m, 8H), 7.13~6.96 (m, 2H), 3.66~3.38 (m, 1H), 3.07~2.87 (m, 1H), 2.67 (s, 3H), 2.42 (s, 3H), 2.29 (s, 3H), 1.69 (s, 3H); 13C NMR (101 MHz, CDCl3) δ: 171.54, 140.03, 136.79, 136.23, 134.28, 133.76, 132.50, 130.83, 129.62, 128.43, 127.08, 125.79, 125.54, 125.36, 124.16, 122.76 (q, J=240 Hz), 118.23, 116.88, 114.18, 48.61 (q, J=21 Hz), 45.08, 31.31, 21.47, 21.21, 11.64; 19F NMR (376 MHz, CDCl3) δ: -68.04, -68.58, -70.67, -71.21. HRMS (ESI) calcd for C28H26F2NOS [M+H] 462.1703, found 462.1708.
2-Chloro-5-(2,2-difluoro-2-(p-tolylthio)ethyl)-5,12-dimethylindolo[2,1-a]isoquinolin-6(5H)-one (3r): Pale yellow oil. 1H NMR (400 MHz, CDCl3) δ: 8.83~8.55 (m, 1H), 8.54~7.16 (m, 9H), 7.15~6.94 (m, 1H), 3.76~3.40 (m, 1H), 3.07~2.83 (m, 1H), 2.62 (s, 3H), 2.26 (s, 3H), 1.65 (s, 3H); 13C NMR (101 MHz, CDCl3) δ: 170.87, 140.28, 136.28, 135.04, 134.37, 133.30, 132.23, 129.74, 128.77, 128.00, 127.59, 127.41, 126.21, 125.05, 124.64, 124.48, 122.59 (q, J=240 Hz), 118.62, 116.99, 115.66, 48.67 (q, J=22 Hz), 45.17, 31.21, 21.29, 11.60; 19F NMR (376 MHz, CDCl3) δ: -67.94, -68.48, -70.59, -71.13. HRMS (ESI) calcd for C27H23F2ClNOS [M+H]482.1157, found 482.1160.
5-Benzyl-5-(2,2-difluoro-2-(p-tolylthio)ethyl)-12-phen-ylindolo[2,1-a]isoquinolin-6(5H)-one (3s): Pale yellow oil. 1H NMR (400 MHz, CDCl3) δ: 8.61 (d, J=8.2 Hz, 1H), 7.54~7.11 (m, 11H), 7.09~6.95 (m, 4H), 6.86 (q, J=7.4 Hz, 2H), 6.70 (t, J=7.6 Hz, 2H), 6.44 (d, J=7.5 Hz, 2H), 3.86~3.65 (m, 1H), 3.44 (d, J=12.4 Hz, 1H), 3.23~3.06 (m, 1H), 2.98 (d, J=12.4 Hz, 1H), 2.21 (s, 3H); 13C NMR (101 MHz, CDCl3) δ: 170.38, 140.17, 136.31, 134.06, 133.96, 133.93, 132.05, 130.92, 130.06, 129.69, 129.49, 129.07, 129.02, 128.13, 127.85, 127.50, 127.35, 127.33, 126.98, 126.85, 126.58, 125.63, 125.04, 124.38, 122.96 (q, J=238 Hz), 119.90, 119.14, 116.69, 51.81, 51.08, 46.66 (q, J=22 Hz), 21.26; 19F NMR (376 MHz, CDCl3) δ: -65.26, -65.80, -68.52, -69.06. HRMS (ESI) calcd for C38H30F2NOS [M+H] 586.2016, found 586.2013.
