研究论文

阴离子诱导三联吡啶铂(II)配合物3MMLCT发射: 核苷酸的高效识别

  • 刘金波 ,
  • 郭倩 ,
  • 杨成 , * ,
  • 伍晚花 , *
展开
  • 四川大学化学学院 绿色化学与技术教育部重点实验室 绿色化学与技术教育部重点实验室 成都 610064

收稿日期: 2025-02-15

  修回日期: 2025-03-17

  网络出版日期: 2025-04-17

基金资助

国家自然科学基金(22422108)

国家自然科学基金(22171194)

国家自然科学基金(22471182)

国家自然科学基金(22271201)

中央高校基本业务费(20826041D4117)

Anion-Induced 3MMLCT Emission of Tripyridine-Platinum Complex: Efficient Identification of Nucleotides

  • Jinbo Liu ,
  • Qian Guo ,
  • Cheng Yang , * ,
  • Wanhua Wu , *
Expand
  • Key Laboratory of Green Chemistry & Technology of Ministry of Education, College of Chemistry, Sichuan University, Chengdu 610064

Received date: 2025-02-15

  Revised date: 2025-03-17

  Online published: 2025-04-17

Supported by

National Natural Science Foundation of China(22422108)

National Natural Science Foundation of China(22171194)

National Natural Science Foundation of China(22471182)

National Natural Science Foundation of China(22271201)

Fundamental Research Funds for the Central Universities(20826041D4117)

摘要

研究了三联吡啶铂(II)配合物P-1在磷酸根阴离子诱导下的聚集行为, 并用于结构类似化合物腺苷酸三磷酸盐(ATP)、腺苷酸二磷酸盐(ADP)和腺苷酸单磷酸盐(AMP)分子的高效识别. 在荧光光谱和紫外可见吸收光谱中, 配合物P-1与不同磷酸根阴离子通过分子间的π-π作用、Pt…Pt作用和静电作用发生聚集, 进而产生不同的1MMLCT吸收和3MMLCT发射, 这些微妙的光谱差异可以将配合物P-1用于识别不同的磷酸根阴离子. 更重要的是, 手性小分子化合物ATP和ADP可以诱导P-1聚集, 在300~500 nm处分别产生向上和向下的圆二色信号, 而AMP则无法诱导P-1产生聚集, 故无圆二色信号, 从而实现对ATP、ADP和AMP高效识别. 这一发现为识别结构相似的核苷酸分子(如ATP、ADP和AMP)提供了一种新颖且高效的方法.

本文引用格式

刘金波 , 郭倩 , 杨成 , 伍晚花 . 阴离子诱导三联吡啶铂(II)配合物3MMLCT发射: 核苷酸的高效识别[J]. 有机化学, 2025 , 45(11) : 4227 -4233 . DOI: 10.6023/cjoc202502013

Abstract

This study investigated the aggregation behavior of the terpyridine platinum(II) complex P-1 induced by various anions, which was used for identifying structurally similar molecules of adenosine triphosphate (ATP), adenosine diphosphate (ADP), and adenosine monophosphate (AMP). The complex P-1 was found to form different aggregates under different anions, facilitated by intermolecular π-π interactions, Pt…Pt interactions, and electrostatic interactions, resulting in different 1MMLCT absorption and 3MMLCT emission signals, which was utilized for the recognition of various phosphate anions. Moreover, it was found that structurally similar nucleotides ATP and ADP induced different aggregation behavior for P-1 and resulted positive and negative circular dichroism signals at 300~500 nm, respectively, while AMP didn’t induce aggregation and therefore had silent circular dichroism signals. Thus, ATP, ADP, and AMP were effectively identified using circular dichroism spectroscopy which was much more effective than using absorption and emission spectra that based on the intensity change.

