综述与进展

芳基羧酸无痕导向官能化反应的研究进展

  • 陈明 ,
  • 张敬 , *
展开
  • 武汉大学高等研究院 武汉 430072

收稿日期: 2025-03-31

  修回日期: 2025-04-08

  网络出版日期: 2025-04-17

基金资助

国家自然科学基金(22071185)

国家自然科学基金(22271224)

中央高校基本科研业务专项资金(2042025kf0032)

Recent Progress in Traceless Directed Functionalization Reactions of Arylcarboxylic Acids

  • Ming Chen ,
  • Jing Zhang , *
Expand
  • The Institute for Advanced Studies, Wuhan University, Wuhan 430072

Received date: 2025-03-31

  Revised date: 2025-04-08

  Online published: 2025-04-17

Supported by

National Natural Science Foundation of China(22071185)

National Natural Science Foundation of China(22271224)

Fundamental Research Funds for the Central Universities(2042025kf0032)

Copyright

© 2025 Shanghai Institute of Organic Chemistry, Chinese Academy of Sciences

摘要

从简单、易得的原料高效构建复杂、高价值的有机分子是有机合成的核心目标. 近年来, 导向基团辅助的过渡金属催化的C—H键活化已成为实现位点选择性官能化的重要策略. 其中, 芳基羧酸因其结构多样性、稳定性和易获取性, 成为备受关注的合成原料. 特别是, 其羧基作为无痕导向基团, 有效避免了额外的导向基团引入和去除步骤, 显著提高了反应的原子和步骤经济性. 得益于这些优势, 过渡金属催化的芳基羧酸无痕导向C—H键单官能化反应已取得显著进展. 与之相比, 相应的双官能化转化在复杂分子构建中展现出重要的合成价值和应用前景, 但是这类反应研究进展相对滞后. 本综述总结了近年来羧基无痕导向的单官能化和双官能化的研究进展, 并探讨了该领域的挑战与未来发展方向.

本文引用格式

陈明 , 张敬 . 芳基羧酸无痕导向官能化反应的研究进展[J]. 有机化学, 2025 , 45(8) : 2660 -2676 . DOI: 10.6023/cjoc202502006

Abstract

Efficient construction of complex and high value organic molecules from simple and readily available starting materials is a core objetive of organic synhthesis. In recent years, transition metal-catalyzed C—H bond activation, facilitated by directing groups, has been demonstrated as a powerful strategy for achieving site-selective functionalization. Among various substrates, arylcarboxylic acids have gained significant attention as ideal starting materials due to their structural diversity, high stability, and easy accessibility. Notably, the carboxyl group can serve as a traceless directing group, eliminating the need for additional directing group installation and removal steps, thereby significantly enhancing atomic and step economy. Benefiting from these advantages, transition metal-catalyzed decarboxylative C—H bond mono-functionalization of aryl carboxylic acids has achieved remarkable progress. However, the development of difunctionalization remains underdeveloped, despite its significant synthetic value and application potential in rapidly constructing complex organic structures. This review summarizes the recent advances in traceless carboxyl-directed C—H monofunctionalization and difunctionalization, and discusses the challenges and future directions in this field.

碳氢键(C—H)广泛存在于有机化合物中, 是其基本结构单元. 与传统的官能团间转化方法相比, C—H键直接官能化可有效缩减合成步骤, 降低副产物生成, 从而提高反应的原子与步骤经济性[1-3]. 然而, C—H键的键能较高, 反应活性较低, 并且广泛存在于有机分子中, 其选择性转化仍面临巨大挑战[4]. 因此, 在温和条件下实现C—H键的选择性官能化一直是有机合成化学领域的研究热点.
实现C—H键选择性官能化的一个重要策略就是在原料分子中引入导向基团(directing group, DG). 导向基团通常是可以与金属配位的官能团, 通过与金属配位使其活化特定位点的C—H键, 达到选择性C—H键官能化的目的. 用于C—H键选择性转化的导向基团主要分为以下4类(Scheme 1): (I)不可移除的导向基团[5]: 这些基团在反应结束后难以去除, 通常会保留在最终产物中. (II)可移除的导向基团[6-9]: 这类基团在C—H键官能化过程起到导向作用, 反应完成后可通过额外步骤移除. (III)瞬时导向基团[10-12]: 这些官能团可与底物或金属中心可逆结合, 促进C—H键选择性官能化, 并在反应完成后自行脱除. 然而, 该类导向基团通常需要在反应前预先引入到底物上, 或者需要预官能团化. (IV)无痕导向基团[13-16]: 这些基团是化合物结构的一部分, 在完成导向作用后能够自行脱除, 无需额外的引入与去除步骤, 具有较高的原子和步骤经济性. 因此, 利用天然或者合成化合物中普遍存在的官能团作为无痕导向基, 并通过过渡金属催化实现特定C—H键的官能化, 避免了额外的导向基团引入与移除过程, 兼具原料易获得性与过程绿色化的双重优势, 是一种具有可持续性的合成策略.
图式1 过渡金属催化C—H键活化中的导向基团策略

Scheme 1 Directing group strategies in transition metal-cata- lyzed aryl C—H bond activation

芳基羧酸广泛存在于自然界中, 并通过成熟的方法便捷制备[17], 具有来源广泛、结构多样、性质稳定的特点. 最早使用羧基(CO2H)作为无痕导向基团的实践可以追溯到20世纪60年代, Kaeding等[18]设计了一种以甲苯为初始原料制备苯酚的反应: 甲苯经过氧化生成苯甲酸, 随后在氧化铜(CuO)与氧化镁(MgO)的作用下, 苯甲酸发生选择性脱羧邻位C—H键氧化生成苯酚, 即陶氏苯酚工艺(Scheme 2). 这一开创性研究揭示了羧酸基团的两个重要反应特性: 首先, 在适当的金属催化剂作用下, 羧基作为导向基可实现其邻位C—H键选择性活化; 其次, 在完成导向C—H键官能化后, 羧基可在相同条件下无痕脱除[16]. 在该过程中, 羧基通过与金属配位控制C—H键官能化的区域选择性, 并在官能团引入后自行脱除, 从而避免了额外的导向基团移除步骤, 提高了合成效率. 由此可见, 利用芳基羧酸实现选择性 C—H键官能化具有重要的应用潜力[19].
图式2 陶氏苯酚工艺

Scheme 2 Dow phenol process

近年来, 基于羧基无痕导向的C—H键官能化研究取得了显著进展[20]. 2017年, Larrosa课题组[14]根据过渡金属在反应过程中的不同作用, 系统地综述了羧基作为无痕导向基团辅助C—H键官能化的相关研究. 同年, 苏伟平课题组[21]基于C—H键类型综述了脱羧C—H键交叉偶联反应在合成中的应用, 涵盖了脱羧原位官能化和无痕导向C—H键官能化反应. 2022年, 付拯江与蔡琥等[20]进一步总结了不同试剂参与羧酸无痕导向C—H键官能化的反应. 然而, 这些综述尚未对芳基羧酸无痕导向C—H键官能化反应的类型进行系统性的归纳与分析, 并且主要集中在羧基无痕导向的单官能化反应研究, 而对于双官能化反应的探讨较为有限. 基于此, 本文将系统综述芳基羧酸无痕导向官能化反应的最新进展, 涵盖单官能化与双官能化反应. 针对羧基无痕导向单官能化, 本文根据官能化类型, 包括芳基化、烯基化、烷基化、胺化、烷氧基化、卤化、酰胺化等, 对催化剂、反应机理、适用范围及局限性进行了详细阐述. 同时, 本文对芳基羧酸无痕导向双官能化反应的发展现状与挑战进行了深入分析, 以期为该领域的研究提供有价值的参考.

1 芳基羧酸无痕导向单官能化反应

1.1 芳基羧酸无痕导向(杂)芳基化反应

芳基羧酸的无痕导向邻位C—H键芳基化反应始于两步法研究: 首先, 羧基作为导向基团实现钯(Pd)催化的邻位C—H键芳基化, 随后通过铜(Cu)催化的原位脱羧氢化反应移除羧基. 2007年, Daugulis课题组[22]利用芳基碘作为芳基化试剂, 成功实现了钯催化的芳基羧酸邻位C—H键芳基化反应, 生成了一系列邻芳基苯甲酸. 随后, 利用Gooβen等[23]开发的芳基羧酸脱羧方法进行邻芳基苯甲酸的脱羧氢化, 最终实现芳基羧酸无痕导向的邻位C—H键芳基化反应(Scheme 3A)[22].
图式3 钯催化芳基羧酸无痕导向邻位芳基化反应

Scheme 3 Pd-catalyzed traceless directing ortho-arylation of arylcarboxylic acids