5-(2,2-Difluoro-2-(p-tolylthio)ethyl)-5-methyl-14-phen-ylbenzo[6,7]indolo[2,1-a]isoquinolin-6(5H)-one (3t): Pale yellow oil. 1H NMR (400 MHz, CDCl3) δ: 8.93 (dd, J=16.8, 8.9 Hz, 1H), 8.53~7.50 (m, 9H), 7.47~6.61 (m, 9H), 3.56 (d, J=6.9 Hz, 1H), 3.02 (t, J=9.3 Hz, 1H), 2.25 (s, 3H), 1.76 (s, 3H); 13C NMR (101 MHz, CDCl3) δ: 172.58, 140.19, 136.83, 136.40, 136.24, 131.79, 130.50, 130.27, 130.01, 129.92, 129.68, 129.02, 128.53, 128.49, 127.46, 127.00, 126.85, 126.75, 125.92, 125.60, 125.21, 124.83, 124.68, 123.61, 122.7 (q, J=230 Hz), 121.98, 116.53, 49.00 (q, J=26 Hz), 45.66, 30.98, 21.24; 19F NMR (376 MHz, CDCl3) δ: -68.11, -68.65, -70.03, -70.57. HRMS (ESI) calcd for C36H28F2NOS [M+H] 560.1860, found 560.1867.
8,10-Dichloro-5-(2,2-difluoro-2-(p-tolylthio)ethyl)-5-methyl-12-phenylindolo[2,1-a]isoquinolin-6(5H)-one (3u): Pale yellow oil. 1H NMR (400 MHz, CDCl3) δ: 7.60~7.16 (m, 12H), 7.00 (d, J=7.9 Hz, 3H), 3.50~3.27 (m, 1H), 3.05~2.82 (m, 1H), 2.24 (s, 3H), 1.81 (s, 3H); 13C NMR (101 MHz, CDCl3) δ: 170.30, 140.23, 137.83, 136.90, 136.18, 134.13, 132.76, 131.00, 130.60, 130.22, 129.73, 129.52, 128.88, 128.61, 128.08, 127.29, 127.16, 126.78, 125.91, 125.28, 122.96, 122.85 (q, J=225 Hz), 119.31, 117.87, 48.70 (q, J=22 Hz), 46.71, 28.95, 21.28; 19F NMR (376 MHz, CDCl3) δ: -67.71, -68.26, -70.25, -70.80. HRMS (ESI) calcd for C32H24F2Cl2NOS [M+H] 578.0924, found 578.0920.
9,11-Dichloro-5-(2,2-difluoro-2-(p-tolylthio)ethyl)-5-methyl-12-phenylindolo[2,1-a]isoquinolin-6(5H)-one (3v): Pale yellow oil. 1H NMR (400 MHz, CDCl3) δ: 8.94~8.68 (m, 1H), 8.65~6.79 (m, 14H), 3.68~3.33 (m, 1H), 3.01 (s, 1H), 2.28 (s, 3H), 1.71 (s, 3H); 13C NMR (101 MHz, CDCl3) δ: 171.96, 140.39, 136.84, 136.32, 135.42, 134.26, 131.47, 131.28, 130.95, 130.76, 129.82, 128.99, 128.90, 128.54, 128.43, 127.18, 126.99, 126.85, 126.24, 125.64, 124.29, 122.60 (q, J=240 Hz), 119.44, 115.91, 49.12 (q, J=22 Hz), 45.56, 31.04, 21.34; 19F NMR (376 MHz, CDCl3) δ: -68.39, -68.93, -70.05, -70.59. HRMS (ESI) calcd for C32H24F2Cl2NOS [M+H] 578.0924, found 578.0920.