平面构型的铂(II)配合物拥有独特而丰富的光谱特性, 它在可见光区呈现出灵活可调的发光颜色[1], 同时拥有长激发态寿命[2]和室温磷光(RTP)特性[3-4]. 这些卓越的光学性质使其在众多领域得到广泛应用, 可以应用于生物探针[5]、发光传感器[6]、光催化合成[7]及磷光染料[8]等领域. 铂(II)配合物为d8电子构型, 其d轨道发生简并后与配体进行配位反应, 生成的配合物展现出独特的光物理性质, 主要存在以下三类电子跃迁方式: (1) 3IL跃迁(配体分子内部); (2) 3MLCT跃迁(Pt[π]→[π*]跃迁); (3) 3LLCT跃迁[π(C≡C)→π*(L)][9]. 除此之外, 当配合物之间处于较近的距离时, 还可能发生Pt…Pt到配体的跃迁方式, 用3MMLCT (dσ*→π*)表示[10]. 3MMLCT的磷光发射对分子排列方式要求较高. 一般只有在金属间距离小于0.34 nm时, 铂(Ⅱ)配合物分子间才会存在Pt…Pt和π-π作用, 产生一个独特的3MMLCT发射[11-12]. 因此, 早期人们只在固体中观测到这种磷光发射[13-14], 低浓度的溶液中几乎不存在. 随着科学研究的发展, 不少科学家通过一些手段实现了溶液中的3MMLCT磷光发射[15-23]. 比如: Yam课题组[22]采用不良溶剂调控的手段, 实现了不同构型铂(II)配合物的聚集, 观测到不同颜色的3MMLCT发射. 此外, Yam 等[23]还报道了在溶剂中添加抗衡离子聚合物, 诱导配合物在聚合物周围形成有序的聚集体, 并观测到其独特的3MMLCT发光, 但关于小分子诱导铂(II)配合物聚集的报道甚少. 核苷酸结构由一个五碳糖、疏水的氮碱基和带负电荷的磷酸基团组成(Scheme 1), 其中腺苷酸三磷酸盐(ATP)、腺苷酸二磷酸盐(ADP)和腺苷酸单磷酸盐(AMP)是非常重要的核苷酸, 在细胞水平的新陈代谢过程中起着非常基础且决定性的作用, 参与细胞信号传输与转运、离子通道的调制以及遗传信息的转达等重要生命过程[24]. ATP是活细胞体内的能量提供者, 提供的能量供细胞完成各项生命活动后, 转变为其前体ADP和/或AMP, 即三种核苷酸在细胞活动过程中相互转化, 了解各个核苷酸的量对于深入理解细胞水平的新陈代谢过程具有至关重要的作用. 然而, ATP、ADP和AMP三者结构极其相似, 这也对三者的检测方法要求更高. 目前, 主要检测手段分为以下两种: (1) HPLC分析法[25-26]:
图式1 ATP、ADP和AMP的化学结构式

Scheme 1 Structures of nucleic acid molecules ATP, ADP and AMP

通过三个分子在HPLC中不同的保留时间进行区分, 但这种方法对于仪器和分离制备柱的要求较高, 分离条件苛刻, 成本昂贵; (2)荧光探针法[27-32]: 通过分子探针与三个分子间存在不同的结合力, 在光谱中产生的不同信号进行区分. 但目前关于ATP、AMP等磷酸衍生物中ADP特异性分子探针的研究报道相对较少, 由于荧光探针具有成本较低、响应性好等优点成为新型物质分析鉴定的方法[33-36]. 因此如何高效区分三种核苷酸具有重要的研究意义.
超分子作用依赖于氢键[37]、静电作用[38]、π-π堆积[39]等弱相互作用, 具有动态可逆[40]、多功能化[41]以及刺激响应[42]的特点, 这些特点允许超分子体系在微小的刺激下产生大的信号相应. 将发光分子与超分子体系结合, 借助超分子体系高度的可设计性, 通过调节分子结构、组装方式以及其他外部刺激能够实现发光体系的多重刺激响应以及更多样的识别能力[43-45].
基于此, 本文选用P-1作为超分子荧光探针, 深入研究了其聚集行为产生的光物理性质的变化, 并利用ATP、ADP和AMP诱导P-1在水/二甲基亚砜(DMSO)体系中产生聚集行为, 利用三种核苷酸诱导P-1聚集产生的圆二色信号的差异对三种核苷酸实现高效识别.