联芳烃化合物是许多天然产物、药物和有机材料的重要组成部分, 传统的交叉偶联反应是获得间位取代联芳基化合物最常用的合成方法, 然而间位取代的芳烃原料通常需要多个步骤制备. 2011年, Larrosa课题组[24]在钯催化体系中加入碳酸银(Ag2CO3), 一步反应实现了芳基羧酸无痕导向邻位C—H键芳基化, 为间位取代联芳基化合物的合成提供了更简洁的方法(Scheme 3B). 尽管银盐可以促进芳基羧酸的脱羧氢化反应[25], 但机理研究表明, 该反应中的脱羧过程是由钯催化实现的, 而碳酸银仅起到活化芳基碘的作用. 此外, 邻位取代基对于脱羧过程有显著活化作用[26]. 2016年, 该课题组[27]使用商品化的第三代Buchwald预催化剂(Pd-I), 实现了以芳基氯为芳基源的吡啶甲酸无痕导向邻位C—H键芳基化反应(Scheme 3C). 该反应通过钯催化吡啶甲酸邻位 C—H键芳基化和铜介导的原位脱羧氢化, 一锅两步合成了多种芳基吡啶. 反应的关键是使用该催化剂前体, 可在温和的条件下产生高活性的零价钯物种[28].
2014年, Larrosa课题组[29-30]使用氮杂环卡宾(NHC)钯配合物PEPPSI-IPr催化水杨酸与芳基碘的无痕导向邻位C—H键芳基化反应, 成功合成了一系列间位芳基取代的苯酚(Scheme 4A). 在PEPPSI-IPr结构中, 氮杂环卡宾具有较大的空间位阻, 有助于还原消除, 同时其较强的δ给电子特性促进了芳基碘的氧化加成[31], 两者共同提高了催化剂的催化活性. 在此基础上, 他们利用Kolbe-Schmitt反应在苯酚或者氟苯邻位先引入羧基, 分别得到水杨酸或邻氟苯甲酸衍生物. 随后, 通过钯催化羧基无痕导向邻位C—H键芳基化, 两步实现了苯酚和氟苯的间位芳基化反应(Scheme 4B)[32-33]. 2016年, 该课题组[34]将水杨醛氧化后生成水杨酸, 并通过邻位C—H键芳基化和原位脱羧反应获得间芳基苯酚. 尽管这些方法有效拓展了芳基羧酸无痕导向邻位C—H键芳基化的应用范围, 但是仍存在一定局限性. 例如该策略依赖于邻位取代基以实现区域选择性反应, 且芳基化试剂仅限于芳基碘, 同时反应需要银盐作为助剂促进反应.
图式4 钯催化的基于水杨酸的无痕导向邻位芳基化反应

Scheme 4 Pd catalyzed traceless directing ortho-arylation based on salicylic acids

2018年, 石先莹课题组[35]报道了钯催化的芳基羧酸脱羧氧化偶联反应(Scheme 5). 作者提出了以下反应路径: 首先, 在碱的协助下, 两分子羧酸与钯发生配体交换生成二羧基钯络合物. 然后, 在羧基导向下, 钯分别活化两个羧基邻位芳基C—H键得到双环钯络合物Pd-1. 随后, Pd-1脱除一分子二氧化碳生成单环芳基钯(Pd-2). Pd-2经过还原消除与质子化后, 得到零价钯与邻芳基苯甲酸中间体. 零价钯被碳酸银氧化再生二价钯催化剂Pd-3. 邻芳基苯甲酸继续在碱协助下与Pd-3配体交换生成羧基钯络合物Pd-4. 邻位芳基取代基的大位阻使得Pd-4易于发生原位脱羧得到联芳基钯络合物Pd-5. 最后Pd-5发生质子化得到联芳烃产物, 同时再生二价钯催化剂Pd-3, 完成催化循环(Scheme 5). 作者指出尽管反应中存在大量银盐, 脱羧依然是通过钯催化进行. 为了促进脱羧, 芳基羧酸的邻位取代基是必须的. 该方法不仅适用于芳基羧酸的脱羧氧化自偶联反应, 还可以实现芳基羧酸氧化脱羧交叉偶联, 但不能避免自偶联与环化副反应.
图式5 钯催化芳基羧酸的脱羧脱氢交叉偶联反应

Scheme 5 Pd catalyzed decarboxylative dehydrogenation cross- coupling reaction of arylcarboxylic acids

2020年, Xu课题组[36]报道了钯催化薁-2-甲酸的羧基无痕导向邻位C—H键芳基化反应(Scheme 6A). 作者指出, 该反应成功的关键在于使用2,4,6-三异丙基苯甲酸(TRIPS)作为添加剂, 促进了C—H键活化. 此外, 磷酸二氢钾(KH2PO4)作为碱有利于羧基的脱除. 尽管反应仍然需要银盐辅助脱羧, 但是可以将反应温度降低至100 ℃. 钯催化体系同样适用于杂芳基羧酸的脱羧邻位C—H键芳基化反应. 2012年, Lee等[37]报道了钯卡宾络合物(Pd-II)催化的吲哚-3-甲酸脱羧邻位C—H键芳基化反应(Scheme 6B). 作者精心设计了卡宾配体的结构, 通过引入悬垂的酰胺分子臂, 使催化剂能够特异性识别羧基, 并有效促进脱羧, 从而避免使用大量的银盐. 该催化体系的另一显著优势在于可使用芳基溴和芳基氯作为芳基化试剂, 并兼容一系列给电子和吸电子官能团, 以中等至良好的产率获得了2-芳基吲哚. 然而, 该反应对吲哚-2-甲酸的化学选择性较差, 得到脱羧邻位C—H键芳基化和脱羧原位芳基化的混合物.
图式6 钯催化的杂环羧酸无痕导向邻位芳基化反应

Scheme 6 Pd-catalyzed traceless directing ortho-arylation of heterocyclic carboxylic acids

2015年, 苏伟平课题组[38]报道了铑(Rh)催化的邻位取代芳基羧酸和五元杂芳烃的羧基无痕导向邻位C—H键氧化芳基化反应. 该反应需要碳酸银作为氧化剂, 并介导脱羧过程. 作者指出, 反应成功的关键在于与邻位单取代羧酸反应物相比, 反应过程中生成的邻位双取代羧酸中间体更容易发生原位脱羧反应. 同年, 游劲松课题组[39]报道了类似的反应. 尽管该催化体系需要更高的温度(150 ℃), 但克服了对邻位取代芳基羧酸依赖, 同时拓展了杂芳烃的适用范围. 在不加入银盐的情况下, 作者仅观察到少量脱羧产物, 推测脱羧步骤是银介导的过程. 作者在机理研究中发现富电子芳基羧酸的反应活性明显高于缺电子芳基羧酸, 推测富电子芳环更易于C—H键氧化加成, 反应的决速步可能是芳基羧酸邻位C—H键活化(Scheme 7).
图式7 铑催化的芳基羧酸无痕导向邻位杂芳基化反应

Scheme 7 Rh-catalyzed traceless directing ortho-heteroaryla- tion of arylcarboxylic acids

1.2 芳基羧酸无痕导向烯基化反应

实现芳基羧酸无痕导向邻位C—H键烯基化的策略分为两类: 一类是芳基C—H键与烯烃的氧化偶联反应得到(杂)芳基烯烃; 另一类是芳基羧酸邻位C—H键与炔烃的加成反应, 即炔烃氢芳基化反应获得(杂)芳基烯烃.
2010年, Miura课题组[40]开发了铑催化的邻位取代芳基羧酸邻位C—H键烯基化与银介导的邻位双取代苯甲酸的脱羧氢化反应, 以苯乙烯为烯基源, 成功构建了一系列二苯乙烯衍生物(Scheme 8A). 该反应首先在120 ℃下, 利用醋酸银(AgOAc)作为氧化剂, 完成铑催化的羧基导向邻位C—H键烯基化; 随后, 加入过量碳酸钾和醋酸银, 在160 ℃下实现原位脱羧氢化.
图式8 铑催化的芳基羧酸与烯烃无痕导向邻位烯基化反应

Scheme 8 Rh-catalyzed traceless directing ortho-alkenylation of aryl carboxylic acids with olefins

2019年, Prabhu等[41]将烯烃底物拓展至顺式-丁烯二酰亚胺, 并采用铜介导的脱羧, 克服了上述铑催化脱羧反应对邻位取代芳基羧酸的依赖(Scheme 8B). 作者通过条件筛选发现, 使用芳基羧酸锂盐代替芳基羧酸, 可进一步提高产率. 2022年, Schnürch课题组[42]发展了铑催化的邻烷氧基芳基羧酸与脂肪族烯烃无痕导向邻位C—H键烯基化反应(Scheme 8C). 由于羧酸易于发生酯化副反应, 反应需要在相对低的温度下进行. 该体系仅适用于富电子芳基羧酸, 且需要较高负载量的铑催化剂, 过量的烯烃以及较长的反应时间. 此外, 所得末端二取代烯烃在三氟乙酸作用下可以进一步转化为三取代内烯烃, 但这一转化并不能进一步提高反应产率(21%~70%).
相比芳基羧酸, 杂芳基羧酸的无痕导向邻位C—H键烯基化的研究报道更早. 2008年, Miura课题组[43]报道了钯催化吲哚-3-甲酸与丙烯酸丁酯的脱羧氧化偶联反应(Scheme 9A). 研究表明, 添加醋酸锂可以显著提高产率, 作者推测其作用可能是提供醋酸阴离子作为配体, 从而阻止零价钯失活. 该催化体系同样适用于其他杂芳基羧酸, 如吡咯-2-甲酸、吲哚-2-甲酸及苯并呋喃-2-甲酸均表现出良好的适用性. 值得注意的是, 噻吩-2-甲酸、呋喃-2-甲酸和苯并噻吩-2-甲酸在钯催化条件下会经历更快的脱羧过程, 从而导致原位脱羧烯基化与脱羧邻位烯基化副产物的竞争性生成. 2011年, 该课题组[44]进一步发展了铑催化的杂芳基羧酸脱羧邻位烯基化反应(Scheme 9B). 相较于钯催化体系, 该方法解决了噻吩- 2-甲酸脱羧烯基化过程中化学选择性较低的问题, 并且成功将底物范围拓展至芳基乙烯.
图式9 钯或铑或钌催化的杂芳基羧酸与烯烃的无痕导向邻位烯基化反应