5-(2-((4-Ethylphenyl)thio)-2,2-difluoroethyl)-5-methyl-12-phenylindolo[2,1-a]isoquinolin-6(5H)-one (4a): Pale yellow oil. 1H NMR (400 MHz, CDCl3) δ: 8.66 (dd, J=12.8, 8.3 Hz, 1H), 7.71~6.89 (m, 16H), 3.69~3.41 (m, 1H), 2.99 (s, 1H), 2.76~2.47 (m, 2H), 1.74 (s, 3H), 1.28~1.07 (m, 3H); 13C NMR (101 MHz, CDCl3) δ: 171.71, 146.32, 138.14, 136.86, 136.32, 134.34, 134.19, 132.45, 130.27, 129.24, 129.22, 128.50, 128.47, 128.07, 127.97, 126.92, 125.87, 125.33, 124.94, 124.60, 123.01 (q, J=238 Hz), 120.41, 119.40, 116.88, 48.90 (q, J=21 Hz), 45.53, 31.02, 28.56, 15.22; 19F NMR (376 MHz, CDCl3) δ: -67.85, -68.36, -70.06, -70.61. HRMS (ESI) calcd for C33H28F2NOS [M+H] 524.1860, found 524.1855.
5-(2,2-Difluoro-2-((4-isopropylphenyl)thio)ethyl)-5-me- thyl-12-phenylindolo[2,1-a]isoquinolin-6(5H)-one (4b): Pale yellow solid, m.p. 88~89 ℃; 1H NMR (400 MHz, CDCl3) δ: 8.63 (dd, J=22.8, 8.8 Hz, 2H), 8.14~6.83 (m, 15H), 3.48 (d, J=22.5 Hz, 1H), 3.11~2.65 (m, 2H), 1.66 (s, 3H), 1.12 (d, J=23.6 Hz, 6H); 13C NMR (101 MHz, CDCl3) δ: 171.76, 150.91, 136.84, 136.40, 134.34, 134.18, 132.47, 130.33, 129.51, 129.34, 129.28, 128.14, 128.00, 127.17, 127.12, 127.00, 126.93, 125.91, 125.36, 124.91, 124.65, 123.04 (q, J=240 Hz), 119.44, 116.92, 48.83(q, J=22 Hz), 45.54, 33.89, 31.17, 23.79; 19F NMR (376 MHz, CDCl3) δ: -67.78, -68.32, -70.11, -70.65. HRMS (ESI) calcd for C34H30F2NOS [M+H] 538.2016, found 538.2012.
5-(2,2-Difluoro-2-(o-tolylthio)ethyl)-5-methyl-12-phen- ylindolo[2,1-a]isoquinolin-6(5H)-one (4c): Pale yellow oil. 1H NMR (400 MHz, CDCl3) δ: 8.97~8.57 (m, 1H), 8.53~6.88 (m, 16H), 3.83~3.49 (m, 1H), 3.02 (t, J= 12.1 Hz, 1H), 2.20 (s, 3H), 1.74 (s, 3H); 13C NMR (101 MHz, CDCl3) δ: 171.74, 143.68, 138.20, 136.74, 134.28, 134.16, 132.46, 130.49, 130.26, 130.22, 129.45, 129.27, 128.10, 127.99, 127.05, 126.94, 126.22, 125.90, 125.57, 125.26, 124.95, 124.63, 120.41 (q, J=240 Hz), 119.42, 116.87, 49.01 (q, J=22 Hz), 45.51, 31.32, 21.22; 19F NMR (376 MHz, CDCl3) δ: -66.66, -67.20, -68.11, -68.65. HRMS (ESI) calcd for C32H26F2NOS [M+H] 510.1703, found 510.1709.