1 结果与讨论

1.1 P-1的合成

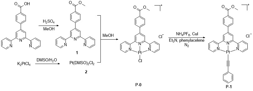
三联吡啶铂(II)配合物P-1的合成参考文献合成方法[46-48], 合成路线如Scheme 2所示, 包括三联吡啶配体1的合成, 配体1与Pt(DMSO)2Cl2的配位反应生成P-0, 以及P-0与苯乙炔的偶联反应生成目标产物P-1. 三步 反应均为成熟反应, 目标化合物的总收率达到40%以上. 目标化合物及中间产物均通过核磁共振与高分辨质谱进行了表征.
图式2 配合物P-1的合成路线

Scheme 2 Synthesis of the metal complex P-1

1.2 不同磷酸根阴离子诱导配合物P-1聚集的研究

由于三联吡啶铂(II)配合物大都具有溶剂效应, 首先通过紫外可见吸收光谱对P-1的溶剂效应进行研究(图1). 配合物P-1具有多苯环结构, 在极性溶剂中P-1的溶解性较好, 而在非极性溶剂中的溶解度较差. 故选用DMSO作为配合物P-1的良溶剂, 水作为不良溶剂, 研究P-1在不同含水量的DMSO中的聚集行为. 如图1所示, 随着水含量的不断增加, 400~500 nm处的紫外吸收峰呈现不断减弱的趋势, 而水的含量达到50%~100%时, 500~600 nm处的吸收尾带逐渐抬起. 根据之前的报道研究, 400~500 nm处的吸收峰为1ILCT和1MLCT的典型吸收峰, 而500~600 nm的吸收峰尾带被归属为P-1聚集产生的1MMLCT吸收峰[17]. 但值得注意是, 紫外吸收变化较小, 不良溶剂诱导聚集效果较弱.
图1 P-1在DMSO溶液中随含水量(0~100%)变化的紫外可见吸收光谱图

Figure 1 UV-vis absorption spectra of P-1 in DMSO solution with increasing water content from 0 to 100%

[P-1]=60 μmol/L, 298 K

为了诱导P-1分子聚集, 考虑到P-1分子中Pt中心带正电荷, 选用不同的磷酸根阴离子诱导分子产生聚集, 并通过紫外可见吸收光谱、荧光光谱以及圆二色光谱表征磷酸根阴离子加入后的光谱变化. 所选用磷酸根阴离子包括腺苷酸三磷酸盐(ATP)、腺苷酸二磷酸盐(ADP)、腺苷酸单磷酸盐(AMP)、三聚磷酸钠(triPPi)、焦磷酸钠(PPi)和磷酸钠(Pi), 测试环境为纯水溶液. 如图2所示, 在体系中不断加入ATP之后, P-1紫外可见吸收光谱和荧光光谱均出现明显变化. 具体而言, 在吸收光谱中, 往P-1水溶液中不断加入ATP至96 μmol/L, 可以观察到吸收光谱在600~700 nm处有新的吸收峰出现. 有趣的是, 在不断加入ATP的过程中, 在700~1000 nm处的发射峰逐渐增强, 发射强度较未加入ATP之前提高了14倍. 这些变化表明P-1在加入ATP分子后发生了明显聚集, 且产生了1MMLCT吸收和3MML-CT发射. 往P-1水溶液中加入ADP后, 其紫外吸收和磷光发射光谱的变化与加入ATP分子的结果非常类似. 然而, AMP的加入并不能在长波处产生新的吸收峰, 700~1000 nm的发射也基本无变化, 表明AMP的加入并不能引起P-1分子产生聚集.
图2 在P-1水溶液中加入不同浓度的ATP时吸收光谱(a)和发射光谱(b)的变化

Figure 2 UV-Vis (a) and emission spectral (b) changes of P-1 with different concentrations of ATP

Solvent: water, [P-1]=120 μmol/L, λex=440 nm

为了深入研究AMP不能引起光谱变化的原因, 继续选用其他磷酸盐进行研究. 如图3a所示, 在相同浓度的P-1水溶液中分别加入相同浓度的磷酸盐溶液, 发现加入只含有一个磷酸根阴离子的AMP和Pi时, P-1的紫外可见吸收光谱与单独的P-1的相比, 峰形与强度基本保持不变; 而加入含有多个磷酸根阴离子的ATP、ADP、triPi和PPi后, P-1在600~700 nm处均出现一个明显的紫外可见吸收峰, 即P-1聚集产生的新1MMLCT吸收峰, 新吸收峰的吸光度大小基本与磷酸根阴离子的数目呈现正相关, 即ATP和triPi诱导产生的吸收峰强度要明显大于ADP和PPi产生的吸收峰强度(图3b). 表明磷酸根阴离子是诱导P-1产生聚集的主要原因.
图3 不同磷酸衍生物作用下化合物P-1的吸收光谱(a)和640 nm处的吸收变化谱图(b)