Scheme 9 Pd or Rh or Ru-catalyzed traceless directing ortho- alkenylation of heteroaryl carboxylic acids with alkene

2019年, 付尧课题组[45]使用醋酸铜作为氧化剂, 实现了钌催化的呋喃-2-甲酸无痕导向邻位C—H键氧化烯基化反应(Scheme 9C). 同年, Nakamura课题组[46]发展了铑催化的异噁唑-4-羧酸与烯烃的脱羧邻位C—H键烯基化反应, 生成了一系列烯基取代的异噁唑类化合物(Scheme 9D). 该反应使用银盐作为氧化剂, 并且仅适用于缺电子烯烃.
2021年, Miura课题组[47]报道了铑催化的2-吡啶酮- 3-甲酸与苯乙烯的选择性无痕导向烯基化反应(Scheme 9E). 控制实验结果表明, 脱羧过程由铑催化剂实现, 而铜盐只起到氧化剂的作用. 结合Nakamura和Miura课题组的研究, 可以推测对于某些特定结构的底物, 铑催化剂即可催化脱羧过程, 而无需依赖银盐和铜盐介导脱羧. 2023年, 黄秋锋课题组[48]报道了电驱动铑催化的吲哚-3-甲酸的无痕导向邻位C—H键烯基化反应(Scheme 9F). 该反应通过电驱动反应进行, 避免了化学计量氧化剂的使用. 作者通过控制实验和循环伏安法分析, 明确了外加电流在实现温和条件下脱羧反应中的关键作用.
钌催化体系同样适用于分子内的反应, 2018年, 刘丽课题组[49]报道了钌催化N-取代吲哚-3-甲酸分子内的无痕导向偶联反应, 以良好的产率获得了一系列吲哚稠合环己烯基乙酸酯. 该体系优点包括使用氧气作为氧化剂, 水和乙醇作为溶剂, 条件温和(Scheme 10).
图式10 钌催化杂芳基羧酸与烯烃的分子内脱羧邻位烯基化反应

Scheme 10 Ru catalyzed intramolecular decarboxylative ortho- alkenylation of heteroaryl carboxylic acids with olefins

通过炔烃的氢芳基化实现芳基羧酸的脱羧邻位C—H键芳基化是一种氧化还原中性过程, 该策略避免了额外氧化剂的使用, 从而提高了反应的原子经济性. 2016年, Zhao课题组[50]报道了芳基羧酸与炔烃的无痕导向邻位C—H键烯基化反应(Scheme 11A). 该反应在80 ℃下就可以进行, 克服了芳基羧酸脱羧通常需要高温的限制, 对非对称内炔具有良好的区域选择性, 并兼容烷基炔烃, 可以高效合成一系列间位取代和对位取代的芳基烯烃. 同年, Ackermann课题组[51]与Gooβen课题组[52]也分别报道了类似的钌催化反应. Ackermann课题组[51]使用预制备的([Ru(p-cymene)(MesCO2)2]2)作为催化剂(Scheme 11B). 该体系同样适用于芳基羧酸与活化烯烃的氧化脱羧偶联反应, 以及芳基羧酸与活化烯烃或者炔烃的氧化环化反应. Gooβen课题组[52]使用碳酸胍作为反应的碱, 并以2-甲基吡啶和醋酸为添加剂, 该反应体系不仅兼容芳基羧酸, 也适用于杂芳基甲酸(Scheme 11C), 然而这两种方法均不适用烷基炔烃和非对称炔烃底物. 在此基础上, Gooβen课题组[53]进一步发展了新的催化体系, 使用[Ru(C6Me6)Cl2]2为催化剂, 并添加2,4,6-三甲基苯甲酸, 实现了非对称炔烃的选择性氢芳基化反应(Scheme 11D). 该催化体系同样适用于杂芳基甲酸. 2019年, Nakamura课题组[54]报道了铑催化的异噁唑-4-羧酸与内炔烃的无痕导向邻位烯基化反应, 生成了一系列间位烯基取代的异噁唑. 然而, 上述方法未能应用于末端炔烃.
图式11 钌催化的芳基羧酸与炔烃无痕导向邻位烯基化反应

Scheme 11 Ru catalyzed traceless directing ortho- alkenylation of arylcarboxylic acids with alkynes

2017年, 洪鑫课题组[55]在上述实验发现的基础上, 利用密度泛函理论(DFT)计算探讨了钌催化芳基羧酸与炔烃无痕导向邻位C—H键烯基化的反应机理. 计算结果表明, 反应首先经历羧基导向的邻位C—H键活化, 生成五元环钌络合物Ru-2. 随后, Ru-2与炔烃配位, 并经历炔烃迁移插入, 生成七元环烯基-Ru络合物Ru-4. 在该过程中, 七元环烯基钌Ru-4受到环张力的影响, 易于发生脱羧反应, 生成五元环钌络合物Ru-5. Ru-5再经过两次质子化, 最终释放目标产物芳基烯烃(Scheme 12, path a). 理论计算表明, 七元环钌Ru-4具有最低的脱羧能垒, 而更大或者更小的环钌络合物以及非环钌络合物, 其脱羧能垒显著升高, 不利于脱羧过程. 因此, Ru-4先经历质子化再脱羧的路径不符合能量最优原则(Scheme 12, path b). 此外, 为了探究非对称炔烃在反应中的区域选择性, 作者进一步分析了炔烃插入的过渡态. 计算结果表明, 环钌络合物与炔烃的相互作用是决定插入势垒的关键因素, 这一研究不仅为钌催化的C—H键烯基化提供了理论支持, 也为未来优化催化体系提供了重要指导.
图式12 钌催化芳基羧酸与炔烃无痕导导向邻位烯基化反应机理

Scheme 12 Mechanism of Ru catalyzed decarboxylative ortho- alkenylation between arylcarboxylic acids and alkynes

2020年, Larrosa课题组[56]报道了一种基于Kolbe-Schmitt反应与钌催化脱羧邻位C—H键官能化相结合的策略, 实现了氟代芳烃的间位选择性烯基化反应. 该方法通过两步反应顺序进行: 首先, 利用Kolbe-Schmitt反应将氟代芳烃转化为邻氟芳基羧酸; 随后, 在钌催化下, 邻氟芳基羧酸与炔烃发生羧基无痕导向邻位C—H键加成反应, 最终得到间氟芳基烯烃(Scheme 13). 该策略巧妙地利用羧基作为可移除导向基团, 有效克服了氟代芳烃在间位官能化反应中反应活性低的问题, 实现了间氟芳基烯烃的高效、选择性合成.
图式13 钌催化的氟苯间位烯基化反应

Scheme 13 Ru-catalyzed meso-alkynylation of fluorobenzene

1.3 芳基羧酸无痕导向烷基化反应

近年来, 关于芳基羧酸无痕导向邻位C—H键烷基化反应的研究主要集中在铑或者钌催化顺式-丁烯二酰亚胺的氢芳基化反应. 2017年, Prabhu课题组[57a]率先报道了铑催化邻位取代芳基羧酸的脱羧邻位C—H键与顺式-丁烯二酰亚胺的加成反应, 实现了间位取代烷基芳烃的高效合成(Scheme 14A). 同年, Baidya课题组[57b]开发了一种钌催化体系, 成功拓展该策略至邻位未取代的芳基羧酸(Scheme 14B). 动力学实验表明, C—H键活化可能是反应的决速步. 与此同时, Ackermann课题组[57c]报道了一种具有更广底物适用性的钌催化体系, 该方法对硝基、氰基、酯基等官能团展现出良好的兼容性(Scheme 14C). 2019年, 石先莹课题组[57d]进一步优化了钌催化体系, 使用磷酸二氢钠(NaH2PO4)作为碱, 水作为溶剂, 将反应温度降低至85 ℃ (Scheme 14D). 该系列研究有效推进了羧基作为无痕导向基团在邻位C—H键烷基化反应中的应用, 并推动了更温和、可持续的合成策略的发展.
图式14 铑或钌催化的芳基羧酸无痕导向邻位烷基化反应

Scheme 14 Rh or Ru-catalyzed traceless directing ortho-alky- lation of arylcarboxylic acids

芳基羧酸与烯烃的无痕导向邻位C—H键烷基化反应始于邻位C—H键活化, 而使用活化烯烃作为烷基化试剂时, 其亲电性往往会干扰这一过程, 导致羧酸发生酯化的副反应[58]. Gooβen课题组[58]发现, 与4d过渡金属催化剂(钯、铑、钌等)相比, 3d过渡金属锰(Mn)由于其较短的金属配位键, 能够形成更紧凑的配体环境, 对空间位阻更敏感, 从而更容易实现邻位C—H键活化, 并形成环锰络合物. 同理, 锰催化剂还可以有效抑制双烷基化副反应. 2023年, Gooβen课题组[58]利用乙酸烯丙酯作为烷基化试剂, 成功实现了锰催化的芳基羧酸邻位C—H键烯丙基化反应, 并通过铜介导的原位脱羧反应, 以一锅两步的方式合成了一系列烯丙基芳香化合物(Scheme 15). 该反应使用廉价锰催化剂, 不仅提高了方法的经济性与可持续性, 还克服了此前芳基羧酸脱羧邻位C—H键烷基化仅适用于丁烯二酰亚胺的局限性.
图式15 锰催化的芳基羧酸无痕导向邻位烷基化反应