5-(2,2-Difluoro-2-(m-tolylthio)ethyl)-5-methyl-12-phen- ylindolo[2,1-a]isoquinolin-6(5H)-one (4d): Pale yellow oil. 1H NMR (400 MHz, CDCl3) δ: 3.48 (d, J=14.8 Hz, 1H), 2.93 (d, J=18.7 Hz, 1H), 2.17 (s, 3H), 1.67 (s, 3H); 13C NMR (101 MHz, CDCl3) δ: 171.68, 138.72, 136.76, 136.68, 134.29, 134.10, 133.11, 132.41, 130.59, 130.22, 129.45, 129.22, 128.64, 128.06, 127.95, 126.93, 126.88, 125.93, 125.85, 125.27, 124.87, 124.59, 120.37 (q, J=238 Hz), 119.39, 116.86, 48.85 (q, J=21 Hz), 45.45, 31.04, 26.90, 21.12; 19F NMR (376 MHz, CDCl3) δ: -67.50, -68.04, -69.71, -70.25. HRMS (ESI) calcd for C32H26- F2NOS [M+H]510.1703, found 510.1709.
5-(2,2-Difluoro-2-((4-fluorophenyl)thio)ethyl)-5-meth- yl-12-phenylindolo[2,1-a]isoquinolin-6(5H)-one (4e): Pale yellow oil. 1H NMR (400 MHz, CDCl3) δ: 8.67 (d, J=8.3 Hz, 1H), 7.73~7.20 (m, 13H), 6.96 (dt, J=33.4, 8.1 Hz, 3H), 3.51 (ddd, J=22.6, 15.2, 7.8 Hz, 1H), 3.11~2.88 (m, 1H), 1.74 (s, 3H); 13C NMR (101 MHz, CDCl3) δ: 171.60, 163.89 (d, J=249 Hz), 138.47, 138.39, 136.67, 134.30, 134.08, 132.41, 130.21, 129.24, 128.10, 127.97, 126.95, 126.88, 125.90, 125.32, 124.92, 124.64, 121.52 (q, J=236 Hz), 120.48, 119.43, 116.83, 116.18, 115.96, 48.75 (q, J=21 Hz), 45.48, 31.01; 19F NMR (376 MHz, CDCl3) δ: -67.75, -68.29, -69.99, -70.53, -110.50. HRMS (ESI) calcd for C31H23F3NOS [M+H] 514.1452, found 514.1455.
5-(2-((2-Chlorophenyl)thio)-2,2-difluoroethyl)-5-methyl-12-phenylindolo[2,1-a]isoquinolin-6(5H)-one (4f): Pale yellow oil. 1H NMR (400 MHz, CDCl3) δ: 8.60 (d, J=8.2 Hz, 1H), 7.53~7.09 (m, 14H), 6.97 (dt, J=37.0, 7.7 Hz, 2H), 3.65~3.42 (m, 1H), 3.00 (d, J=11.8 Hz, 1H), 1.66 (s, 3H); 13C NMR (101 MHz, CDCl3) δ: 170.54, 138.42, 137.26, 135.50, 133.24, 133.07, 131.40 (q, J=232 Hz), 130.05, 129.18, 129.02, 128.40, 128.20, 127.17, 127.04, 126.97, 125.94, 124.84, 124.27, 123.92, 123.57, 119.41, 118.37, 115.79, 47.87 (q, J=21 Hz), 44.44, 30.18; 19F NMR (376 MHz, CDCl3) δ: -67.05, -67.59, -67.89, -68.43. HRMS (ESI) calcd for C31H23F2ClNOS [M+H] 530.1157, found 530.1151.
Supporting Information Copies of 1H NMR and 13C NMR spectra of the products 3a~4f. The Supporting Information is available free of charge via the Internet at http://siocjournal.cn/.
(Lu, Y.)
[1]
(a) Müller K.; Faeh C.; Diederich F. Science 2007, 317, 1881.