Figure 3 UV-vis spectra (a) and changes of absorbance at 640 nm (b) of P-1 with different phosphate derivatives

c=30 μmol/L, solvent: water, 298 K

磷光光谱的变化也表现出的相似的变化规律, 如图4所示, 在纯水溶液中, P-1在700~1000 nm处存在一个较弱的荧光发射峰, 是典型的3MMLCT发射, 说明纯水溶液中P-1存在较弱的聚集行为. AMP和Pi的加入并不能使P-1的发射光谱发射明显的变化, 而ATP、ADP、triPi和PPi的加入均能使P-1在700~1000 nm处的发射峰强度明显增强(图4a). 同时发现, 同样具有三个磷酸根阴离子的ATP和triPi能够诱导P-1 3MMLCT发射强度的增强倍数比只具有两个磷酸根阴离子的ADP和PPi更大, 例如ATP可以诱导3MMLCT发射强度增大14倍, 而相同浓度的ADP只能诱导3MMLCT发射强度增大9倍. 这些现象为区分ATP、ADP和AMP这种结构类似的核苷酸分子提供了重要的根据.
图4 加入不同磷酸衍生物条件下化合物P-1的荧光光谱(a)和850 nm处的发射强度变化图(b)

Figure 4 Emission spectra (a) and changes of emission at 850 nm (b) of P-1 with different phosphate derivative

c=30 μmol/L, solvent: water, λex=440 nm, 298 K

加入各种磷酸根阴离子后P-1分子的紫外可见吸收光谱和荧光光谱的变化总结在表1中. 从表1中可以清晰看到, 根据加入磷酸根阴离子后是否产生1MMLCT吸收峰和3MMLCT发射峰, 以及产生的吸收峰和发射峰的强度变化可对ATP、ADP和AMP三种结构类似的核苷酸进行识别. 然而这种基于强度变化的表征方式易受到溶剂、浓度等外部因素的干扰, 考虑到三种核苷酸均具有手性环糖单元, 同时ATP和ADP与P-1产生了共聚集现象, 本文将进一步用圆二色光谱探讨三种核苷酸与P-1的聚集行为.
表1 不同磷酸根阴离子诱导P-1聚集的光物理性质a

Table 1 Photophysical properties of P-1 aggregation induced by different anions

Compd. λabs/nm Absb A/A0c λemd/nm I/I0e
P-1 472 0.011 1.0 859 1.0
P-1+ATP 472/640 0.052 4.5 836 14.1
P-1+ADP 472/640 0.044 3.8 821 9.1
P-1+AMP 472 0.013 1.1 859 1.0
P-1+triPPi 476/642 0.044 3.8 844 9.2
P-1+PPi 476/642 0. 039 3.4 848 4.8
P-1+Pi 476 0.009 0.8 859 0.9

a Solvent: water, 298 K. b Absorbance of P-1 at 640 nm. c Absorbance change at 640 nm after the addition of phosphate anion. d 3MMLCT emission wavelength. e Emission intensity change at 850 nm after the addition of phosphate anion.

1.3 P-1聚集体的圆二色信号表征

基于前面的研究可知, ATP和ADP均可诱导P-1聚集产生3MMLCT发射. 预测ATP和ADP在诱导P-1聚集的同时可能会将手性传递给P-1聚集体. 因此, 测试了不同磷酸盐作用下P-1的圆二色光谱(图5). 结果显示, ATP或ADP诱导P-1聚集体在300~600 nm处产生强的圆二色信号(图5a, 5b), 而在参照实验(图5c)中, P-1本身以及在AMP及其他磷酸根阴离子作用下则无明显圆二色信号. 更重要的是, 不同浓度的ATP的加入诱导P-1产生正的圆二色信号, 而不同浓度的ADP则诱导P-1产生负的圆二色信号, 即二者诱导产生的圆二色符号是完全相反的, 基于此, 可以提供区分ATP和ADP更有效更抗干扰的检测模式, 进而实现三种腺苷酸的高效区分.
图5 不同磷酸衍生物下化合物P-1的圆二色光谱图