Scheme 15 Mn-catalyzed traceless directing ortho-alkylation of arylcarboxylic acids

关于杂芳羧酸的羧基无痕导向邻位C—H键烷基化反应也有相关报道. 2020年, Nakamura课题组[46]报道了以亚砜叶立德作为烷基化试剂, 铑催化的异噁唑-4-甲酸无痕导向邻位C—H键烷基化反应. 作者提出了可能的反应机理: 首先, 铑催化剂Rh-1通过C—H键活化, 与羧酸底物反应生成五元环铑络合物Rh-2. 随后, Rh-2与亚砜叶立德配位形成络合物Rh-3, Rh-3α-消除生成铑卡宾中间体Rh-4. 接着, Rh-4发生双键迁移插入生成六元环铑络合物Rh-5. 最后, Rh-5经过质子化和脱羧步骤生成脱羧邻位烷基化产物, 并再生催化剂Rh-1, 从而完成循环(Scheme 16).
图式16 铑催化的杂芳基羧酸无痕导向邻位烷基化反应

Scheme 16 Rh-catalyzed traceless directing ortho-alkylation of heteroaryl carboxylic acids

碳硼烷是一类具有三维芳香性的苯类似物[59a], 近年来, 由于其独特的结构和性质, 在多个领域展现出广泛的应用前景. 在医疗领域, 碳硼烷作为硼中子捕获治疗(BNCT)的关键硼载体, 通过其高硼载量和靶向性显著提升了肿瘤治疗的效果[59b]; 在材料科学领域, 碳硼烷因其卓越的热稳定性和独特的电子特性, 被广泛用于功能材料的基础构建单元[59c]. 尽管碳硼烷在功能材料领域具有巨大潜力, 但其B—H键的选择性活化以及直接硼取代反应仍然面临巨大挑战. 为克服这一难题, 研究者引入了导向基团策略. 其中, 羧基(CO2H)作为一种无痕导向基团, 在过渡金属催化的B—H键活化反应中展现出独特的优势[59d], 这一策略不仅有效提升了反应的区域选择性, 而且为碳硼烷的精准功能化提供新的合成途径.
2022年, 谢作伟课题组[60]在铱(Ir)催化体系下成功实现了邻位取代碳硼烷羧酸与亚砜叶立德的无痕导向邻位B—H键烷基化反应(Scheme 17A). 同时, Lee课题组[61]报道了一种类似的反应体系, 不同之处在于其通过对反应机制的深入研究, 发现该羧基导向的邻位烷基化反应可在较低的温度(25 ℃)下顺利进行(Scheme 17B). 此外, 通过升高反应温度, 羧基能够高效脱除, 使得该方法在后续分子修饰以及材料合成中具有更大的灵活性. 这些研究进一步拓展了碳硼烷衍生物的合成方法, 并为功能化碳硼烷材料的开发提供新思路.
图式17 铱催化碳硼烷羧酸无痕导向邻位烷基化反应

Scheme 17 Ir-catalyzed traceless directing ortho-alkylation of carborane carboxylic acids

1.4 芳基羧酸无痕导向胺化反应

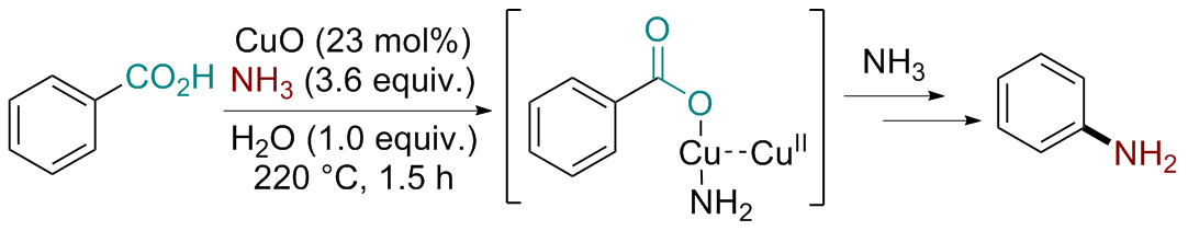
早在1973年, Arzoumanidis和Rauch[62]就利用铜催化实现了苯甲酸无痕导向邻位C—H键胺化反应(Scheme 18), 这一研究为羧基作为无痕导向基团的C—H键官能化奠定了基础. 然而, 该方法需要在高温(220 ℃)以及高负载量氧化铜(23 mol%)的条件下才能有效进行脱羧反应, 反应条件较为苛刻. 由于高温和过量的催化剂的使用, 该体系容易导致多种副产物的生成, 从而影响目标产物的选择性与收率, 这一限制促使后续研究者致力于开发更温和、高效的催化体系, 以实现羧基无痕导向的胺化反应.
图式18 铜催化的芳基羧酸无痕导向邻位胺化反应

Scheme 18 Cu-catalyzed traceless directing ortho-amination of arylcarboxylic acids

近些年来, 碳硼烷羧酸的无痕导向邻位B—H键胺化反应取得了重要进展. 2019年, Lee课题组[63]报道了铑催化的邻位取代的碳硼烷羧酸与二噁唑烷酮的无痕导向邻位B—H键胺化反应, 成功合成了一系列胺酰基取代的碳硼烷化合物(Scheme 19A). 在此基础上, 2020年, 该课题组[64]开发了铱催化体系, 实现了相同的转化(Scheme 19B), 并发现铱催化条件更加温和且可以通过调整第二步反应条件来控制羧基的脱除或者酯化. 2023年, 该课题组[65]进一步优化催化体系, 使用更经济的钌催化剂, 实现了邻位取代碳硼烷羧酸与二噁唑烷酮的无痕导向邻位胺化反应, 并成功将反应温度降低至45 ℃(Scheme 19C), 这一改进大幅提升了该体系的可操作性和适用性.
图式19 铑或铱催化碳硼烷羧酸无痕导向邻位胺化反应

Scheme 19 Rh or Ir-catalyzed traceless directing ortho-amination of carborane carboxylic acids

与此同时, 2022年, 谢作伟课题组[66]报道了使用磺酸胺或者普通胺作为胺源, 通过调整催化剂(铑或铱)和反应条件, 实现了碳硼烷羧酸B(3)或B(4)位的选择性无痕导向B—H键胺化反应(Schemes 19D, 19E). 同年, 该课题组[67]进一步探索了苯并异噁唑作为胺源, 在铱催化下进行反应, 合成了一系列的胺基取代的碳硼烷分子(Scheme 19F). 该方法的优势在于避免了使用铜盐作为氧化剂, 提高了反应的选择性与环境友好性. 这些研究成果进一步拓展了官能化碳硼烷的化学合成策略, 并为其在材料科学和药物化学领域的应用奠定了基础.

1.5 芳基羧酸无痕导向烷氧基化反应

Gooβen课题组[68]于2013年开发了一种铜催化策略, 实现了芳基羧酸无痕导向的邻位C—H键烷氧基化反应(Scheme 20). 在该体系中, 铜催化芳基羧酸的邻位C—H键烷氧基化反应, 而脱羧过程则是银介导完成. 反应在氧气作为氧化剂条件下, 以中等至良好的产率获得了一系列单取代的芳基烷基醚.
图式20 Cu催化的芳基羧酸无痕导向邻位烷氧基化反应

Scheme 20 Cu-catalyzed traceless directing ortho-alkoxylation of arylcarboxylic acids

1.6 芳基羧酸无痕导向卤化反应

蔡琥课题组[69]于2019年报道了一种钯催化策略, 实现了邻硝基苯甲酸的无痕导向邻位C—H键卤化反应(Scheme 21). 该方法以碘化钠作为卤化试剂, 在氧化亚铜的辅助下完成脱羧, 以中等至良好的收率得到一系列间硝基碘苯. 然而, 该反应需要较高的反应温度(170 ℃), 这一条件限制了底物的耐受性. 机理研究表明, 邻位硝基的引入能够降低脱羧的能垒, 并有效稳定脱羧后的过渡态, 从而促进C—H键选择性卤化. 此外, 研究人员发现, 在体系中加入铋盐作为路易斯酸, 可以有效降低二价钯催化剂的电子密度, 进一步促进羧基的邻位C—H键活化, 为卤化反应提供更高的催化效率[70].
图式21 钯催化芳基羧酸的脱羧邻位卤化反应

Scheme 21 Pd-catalyzed decarboxylative ortho-halogenation of arylcarboxylic acids

1.7 芳基羧酸无痕导向酰胺化反应

早在2015年, 李朝军课题组[71]已经开发出铑与铜协同催化的芳基羧酸与芳基异氰酸酯的无痕导向邻位 C—H键酰胺化反应(Scheme 22A). 同年, 该课题组[72]进一步使用更经济的钌催化剂, 同样实现了该反应. 这两种方案为合成N-芳基苯甲酰胺衍生物提供了一条便捷高效的途径. 然而, 对于强吸电子基团取代的芳基羧酸类底物, 反应的兼容性较差, 限制了其适用范围.
图式22 铑或钌催化芳基羧酸与异氰酸酯的无痕导向邻位酰胺化反应