DOI

(b) Hagmann W. K. J. Med. Chem. 2008, 51, 4359.

DOI

(c) O’Hagan, D. Chem. Soc. Rev. 2008, 37, 308.

DOI

(d) Z Purser, S.; Moore P. R.; Swallow S.; Gouverneur V. Chem. Soc. Rev. 2008, 37, 320.

DOI

[2]
(a) Erickson J. A.; McLoughlin J. I. J. Org. Chem. 1995, 60, 1626.

DOI

(b) Aráoz R.; Anhalt E.; René L.; Badet-Denisot M.-A.; Courvalin P.; Badet B. Biochemistry 2000, 39, 15971.

DOI

(c) Romanenko V. D.; Kukhar V. P. Chem. Rev. 2006, 106, 3868.

(d) Liu C.-H.; Zhang Z.-W.; Zhao Z.-J.; Jiang J.; Yang Z.; Wang Z.-L.; He W.-M. J. Org. Chem. 2025, 90, 11982.

DOI

(e) Peng Q.-H.; Li N.-B.; Hou J.-C.; He C.-J.; Yang Y.-X.; Zhuang C.-L.; Ou L.-J.; Yuan M.; He W.-M. Chin. Chem. Lett. 2025, 36, 111402.

DOI

(f) Peng Q.-H.; Jiang J.; Liao Z.-H.; Wu Z.-L.; Ou L.-J.; Dai H.; Peng J.; He W.-M. ACS Sustainable Chem. Eng. 2025, 13, 10971.

DOI

[3]
Boyer J.; Arnoult E.; Médebielle M.; Guillemont J.; Unge J.; Jochmans D. J. Med. Chem. 2011, 54, 7974.

DOI

[4]
(a) Ni C.; Hu M.; Hu J. Chem. Rev. 2015, 115, 765.

DOI

(b) Xu X. H.; Matsuzaki K.; Shibata N. Chem. Rev. 2015, 115, 731.

DOI

[5]
(a) Burkholder C. R.; Dolbier W. R., Jr.; Médebielle M. J. Fluorine Chem. 2001, 109, 39.

DOI

(b) Guidotti J.; Metz F.; Tordeux M.; Wakselman C. Synlett 2004, 1759.

(c) Wu Y.-M.; Li Y.; Deng J. J. Fluorine Chem. 2006, 127, 223.

DOI

(d) Aikawa K.; Maruyama K.; Nitta J.; Hashimoto R.; Mikami K. Org. Lett. 2016, 18, 3354.

DOI

(e) Geri J. B.; Wolfe M. M. W.; Szymczak N. K. J. Am. Chem. Soc. 2018, 140, 9404.

DOI

(f) Xiao P.; Ni C.; Miao W.; Zhou M.; Hu J.; Chen D.; Hu J. J. Org. Chem. 2019, 84, 8345.

DOI PMID

[6]
Choi Y.; Yu C.; Kim J. S.; Cho E. J. Org. Lett. 2016, 18, 3246.

DOI

[7]
(a) Shi G.; Shao C.; Pan S.; Yu J.; Zhang Y. Org. Lett. 2015, 17, 38.

DOI

(b) Lin J.; Li Z.; Kan J.; Huang S.; Su W.; Li Y. Nat. Commun. 2017, 8, 14353.

DOI

(c) Khrizanforov M. N.; Fedorenko S. V.; Mustafina A. R.; Kholin K. V.; Nizameev I. R.; Strekalova S. O.; Grinenko V. V.; Gryaznova T. V.; Zairov R. R.; Mazzaro R.; Morandi V.; Vomiero A.; Budnikova Y. H. Dalton Trans. 2018, 47, 9608.

DOI PMID

[8]
(a) Tung T. T.; Christensen S. B.; Nielsen J. Chem.-Eur. J. 2017, 23, 18125.

DOI

(b) Genovino J.; Lian Y.; Zhang Y.; Hope T. O.; Juneau A.; Gagné Y.; Ingle G.; Frenette M. Org. Lett. 2018, 20, 3229.

DOI PMID

[9]
(a) Hong G.; Yuan J.; Fu J.; Pan G.; Wang Z.; Yang L.; Xiao Y.; Mao P.; Zhang X. Org. Chem. Front. 2019, 6, 1173.

DOI

(b) Xie X.; Zhang Y.; Hao J.; Wan W. Org. Biomol. Chem. 2020, 18, 400.

DOI

(c) Gao Y.; Zhao L.; Xiang T.; Li P.; Wang L. RSC Adv. 2020, 10, 10559.

DOI

(d) Zhao F.; Guo S.; Zhang Y.; Sun T.; Yang B.; Ye Y.; Sun K. Org. Chem. Front. 2021, 8, 6895.

DOI

[10]
Zhu X.; Huang Y.; Xu X.; Qing F. Org. Lett. 2020, 22, 5451.

DOI

[11]
(a) Singh S.; Pathak N.; Fatima E.; Negi A. S. Eur. J. Med. Chem. 2021, 226, 113839.

DOI

(b) Bhadra K.; Kumar G. S. Med. Res. Rev. 2011, 31, 821.