Figure 5 CD spectra of P-1 with different phosphate derivatives

c=60 μmol/L, solvent: water, 298 K

为了解造成如此大差异的原因, 进一步对三个分子的结构进行了分析, 从ATP、ADP和AMP分子的化学结构式(Scheme 1)显示核糖有3个R型和1个S型手性碳, ATP、ADP和AMP的嘌呤和核糖部分相同而磷酸基团个数呈现逐渐递减的趋势, 最多的数量为3个. 实验中, AMP对P-1聚集无诱导作用, 我们推测造成这个现象的原因可能有两个方面: 首先, AMP本身阴离子个数较少, 与P-1之间的静电作用较弱; 其次, AMP的磷酸链较短, 与P-1作用时具有较大的位阻效应. 此外, 由于位阻效应, ADP和ATP诱导P-1聚集时主要受外围磷酸基团的影响较大. ATP的磷酸链较长, P-1在其周围发生聚集时, 离ATP的手性中心较远, 故P-1聚集产生的手性主要受离它较近的R型手性碳的影响, 而ADP的磷酸链较短, P-1离手性中心较近, 此时聚集诱导所产生的手性主要受到R型和S型手性碳的共同影响. 为了验证此猜想, 我们通过理论计算的方式计算了ATP、ADP以及P-1分子在水中的表面电荷分布, 计算结果显示, P-1分子的正电荷主要离域在三联吡啶配体上. ATP分子的负电荷主要分布在磷酸链的末端, 而ADP的负电荷中心明显更靠近手性五元环, 因而ATP和ADP与P-1分子发生诱导聚集时, ADP更易受到手性中心中多个手性碳原子的共同影响, 从而表现出与ATP相反的手性信号.

2 结论

本研究设计了三联吡啶铂(II)配合物P-1作为荧光探针, 通过荧光光谱和紫外可见吸收光谱深入探究了磷酸根阴离子诱导P-1的聚集行为, 发现不同磷酸根阴离子诱导P-1聚集产生的1MMLCT吸收和3MMLCT发射情况各不同, AMP不能诱导P-1产生聚集现象, 而ADP和AMP诱导P-1聚集产生的吸收和发射峰强度各异, 从而实现三种核苷酸的区分. 更重要的是, 本文发现, ATP和ADP诱导P-1聚集产生的圆二色符号完全不同, ATP诱导产生正的圆二色信号, 而ADP则诱导产生负的圆二色信号, AMP无法诱导产生圆二色信号, 从而为结构相似核苷酸的识别提供一种成本低廉、操作简便且易于观测的策略.

3 实验部分

3.1 仪器与试剂

Brucker DRX-400核磁共振仪(瑞士布鲁克公司, D2O和DMSO-d6作溶剂, TMS作内标); LCMS-IT-TOF (ESI)质谱仪(日本岛津公司); JASCO V650光谱仪(日本JASCO公司); JASCO J-1500圆二色光谱仪(日本JASCO公司). 4'-羧苯基-2,2',6',2''-吡啶、氯亚铂酸钾(K2PtCl4)、六氟磷酸铵(NH4PF6)、碘化亚铜(CuI)均购于上海泰坦科技股份有限公司; 腺苷-5'-三磷酸二钠盐(ATP)、腺苷-5'-二磷酸钠盐水合物(ADP)、5-腺苷酸(AMP)、焦磷酸钠(PPi)均购于上海阿拉丁生化科技股份有限公司; 三聚磷酸钠(triPPi)、磷酸钠(Pi)购于西陇化工股份有限公司; 腺苷三磷酸双磷酸酶购于西格玛奥德里奇(上海)贸易有限公司. 甲醇(MeOH)、浓硫酸(H2SO4)、二氯甲烷(DCM)、乙醇(EtOH)、二甲基亚砜(DMSO)、N,N-二甲基甲酰胺(DMF)等溶剂均为国产分析纯, 反应过程中用到的水为实验室自制的超纯水. 产物的分离与提纯通过柱色谱进行, 其内部填充200~300目硅胶或中性氧化铝.

3.2 实验方法

化合物12P-0P-1采用文献报道方法合成[46-48].