Scheme 22 Rh or Ru-catalyzed traceless directing ortho-amina- tion of arylcarboxylic acids with isocyanate esters

Swamy课题组[73]于2018年报道了一种钯催化策略, 以异硫氰酸酯为酰胺化试剂, 实现了各种杂芳基羧酸的无痕导向邻位C—H键酰胺化反应(Scheme 23). 该方法使用四丁基溴化铵(TBAB)作为反应添加剂, 有效促进了反应的顺利进行, 提高了酰胺化效率.
图式23 钯催化杂芳基羧酸与异硫氰酸酯的无痕导向邻位酰胺化反应

Scheme 23 Pd-catalyzed traceless directing ortho-amination of heteroarylcarboxylic acids with isothiocyanate esters

2 芳基羧酸无痕导向双官能化反应

多取代芳烃作为有机合成中的关键结构单元, 广泛存在于药物分子、天然产物及功能材料中[74-75]. 相关市场数据研究表明, 多取代芳烃类结构在小分子药物中占据主导地位, 约占市售小分子药物的45%, 而其生物活性与苯环取代基的类型和位置密切相关[76-77]. 鉴于其显著的应用意义与商业价值, 开发高效构建多取代芳烃的合成方法一直以来都是合成化学的重点研究方向[75].
在现有合成多取代芳烃的策略中, 过渡金属催化的导向双官能化反应因其具有高效简化合成步骤的独特优势而备受关注. 传统导向基(如吡啶、咪唑和磺酰基等)通常仅能实现对称双官能化反应, 而实现非对称双官能化往往需要分步反应或导向基参与的并环反应[78]. 此外, 基于传统导向基的位阻或者电子效应的变化, 通常会显著降低第二步官能化反应的效率[79]. 相比之下, 羧基作为无痕导向基的双官能化反应展现出以下突出优势: (1)羧基可以原位脱除, 避免传统导向基的后续处理步骤, 从而高效构建双官能化产物. (2)在双官能化反应中, 可以控制羧基选择性脱除, 这样不仅避免了对称双官能化副产物的生成, 同时消除了导向基的立体位阻影响, 提升了第二步反应的活性. (3)原位脱羧过程释放的金属物种可参与后续官能化反应, 为原位、邻位双取代芳烃提供了高效简洁的合成途径. (4)通过使用不同羧基无痕导向双官能化策略, 可以实现不同位点多取代芳烃的选择性合成.
根据不同的导向机制, 过渡金属催化的芳基羧酸无痕导向双官能化反应主要可分为以下4种(Scheme 24): (Ⅰ)导向对称双官能化反应: 羧基在一次反应中完成两次导向邻位C—H键活化和官能团化反应后, 通过脱羧氢化步骤移除得到间位双官能化产物. (Ⅱ)分步导向双官能化反应: 羧基在先后两步反应中完成两次导向C—H键官能团化后, 通过脱羧氢化步骤移除. 该方法采用分步导向的反应设计, 通过不同催化体系调控反应的选择性, 减少对称双官能团化副产物的生成. (Ⅲ)原位、邻位双官能化反应: 羧基首先导向邻位C—H键的官能化, 随后通过原位脱羧官能化实现第二次官能团化, 得到原位、邻位双官能化产物. 该方法可在一个连续步骤中完成双重官能化, 减少了中间体的分离和处理步骤. (Ⅳ)导向接力双官能化反应: 通过羧基无痕导向邻位C—H键官能化, 在原分子中引入一个具有导向作用的官能团, 该官能团作为新的导向基团继续导向邻位C—H键活化, 并引入第二个官能团, 得到邻位双官能化产物. 该策略通过动态调整导向基, 提高了反应的灵活性和多样性. 这些不同类型的无痕导向双官能化策略, 为多取代芳烃的精确构建提供了新的思路和高效方法.
图式24 芳基羧酸无痕导向双官能化反应

Scheme 24 Traceless directing difunctionalisation of arylcarboxylic acids

2.1 芳基羧酸无痕对称导向双官能化反应

尽管对称的双官能化产物通常被视为单官能化反应的副产物, 但是这些多取代芳烃在功能材料分子的合成中具有重要意义. 因此, 近年来无痕导向对称双官能化反应引起了越来越多的关注.
1,3-二苯乙烯基苯作为一种典型的π-共轭芳烃衍生物, 因其独特的分子结构和光电特性, 在材料科学领域展现出重要的应用潜力[80-82]. 2010年, Miura课题组[40]发展了铑催化的芳基羧酸的邻位C—H键双烯基化反应与银介导的邻位双取代苯甲酸的脱羧反应, 以苯乙烯为烯基源, 一锅两步高效、简洁地合成了1,3-二苯乙烯基苯(Scheme 25).
图式25 铑催化苯甲酸无痕导向邻位双烯基化反应

Scheme 25 Rh-catalyzed traceless directing ortho-bialkenyla- tion of benzoic acid

2019年, Lu课题组[59]报道了一种铑催化的邻位取代碳硼烷羧酸的无痕导向邻位B—H键对称双烷基化反应(Scheme 26A). 该反应使用丙烯醇衍生物作为烷基化试剂, 能在羧基导向下对两个邻位B—H键进行双重烷基化修饰, 构建所需的取代碳硼烷化合物. 2022年, Lee课题组[61]发展了铱催化的无痕导向邻位对称双烷基化反应策略(Scheme 26B). 该反应使用亚砜叶立德作为烷基化试剂, 在更温和的条件下顺利进行. 并且使用亚砜叶立德作为卡宾前体, 避免了使用大量的银盐作为氧化剂.
图式26 铑或铱催化碳硼烷羧酸无痕导向邻位双烷基化反应

Scheme 26 Rh or Ir-catalyzed traceless directing ortho-bialk- ylation of carborane carboxylic acids

2.2 芳基羧酸无痕分步导向双官能化反应

2019年, Baidya课题组[83]发展了一种“一锅两步”策略, 利用钌催化实现了芳基羧酸脱羧邻位C—H键非对称双烯基化反应(Scheme 27). 该方法依次使用乙烯基磷酸酯和二芳基炔烃作为两种不同的烯基化试剂. 首先, 芳基羧酸与乙烯基磷酸酯发生羧基导向邻位C—H键烯基化, 随后在加入炔烃和醋酸铜的条件下完成第二次烯基化和脱羧, 从而实现无痕导向非对称双烯基化. 值得注意的是, 两种烯基化试剂的添加顺序不可颠倒. 这是由于乙烯基膦酸酯的Michael受体活性较低, 若先加入炔烃, 可能会影响其反应活性, 并导致副反应(如oxa-Michael加成、对称双烯基化等)的发生. 该策略为非对称双官能化反应的开发提供了新的思路, 并进一步拓展了羧基作为无痕导向基团的应用范围.
图式27 钌催化的芳基羧酸与烯烃和炔烃的脱羧非对称双官能化反应

Scheme 27 Ru-catalyzed decarboxylative asymmetric bifunctional reaction of arylcarboxylic acids with olefins and alkynes

2022年, Lee课题组[61]在研究碳硼烷羧酸的无痕导向B—H键单烷基化和对称双烷基化反应过程中, 发现通过调控反应条件可以实现羧基的选择性脱除. 基于此发现, 研究者进一步优化分步反应条件, 使羧基在连续两次B—H键官能化后选择性脱除, 从而成功实现碳硼烷羧酸的无痕导向非对称双烷基化(Scheme 28). 值得注意的是, 该反应无法通过一锅法直接完成, 这是因为单烷基化与双烷基化的反应条件不兼容, 若直接一锅反应, 则会导致对称双烷基化副产物的生成. 因此, 研究者采用分步策略, 通过分离邻烷基碳硼烷羧酸中间体并进行第二步羧基导向B—H键烷基化, 最终实现非对称双烷基化, 这一策略拓展了碳硼烷的精准官能化途径.
图式28 铱催化的碳硼烷羧酸无痕导向非对称双烷基化反应

Scheme 28 Ir-catalyzed traceless directing unsymmetric bialkylation of carborane carboxylic acids

2.3 芳基羧酸无痕导向邻位、脱羧原位双官能化反应

炔烃与芳基羧酸无痕导向的串联环化反应为制备稠环化合物提供了一种高效的方法. 近年来, 研究者们通过优化金属催化体系, 使反应条件更加温和, 提高了反应的兼容性, 为构建多取代稠环化合物提供了多种策略[84].
2007年, Miura课题组[85]首先报道了[Cp*IrCl2]2催化炔烃与苯甲酸的无痕导向[2+2+2]串联环化反应(Scheme 29A). 该方法使用碳酸银作为氧化剂, 可用于制备一系列多取代的萘环化合物, 不足之处在于不能兼容杂芳基羧酸. 脱羧是通过金属羧酸盐的β-C消除与金属-π相互作用进行的[86], 为提高脱羧效率, Tanaka课题组[87a]提出增强金属-π相互作用的策略, 并于2016年设计了缺电子的[CpERhCl2]2催化剂, 使该反应可以在室温条件下顺利进行, 同时拓宽了底物适用范围(Scheme 29B). 2019年, 该课题组[87b]进一步利用该催化体系, 实现了苯甲酸与非环二炔的无痕导向[2+1+2+1]串联环加成反应, 在温和条件下合成多环萘化合物.
图式29 苯甲酸与炔烃的无痕导向[2+2+2]环化反应