DOI

(c) Plazas E.; Avila M M. C.; Muñoz D. R.; Cuca S L. E.; Cuca S. L. E. Pharmacol. Res. 2022, 177, 106126.

DOI

(d) Tsyrenova B.; Khrustalev V.; Nenajdenko V. J. Org. Chem. 2020, 85, 7024.

DOI PMID

(e) Yi R.; He W. Chin. J. Org. Chem. 2023, 43, 2985 (in Chinese).

DOI

(易荣楠, 何卫民, 有机化学, 2023, 43, 2985.)

DOI

(f) Li C.; Wang Y.; Wu S.; Zhuang W.; Huang Z.; Zhou L.; Li Y.; Chen M.; You J. Org. Lett. 2022, 24, 175.

DOI

[12]
(a) Lu Y.-H.; Mu S.-Y.; Jiang J.; Zhou M.-H.; Wu C.; Ji H.-T.; He W.-M. ChemSusChem 2023, 16, e202300523.

(b) Lu Y.-H.; Wu C.; Hou J.-C.; Wu Z.-L.; Zhou M.-H.; Huang X.-J.; He W.-M. ACS Catal. 2023, 13, 13071.

DOI

(c) Song H.-Y.; Jiang J.; Wu C.; Hou J.-C.; Lu Y.-H.; Wang K.-L.; Yang T.-B.; He W.-M. Green Chem. 2023, 25, 3292.

DOI

(d) Ji H.-T.; Wang K.-L.; Ouyang W.-T.; Luo Q.-X.; Li H.-X.; He W.-M. Green Chem. 2023, 25, 7983.

DOI

(e) Zeng F.; Sun K.; Chen X.; Yuan X.; He S.; Liu Y.; Peng Y.; Qu L.; Lv Q.; Yu B. Adv. Synth. Catal. 2019, 361, 5176.

DOI

[13]
Wang B.; Zou L.; Wang L.; Sun M.; Li P. Chin. Chem. Lett. 2021, 32, 1229.

[14]
(a) Yu W.-Q.; Xiong B.-Q.; Zhong L.-J.; Liu Y. Org. Biomol. Chem. 2022, 20, 9659.

DOI

(b) Zhang D.-L.; Zhu Z.-Q.; Xie Z.-B.; Zhang X.-P.; Le Z.-G. New J. Chem. 2023, 47, 18354.

DOI

[15]
(a) Zhai S.; Qiu S.; Yang S.; Hua B.; Niu Y.; Han C.; Yu Y.; Li Y.; Zhai H. Chin. Chem. Lett. 2022, 33, 276.

DOI

(b) Shen Z.-J.; Huang B.; Ma N.; Yao L.; Yang C.; Guo L.; Xia W. Adv. Synth. Catal. 2021, 363, 1944.

DOI

[16]
(a) Hu X.-Y.; Xu H.-F.; Chen Q.; Pan Y.-L.; Chen J.-Z. Org. Biomol. Chem. 2021, 19, 10376.

DOI PMID

(b) Wei Y.-L.; Chen J.-Q.; Sun B.; Xu P.-F. Chem. Commun. 2019, 55, 5922.

DOI

[17]
Cui H.; Ni C.; Zhang C. J. Org. Chem. 2021, 86, 15835.

DOI

[18]
Zhang J.-R.; Liu H.-Y.; Fan T.; Chen Y.-Y.; Xu Y.-L. Adv. Synth. Catal. 2021, 363, 497.

DOI

[19]
(a) Luo Y.; Tian T.; Nishihara Y.; Lv L.; Li Z. Chem. Commun. 2021, 57, 9276.

DOI

(b) Jiang S.; Xiao Y.-T.; Wu Y.-C.; Luo S.-Z.; Song R.-J.; Li J.-H. Org. Biomol. Chem. 2020, 18, 4843.

DOI

[20]
Tang Y.; Dai K.; Xiang X.; Yang Y.; Li M. Org. Biomol. Chem. 2022, 20, 5704.

DOI

文章导航

/