3.2.1 化合物1的合成

称取50 mg 4'-羧苯基-2,2',6',2''-吡啶(0.2 mmol)于圆底烧瓶中, 加入6 mL甲醇作为溶剂, 再加入浓硫酸 (1.4 mmol)作为催化剂. 回流反应5 h, 待反应物消耗完全后, 减压条件下旋蒸除去溶剂, 所得粗产物通过柱色谱法进一步分离纯化(二氯甲烷/乙醇, VV=12∶1), 最终得到白色产物1 (37 mg, 产率72.0%). 1H NMR (400 MHz, DMSO-d6) δ: 8.78 (d, J=6.3 Hz, 4H), 8.69 (d, J=7.9 Hz, 2H), 8.17 (d, J=8.4 Hz, 2H), 8.11 (d, J=8.2 Hz, 2H), 8.07~8.02 (m, 2H), 7.55 (dd, J=7.3, 4.8 Hz, 2H), 3.92 (s, 3H); ESI-HRMS calcd for C23H18N3O2 [M+H] 368.1394, found 368.1399; C23H17N3O2Na [M+Na] 390.1213, found 390.1188.

3.2.2 化合物2的合成

称取125 mg的氯亚铂酸钾(0.3 mmol)于圆底烧瓶中, 加入1 mL的去离子水, 再加入DMSO (0.1 mL, 1.1 mol), 在25 ℃的黑暗条件下反应12 h, 产生白色沉淀物. 进一步通过布氏漏斗过滤得到白色固体, 再分别用去离子水、乙醇和乙醚冲洗沉淀, 真空过夜干燥, 得白色固体产物2 (82 mg, 产率64.3%). 1H NMR (400 MHz, D2O) δ: 2.71 (s, 12H); ESI-HRMS calcd for C4H14Cl2Na-O2PtS2 [M+Na] 445.0063, found 445.0063.

3.2.3 化合物P-0的合成

称取反应物Pt(DMSO)2Cl2 (40 mg, 0.1 mmol)和化合物1 (40 mg, 0.1 mmol)于圆底烧瓶中, 再加入DMF/MeOH混合溶剂(DMF∶MeOH=1∶1, 8 mL). 抽真空, N2保护下回流反应. 结束后, 经由薄层板监测反应物1消耗完全后, 加入10 mL水终止反应, 过滤得到浅黄色的粗产物, 再分别用乙醇和乙醚洗涤固体, 过夜干燥, 得到黄色固体P-0 (45 mg, 产率67.4%). 1H NMR (400 MHz, DMSO-d6) δ: 9.11 (s, 2H), 9.03 (d, J=5.5 Hz, 2H), 8.91 (d, J=8.0 Hz, 2H), 8.60 (t, J=8.2 Hz, 2H), 8.36 (d, J=8.4 Hz, 2H), 8.24 (d, J=8.2 Hz, 2H), 8.02 (t, J=6.9 Hz, 2H), 3.94 (s, 3H); ESI-HRMS calcd for C23H17ClN3O2Pt 597.0657, found 597.0620.

3.2.4 化合物P-1的合成

称取化合物P-0 (20 mg, 0.03 mmol)、六氟磷酸铵(3 mg, 0.02 mmol)和催化剂CuI (3 mg, 0.02 mmol)于圆底烧瓶中, 加入1 mL溶剂DMF. 反应装置进行抽真空, 氮气保护. 用注射器注入苯乙炔(0.2 mmol, 0.03 mL)和三乙胺(0.2 mmol, 0.03 mL), 在黑暗条件下过夜反应. 反应结束后, 减压除去溶剂DMF, 将所得混合物溶解在1 mL乙腈中, 加入过量四丁基铵后反应2 h, 过滤得到黄色固体, 再分别用丙酮和乙醚洗涤沉淀, 真空过夜干燥, 得到化合物P-1 (18.8 mg, 产率82.8%). 1H NMR (400 MHz, DMSO-d6) δ: 9.16 (d, J=5.4 Hz, 2H), 9.11 (s, 2H), 8.88 (d, J=8.0 Hz, 2H), 8.55 (t, J=7.8 Hz, 2H), 8.31 (d, J=8.6 Hz, 2H), 8.21 (d, J=8.4 Hz, 2H), 7.97~7.92 (m, 2H), 7.50 (d, J=7.0 Hz, 2H), 7.35 (t, J=7.4 Hz, 2H), 7.28 (t, J=7.3 Hz, 1H), 3.95 (s, 3H); ESI-HRMS calcd for C31H22N3O2Pt 663.1360, found 663.1324.