Scheme 29 Traceless directing [2+2+2] cyclisation of benzoic acid with alkynes

2019年, Satoh课题组[88]使用Ir催化实现了水杨酸衍生物和二芳基乙炔的无痕导向[2+2+2]串联环化反应, 成功合成了一系列四芳基-1-萘酚类化合物(Scheme 29C). 同年, 郑李垚课题组[89]在空气作为单一氧化剂的条件下, 发展了一种钌催化体系, 实现了邻苯二甲酸衍生物与炔烃的无痕导向[2+2+2]环化反应, 高效合成了多取代的1-萘甲酸衍生物(Scheme 29D). 他们提出了可能的反应机理(Scheme 30): 首先, 钌催化剂在碱的作用下由二聚体解离成活性单体Ru-6. 随后, Ru-6与底物羧酸发生C—H键活化形成五元环钌络合物Ru-7. Ru-7对炔烃进行迁移插入得到七元环钌中间体Ru-8. 然后, Ru-8经脱羧得到五元环钌络合物Ru-9. Ru-9与炔烃进行迁移插入得到七元环钌络合物Ru-10. 最后, Ru-10经还原消除得到环化产物和零价钌, 而零价钌经氧气氧化为二价钌Ru-6, 完成催化循环.
图式30 苯甲酸与炔烃的无痕导向[2+2+2]环化反应机理

Scheme 30 Mechanism of traceless directing [2+2+2] cyclisation of benzoic acid with alkynes

除了芳基羧酸外, 其他稠环或者杂环羧酸也适用于与炔烃的无痕导向串联环化反应. 2018年, Miura课题组[90]报道了铑催化N-芳基吲哚-3-甲酸与二芳基乙炔的环化反应, 高效合成了二芳基吲哚[2-a]喹诺酮衍生物(Scheme 31A). 2020年, Lee课题组[91]发展了铱催化的非苯芳香化合物2-甲酸薁类化合物与二芳基乙炔的[2+ 2+2]环化反应(Scheme 31B). Miura和Lee的研究表明, 通过炔烃与稠环类羧酸化合物的脱羧串联环化反应, 可实现复杂稠环分子的高效、简洁合成.
图式31 其他稠环甲酸与炔烃的脱羧环化反应

Scheme 31 Decarboxylative cyclisation of other fused ring carboxylic acids with alkynes

2009年, Miura课题组[92]报道了钯催化的炔烃与吲哚-2-甲酸的无痕导向[2+2+2]串联环化反应, 成功构筑了一系列多取代的咔唑衍生物(Scheme 32). 该反应解决了此前铱催化体系对杂芳基羧酸底物的不兼容性, 实现了吡咯-2-甲酸、吲哚-2-甲酸、呋喃-2-甲酸等多种杂芳基羧酸高效转化. 值得注意的是, 该方法不仅适用于对称炔烃, 还可以通过吡咯-2-甲酸与两种不同炔烃的依次加成, 高效构建非对称取代咔唑骨架, 进一步拓展了该策略在复杂杂环化合物合成中的应用潜力. 该研究表明, 钯催化体系在杂芳基羧酸的无痕导向[2+2+2]串联环化反应中具有更广泛的底物适用性, 为咔唑类化合物的合成提供了一种高效、可调控的合成策略.
图式32 钯催化的吲哚-2-羧酸与炔烃无痕导向环化反应

Scheme 32 Pd-catalyzed traceless directing cyclisation of indole-2-carboxylic acids with alkyne

2018年, 张逢质课题组[93]通过钯催化实现了邻氯苯甲酸与环状二芳基碘盐的串联芳基化和脱羧环化反应, 成功合成了一系列三亚苯类化合物(Scheme 33A). 该方法不涉及C—H键活化, 且需要在羧基邻位预先引入氯原子作为定位基团. 在此基础上, 2019年该课题[94]进一步实现了普通芳基羧酸在钯催化条件下直接与环状二芳基碘盐发生C—H芳基化及脱羧环化, 避免了额外的卤素引入步骤, 更具原子经济性和步骤经济性(Scheme 33B). 同年, 该研究团队[95]进一步优化了反应条件, 使该方法适用于杂芳基羧酸底物, 并首次实现了钯催化吲哚-2-羧酸与环状二芳基碘盐之间的选择性N1/C2或C2/C3环化反应, 分别构筑了菲啶类化合物和苯并咔唑类化合物(Scheme 33C). 反应使用环状二芳基碘盐作为偶联试剂, 简洁、高效地合成了具有高附加价值的多环芳烃(PAHs)[96]. 此外, 环状二芳基碘盐自身具有氧化性, 避免了使用大量银盐以及铜盐作为氧化剂. 但是, 环状二芳基碘盐的可获得性较低, 在一定程度上限制了该方法在大规模合成中的应用.
图式33 钯催化芳基羧酸与环状二芳基碘盐的无痕导向环化反应

Scheme 33 Pd-catalyzed traceless directing cyclisation of arylcarboxylic acids with cyclic diaryliodonium salts

目前, 芳基羧酸无痕导向邻位、脱羧原位双官能化反应的研究集中于无痕导向串联环化反应, 而双芳基化反应的报道较为有限. 2009年, Miura课题组[97]报道了一例钯催化的双芳基化反应, 利用芳基溴与吲哚-2-甲酸无痕导向邻位、脱羧原位双芳基化反应, 成功地一步构建了2,3-二芳吲哚结构(Scheme 34). 该方法具有较高的原子经济性和步骤经济性, 为构建多芳基取代吲哚提供了简洁高效的策略.
图式34 钯催化吲哚-2-甲酸脱羧双芳基化反应

Scheme 34 Pd-catalyzed decarboxylative biarylation of indole- 2-carboxylic acids

2.4 芳基羧酸无痕导向接力双官能化反应

近年来, 过渡金属催化的无痕导向环化反应得到了显著进展, 但实现多类型的无痕导向非对称双官能化反应仍面临诸多挑战. 2023年, 我们课题组[98]采用导向接力策略, 成功实现了钌催化的芳基羧酸脱羧邻位C—H键杂芳基化和间位烷基化环化反应(Scheme 35), 该方法能在保持优异区域选择性和化学选择性的同时, 高效地构建了多官能取代的联芳烃结构. 值得注意的是, 该策略通过羧基无痕导向邻位C—H键杂芳基化引入吡啶基, 显著促进了脱羧过程, 无需传统脱羧反应中常用的银盐或铜盐等外加添加剂, 也有效避免了羧基导向二次官能化副产物的生成. 基于机理研究, 我们提出了可能的催化循环: 钌催化剂前体[RuCl2(p-cymene)]2在碱的作用下, 与羧酸底物发生配体交换生成羧酸钌络合物. 随后, 底物经历羧基导向邻位C—H键活化生成五元环钌络合物Ru-11. 接着, Ru-11通过2-溴吡啶的氧化加成及还原消除, 转化为七元环钌络合物Ru-13, 并在快速脱除CO2后发生质子化, 进而通过2-吡啶基团导向的 C—H键活化得到五元环钌络合物Ru-16. 最后, Ru-16与烯烃发生迁移插入, 并在质子化作用下释放目标产物, 同时再生活性催化剂Ru-11, 完成整个催化循环(Scheme 35).
图式35 钌催化芳基羧酸无痕导向接力邻位芳基化间位环化反应

Scheme 35 Ru-catalyzed ortho-arylation and meso-cyclisation of arylcarboxylic acids via traceless directing relay

在此前研究的基础上, 我们[99]进一步采用导向接力策略, 实现了芳基羧酸的无痕导向非对称双杂芳基化反应, 成功构建了邻位二吡啶基芳烃结构(Scheme 36). 在该反应中, 羧基首先导向钌催化剂活化邻位C—H键, 接着与2-溴吡啶发生杂芳基化, 并在2-吡啶基团的协助下发生脱羧, 生成2-芳基吡啶中间体. 然后, 2-吡啶导向钌催化剂活化邻位C—H键, 并进行第二次杂芳基化, 生成目标产物. 由于吡啶的强导向作用, 在以往的报道中往往会发生多杂芳基化的副反应. 然而, 在该反应体系中, 由于大量羧酸的存在, 五元环钌中间体能够较快地发生质子化, 从而有效抑制了多杂芳基化副反应的发生, 确保高选择性地生成目标产物二吡啶基芳烃. 该策略不仅拓展了芳基羧酸在芳烃双官能化反应中的应用, 同时也为吡啶芳烃的精确构建提供了高效策略, 具有重要的合成价值. 未来, 该方法将在功能材料、配位化学与药物分子合成等领域展现出广阔的应用潜力.
图式36 钌催化芳基羧酸无痕导向接力双杂芳基化反应

Scheme 36 Ru-catalyzed bisheteroarylation of arylcarboxylic acids via traceless directing relay

3 总结与展望

芳基羧酸因其来源广泛、化学性质稳定且羧基易于脱除等特点, 近些年来被广泛应用于无痕导向的邻位 C—H官能化反应. 本文综述了芳基羧酸在无痕导向的芳基化、烯基化、烷基化、胺化、烷氧基化、卤化、酰胺化等单官能化反应以及双官能化反应中的应用. 早期的研究主要依赖于邻位取代的芳基羧酸作为底物, 并借助配体调控或使用银盐、铜盐添加剂促进羧基脱除. 随着研究的深入, 芳基羧酸的无痕导向官能化反应的类型不断丰富, 反应条件逐步向绿色、温和的方向发展, 并且可通过单一过渡金属催化剂实现高效转化. 此外, 基于羧基的导向作用, 研究者进一步发展了芳基羧酸的无痕导向的双官能化反应体系, 这一创新性的方法通过精准控制两个不同位点的连续官能化, 为复杂多取代芳烃骨架的高效构建提供了新思路, 提升了芳环官能化的合成效率与精准度..
尽管芳基羧酸无痕导向反应已取得显著进展, 但仍然存在以下挑战: (1)无痕导向双官能化反应, 特别是非对称双官能化反应仍处于起步阶段, 研究较少. (2)目前的无痕分步导向非对称双官能化反应常伴随对称双官能化副反应, 并且涉及多步操作, 降低了步骤经济性. (3)尽管无痕导向接力双官能化反应具有很好的原子和步骤经济性, 但目前主要局限于吡啶作为接力导向基, 发展多样化的接力导向基将有助于扩展反应的底物适用范围和应用价值. (4)大多数芳基羧酸无痕导向官能化反应需要在高温(≥120 ℃)反应条件下进行, 开发温和、高效的催化体系仍是亟需解决的问题. 展望未来, 随着催化体系的不断优化和导向策略的持续创新, 过渡金属催化的芳基羧酸无痕导向反应有望取得更大突破, 在有机合成、材料科学和药物化学等领域发挥更加重要的作用.
(Cheng, F.)
[1]
Qin, Y.; Zhu, L.; Luo, S. Chem. Rev. 2017, 117, 9433.

[2]
Ackermann., L. Acc. Chem. Res. 2014, 47, 281.

[3]
Xu, X.; Wang, Y.; Yu, X.; Liu, X.; Hao, L.; Ji, Y. Org. Lett. 2024, 26, 1338.

[4]
Yu, J.-Q.; Ding, K. L. Acta Chim. Sinica 2015, 73, 1223 (in Chinese).

(余金权, 丁奎岭, 化学学报, 2015, 73, 1223.)

DOI

[5]
Chen, Z.; Wang, B.; Zhang, J.; Yu, W.; Liu, Z.; Zhang, Y. Org. Chem. Front. 2015, 2, 1107.

[6]
Chernyak, N.; Dudnik, A. S.; Huang, C.; Gevorgyan, V. J. Am. Chem. Soc. 2010, 132, 8270.

DOI PMID

[7]
Houlden, C. E.; Hutchby, M.; Bailey, C. D.; Ford, J. G.; Tyler, S. N. G.; Gagn, M. R.; Lloyd-Jones, G. C.; Booker-Milburn, K. I. Angew. Chem., Int. Ed. 2009, 48, 1830.

[8]
Zhang, F.; Spring, D. R. Chem. Soc. Rev. 2014, 43, 6906.

[9]
Zhang, Y. F.; Zhao, H. W.; Wang, H.; Wei, J. B.; Shi, Z. J. Angew. Chem., Int. Ed. 2015, 54, 13686.

[10]
Bhattacharya, T.; Pimparkar, S.; Maiti, D. RSC Adv. 2018, 8, 19456.

DOI PMID

[11]
Zhang, F.-L.; Hong, K.; Li, T.-J.; Park, H.; Yu, J.-Q. Science 2015, 351, 249.

[12]
Gandeepan, P.; Ackermann, L. Chem 2018, 4, 199.

[13]
Hanchate, V.; Kumar, A.; Prabhu, K. R. Org. Lett. 2019, 21, 8424.

DOI PMID

[14]
Font, M.; Quibell, J. M.; Perry, G. J. P.; Larrosa, I. Chem. Commun. (Camb) 2017, 53, 5584.

[15]
Rani, G.; Luxami, V.; Paul, K. Chem. Commun. (Camb.) 2020, 56, 12479.

[16]
Drapeau, M. P.; Goossen, L. J. Chemistry 2016, 22, 18654.

[17]
Guan, C.; Qi, H.; Han, L.; Zhang, G.; Lyu, J.; Ding, C. Org. Chem. Front. 2024, 11, 4156.

[18]
Kaeding, W. W.; Lindblom, R. O.; Temple, R. G. Ind. Eng. Chem. 1961, 53, 805.

[19]
Xiong, W.; Shi, Q.; Liu, W. H. J. Am. Chem. Soc. 2022, 144, 15894.

[20]
Fu, Z.; Cao, X.; Yin, J.; Gou, Z.; Yi, X.; Cai, H. Chin. J. Org. Chem 2022, 42, 67 (in Chinese).

(付拯江, 曹晰晗, 尹健, 苟振宇, 伊学政, 蔡琥, 有机化学, 2022, 42, 67.)

DOI

[21]
Wei, Y.; Hu, P.; Zhang, M.; Su, W. Chem. Rev. 2017, 117, 8864.

DOI PMID

[22]
Chiong, H. A.; Pham, Q.-N.; Daugulis, O. J. Am. Chem. Soc. 2007, 129, 9879.

[23]
Gooßen, L. J.; Deng, G.; Levy, L. M. Science 2006, 313, 662.

[24]
Cornella, J.; Righi, M.; Larrosa, I. Angew. Chem., Int. Ed. 2011, 50, 9429.

[25]
Cornella, J.; Sanchez, C.; Banawa, D.; Larrosa, I. Chem. Commun. 2009, 46, 7176.

[26]
Lu, P.; Sanchez, C.; Cornella, J.; Larrosa, I. Org. Lett. 2009, 11, 5710.

[27]
Johnston, A. J. S.; Ling, K. B.; Sale, D.; Lebrasseur, N.; Larrosa, I. Org. Lett. 2016, 18, 6094.

PMID

[28]
Bruneau, A.; Roche, M.; Alami, M.; Messaoudi, S. ACS Catal. 2015, 5, 1386.

[29]
Organ, M. G.; Mirvat, Abdel-Had; Avola, S.; Dubovyk, I.; Hadei, N.; Kantchev, E. A. B.; O'Brien, C. J.; Sayah, M.; Valente, C. Chem.-Eur. J. 2008, 14, 2443.

[30]
Luo, J.; Preciado, S.; Larrosa, I. J. Am. Chem. Soc. 2014, 136, 4109.

[31]
Fortman, G. C.; Nolan, S. P. Chem. Soc. Rev. 2011, 40, 5151.

DOI PMID

[32]
Luo, J.; Preciado, S.; Larrosa, I. Chem. Commun. 2015, 51, 3127.

[33]
Font, M.; Spencer, A. R. A.; Larrosa, I. Chem. Sci. 2018, 9, 7133.

[34]
Luo, J.; Preciado, S.; Araromi, S. O.; Larrosa, I. Chem. Asian J. 2016, 11, 347.

[35]
Pu, F.; Zhang, L. Y.; Liu, Z. W.; Shi, X. Y. Adv. Synth. Catal. 2018, 360, 2644.

[36]
Png, Z. M.; Tam, T. L. D.; Xu, J. Org. Lett. 2020, 22, 5009.

[37]
Nandi, D.; Jhou, Y.-M.; Lee, J.-Y.; Kuo, B.-C.; Liu, C.-Y.; Huang, P.-W.; Lee, H. M. J. Org. Chem. 2012, 77, 9384.

[38]
Zhang, Y.; Zhao, H.; Zhang, M.; Su, W. Angew. Chem., Int. Ed. 2015, 54, 3817.

[39]
Qin, X.; Sun, D.; You, Q.; Cheng, Y.; Lan, J.; You, J. Org. Lett. 2015, 17, 1762.

[40]
Mochida, S.; Hirano, K.; Satoh, T.; Miura, M. Org. Lett. 2010, 12, 5776.

[41]
Sherikar, M. S.; Prabhu, K. R. Org. Lett. 2019, 21, 4525.

[42]
Pourkaveh, R.; Podewitz, M.; Schnürch, M. Eur. J. Org. Chem. 2023, 26, e202201179.

[43]
Maehara, A.; Tsurugi, H.; Satoh, T.; Miura, M. Org. Lett. 2008, 10, 1159.

[44]
Mochida, S.; Hirano, K.; Satoh, T.; Miura, M. J. Org. Chem. 2011, 76, 3024.

[45]
Li, F.; Li, X.; Gong, T.; Fu, Y. ChemCatChem 2019, 11, 5124.

[46]
Yugandar, S.; Morita, T.; Nakamura, H. Org. Biomol. Chem. 2020, 18, 8625.

[47]
Hazra, S.; Hirano, K.; Miura, M. Org. Lett. 2021, 23, 1388.

[48]
Zhang, J.; Xu, W.; Zhuang, W.; Chen, X.; Zhang, X.; Huang, Q. J. Org. Chem. 2023, 88, 15198.

[49]
Jin, X.-Y.; Xie, L.-J.; Cheng, H.-P.; Liu, A.-D.; Li, X.-D.; Wang, D.; Cheng, L.; Liu, L. J. Org. Chem. 2018, 83, 7514.

[50]
Zhang, J.; Shrestha, R.; Hartwig, J. F.; Zhao, P. Nat. Chem. 2016, 8, 1144.

DOI PMID

[51]
Kumar, N. Y. P.; Bechtoldt, A.; Raghuvanshi, K.; Ackermann, L. Angew. Chem., Int. Ed. 2016, 55, 6929.

[52]
Huang, L.; Biafora, A.; Zhang, G.; Bragoni, V.; Gooßen, L. J. Angew. Chem., Int. Ed. 2016, 55, 6933.

[53]
Biafora, A.; Khan, B. A.; Bahri, J.; Hewer, J. M.; Goossen, L. J. Org. Lett. 2017, 19, 1232.

[54]
Yugandar, S.; Nakamura, H. Chem. Commun. 2019, 55, 8382.

[55]
Yu, J.-L.; Zhang, S.-Q.; Hong, X. J. Am. Chem. Soc. 2017, 139, 7224.

[56]
Spencer, A. R. A.; Korde, R.; Font, M.; Larrosa, I. Chem. Sci. 2020, 11, 4204.

DOI PMID

[57]
(a) Bettadapur, K. R.; Lanke, V.; Prabhu, K. R. Chem. Commun. 2017, 53, 6251.

(b) Mandal, A.; Sahoo, H.; Dana, S.; Baidya, M. Org. Lett. 2017, 19, 4138.

DOI PMID

(c) Kumar, N. Y. P.; Rogge, T.; Yetra, S. R.; Bechtoldt, A.; Clot, E.; Ackermann, L. Chem. Eur. J. 2017, 23, 17449.

(d) Pu, F.; Liu, Z. W.; Zhang, L. Y.; Fan, J.; Shi, X.-Y. ChemCatChem 2019, 11, 4116.

DOI

[58]
Trita, A. S.; Biafora, A.; Drapeau, M. P.; Weber, P.; Gooßen, L. J. Angew. Chem., Int. Ed. 2018, 57, 14580.

[59]
(a) Scholz, M.; Hey-Hawkins, E. Chem. Rev. 2011, 111, 7035.

(b) Calabrese, G.; Daou, A.; Barbu, E.; Tsibouklis, J. Drug Discovery Today 2018, 23, 63.

(c) Wu, X.; Guo, J.; Cao, Y.; Zhao, J.; Jia, W.; Chen, Y.; Jia, D. Chem. Sci. 2018, 9, 5270.

(d) Wang, Q.; Tian, S.; Zhang, C.; Li, J.; Wang, Z.; Du, Y.; Zhou, L.; Lu, J. Org. Lett. 2019, 21, 8018.

[60]
Zhang, L.-B.; Xie, Z. Org. Lett. 2022, 24, 1318.

[61]
Ko, G. H.; Um, K.; Noh, H. C.; Kim, J. Y.; Jeong, H.; Maeng, C.; Han, S. H.; Han, G. U.; Lee, P. H. Org. Lett. 2022, 24, 1604.

[62]
Arzoumanidis, G. G.; Rauch, F. C. J. Chem. Soc., Chem. Commun. 1973, 666.

[63]
Baek, Y.; Kim, S.; Son, J.-Y.; Lee, K.; Kim, D.; Lee, P. H. ACS Catal. 2019, 9, 10418.

[64]
Han, G. U.; Baek, Y.; Lee, K.; Shin, S.; Noh, H. C.; Lee, P. H. Org. Lett. 2020, 23, 416.

[65]
Yang, H.; Noh, H. C.; Lee, P. H. Asian J. Org. Chem. 2023, 12, e202200630.

[66]
Lyu, H.; Xie, Z. Chem. Commun. 2022, 58, 8392.

[67]
Zhang, L.-B.; Xie, Z. Org. Lett. 2022, 24, 7077.

[68]
Bhadra, S.; Dzik, W. I.; Gooßen, L. J. Angew. Chem., Int. Ed. 2013, 52, 2959.

[69]
Fu, Z.; Jiang, Y.; Wang, S.; Song, Y.; Guo, S.; Cai, H. Org. Lett. 2019, 21, 3003.

[70]
Lyons, T, W.; Sanford, M. S. Chem. Rev. 2010, 110, 1147.

[71]
Shi, X. Y.; Liu, K. Y.; Fan, J.; Dong, X. F.; Wei, J. F.; Li, C. J. Chem. Eur. J. 2015, 21, 1900.

[72]
Shi, X.-Y.; Dong, X.-F.; Fan, J.; Liu, K.-Y.; Wei, J.-F.; Li, C.-J. Sci. China: Chem. 2015, 58, 1286.

[73]
Tulichala, R. N. P.; Shankar, M.; Swamy, K. C. K. J. Org. Chem. 2018, 83, 4375.

DOI PMID

[74]
Zhang, C.-L.; Wang, H.-Y.; Huang, Y.; Wang, X.-H.; Ye, S. Org. Lett. 2022, 24, 7747.

[75]
Zhao, Q.; Peng, C.; Zhan, G.; Han, B. RSC Adv. 2020, 10, 40983.

[76]
Subbaiah, M. A. M.; Meanwell, N. A. J. Med. Chem. 2021, 64, 14046.

[77]
Nilova, A.; Campeau, L.-C.; Sherer, E. C.; Stuart, D. R. J. Med. Chem. 2020, 63, 13389.

[78]
Ghosh, K.; Rit, R. K.; Shankar, M.; Mukherjee, K.; Sahoo, A. K. Chem. Rec. 2020, 20, 1017.

[79]
Mandal, A.; Dana, S.; Chowdhury, D.; Baidya, M. Chem.-Asian J. 2019, 14, 4074.

DOI

[80]
Atabekyan, L. S.; Avakyan, V. G.; Fomina, M. V.; Nuriev, V. N.; Medved’ko, A. V.; Vatsadze, S. Z.; Gromov, S. P.; Chibisov, A. K. Molecules 2024, 29, 4139.

[81]
Atabekyan, L. S.; Avakyan, V. G.; Chibisov, A. K.; Nuriev, V. N.; Medvedko, A. V.; Koshkin, A. V.; Gromov, S. P. J. Photochem. Photobiol., A 2021, 414, 113293.

[82]
Dos Santos, N. R.; Schober, J. V.; Laconsay, C. J.; Palazzo, A. M.; Kuhn, L.; Chu, A.; Hanks, B.; Hanson, K.; Wu, J.; Alabugin, I. V. J. Am. Chem. Soc. 2024, 147, 1074.

[83]
Mandal, A.; Mehta, G.; Dana, S.; Baidya, M. Org. Lett. 2019, 21, 5879.

DOI PMID

[84]
Li, W.-D.; Fan, J.; Li, C.-J.; Shi, X.-Y. Chem. Commun. 2025, 61, 3967.

[85]
Ueura, K.; Satoh, T.; Miura, M. J. Org. Chem 2007, 72, 5362.

[86]
Fromm, A.; van Wüllen, C.; Hackenberger, D.; Gooßen, L. J. J. Am. Chem. Soc. 2014, 136, 10007.

[87]
Honjo, Y.; Shibata, Y.; Tanaka, K. Chem.-Eur. J. 2019, 25, 9427.

[88]
Hirosawa, K.; Usuki, Y.; Satoh, T. Adv. Synth. Catal. 2019, 361, 5253.

DOI

[89]
Chen, H.; Ouyang, L.; Liu, J.; Shi, W.-J.; Chen, G.; Zheng, L. J. Org. Chem. 2019, 84, 12755.

[90]
Okada, T.; Sakai, A.; Hinoue, T.; Satoh, T.; Hayashi, Y.; Kawauchi, S.; Chandrababunaidu, K.; Miura, M. J. Org. Chem. 2018, 83, 5639.

[91]
Maeng, C.; Son, J.-Y.; Lee, S. C.; Baek, Y.; Um, K.; Han, S. H.; Ko, G. H.; Han, G. U.; Lee, K.; Lee, K.; Lee, P. H. J. Org. Chem. 2020, 85, 3824.

[92]
Yamashita, M.; Horiguchi, H.; Hirano, K.; Satoh, T.; Miura, M. J. Org. Chem. 2009, 74, 7481.

DOI PMID

[93]
Yang, S.; Wang, F.; Wu, Y.; Hua, W.; Zhang, F. Org. Lett. 2018, 20, 1491.

[94]
Hu, T.; Xu, K.; Ye, Z.; Zhu, K.; Wu, Y.; Zhang, F. Org. Lett. 2019, 21, 7233.

[95]
Ye, Z.; Li, Y.; Xu, K.; Chen, N.; Zhang, F. Org. Lett. 2019, 21, 9869.

[96]
Watson, M. D.; Fechtenkötter, A.; Müllen, K. Chem. Rev. 2001, 101, 1267.

PMID

[97]
Miyasaka, M.; Fukushima, A.; Satoh, T.; Hirano, K.; Miura, M. Chem. Eur. J. 2009, 15, 3674.

[98]
Li, X.; Wang, X.; Zhang, J. Chem. Sci. 2023, 14, 5470.

[99]
Chen, M.; Li, M.; Zhang, J. ACS Catal. 2023, 13, 14907.

文章导航

/