3.3 测试溶液制备

用于传感研究的炔基三吡啶铂(II)配合物(P-1)的母液浓度为4×10-3 mol•L−1, 将所需的P-1溶解在DMSO中即可制备相应的测试浓度. 磷酸根阴离子分析物(AMP、ADP、ATP、Pi、PPi和triPi)的母液在蒸馏水中进行配制, 测试溶剂的体积均为3 mL.
辅助材料(Supporting Information) 化合物1, 2, P-0, P-1的1H NMR谱、高分辨质谱图, 以及ADP、AMP诱导的P-1分子聚集的相关光谱等. 这些材料可以免费从本刊网站(http://sioc-journal.cn/)上下载.
(Lu, Y.)
[1]
Wu, D.; Qin, K.; Gao, X.; Cheng, S.; Wu, A.; Sha, C.; Ma, H.; Sun, Z.; Zhang, C.; Hang, X. C. J. Mater. Chem. C 2022, 10, 1365.

DOI

[2]
Wang, Y.; Peng, Q.; Shuai, Z. Mater. Horiz. 2022, 9, 334.

DOI

[3]
Di, L.; Wang, Z.; Yu, Z.; Cao, Q.; Wang, H.; Xing, Y.; Yang, Z.; Xia, Z. Dyes Pigm. 2022, 205, 110582.

DOI

[4]
Wei, L.; Gao, F.; He, C.; He, Q.; Jin, P.; Rong, Y.; Zhao, T.; Yang, C.; Wu, W. Sci. China: Chem. 2023, 66, 3546.

[5]
Lin, S.; Pan, H.; Li, L.; Liao, R.; Yu, S.; Zhao, Q.; Sun, H.; Huang, W. J. Mater. Chem. C 2019, 7, 7893.

DOI

[6]
Yan, Y.; Yu, Z.; Wang, J.; Liu, C. Tetrahedron Lett. 2023, 119, 154427.

DOI

[7]
Zhao, X.; Liang, G.; Wang, H.; Qu, Z. ACS Sustainable Chem. Eng. 2023, 11, 11580.

DOI

[8]
Fan, C.; Wei, L.; Niu, T.; Rao, M.; Cheng, G.; Chruma, J. J.; Wu, W.; Yang, C. J. Am. Chem. Soc. 2019, 141, 15070.

DOI

[9]
Yu, X.; Gao, F.; Zhao, W.; Lai, H.; Wei, L.; Yang, C.; Wu, W. Dalton Trans. 2022, 51, 9314.

DOI

[10]
Brown-Xu, S. E.; Kelley, M. S. J.; Fransted, K. A.; Chakraborty, A.; Schatz, G. C.; Castellano, F. N.; Chen, L. X. J. Phys. Chem. A 2016, 120, 543.

DOI

[11]
Zou, C.; Lin, J.; Suo, S.; Xie, M.; Chang, X.; Lu, W. Chem. Commun. 2018, 54, 5319.

DOI

[12]
Li, Z.; Han, Y.; Gao, Z.; Fu, T.; Wang, F. Mater. Chem. Front. 2018, 2, 76.

DOI

[13]
Büchner, R.; T. Cunningham, C.; S. Field, J.; J. Haines, R.; R. McMillin, D.; C. Summerton, G. J. Chem. Soc., Dalton Trans. 1999, 711.

[14]
Lai, S.-W.; Chan, M.C.-W.; Cheung, K.-K.; Che, C.-M. Organometallics 1999, 18, 3327.

DOI

[15]
Yeung, M. C.-L.; Wong, K. M.-C.; Tsang, Y. K. T.; Yam, V. W.-W. Chem. Commun. 2010, 46, 7709.

DOI

[16]
Leung, S. Y.-L.; Lam, W. H.; Yam, V. W.-W. Proc. Natl. Acad. Sci. U. S. A. 2013, 110, 7986.

DOI

[17]
Cheng, H.-K.; Yeung, M. C.-L.; Yam, V. W.-W. ACS Appl. Mater. Interfaces 2017, 9, 36220.

DOI

[18]
Ai, Y.; Ng, M.; Hong, E. Y.-H.; Chan, A. K.-W.; Wei, Z.-W.; Li, Y.; Yam, V. W.-W. Chem. Eur. J. 2018, 24, 11611.

DOI

[19]
Chakraborty, A.; Yarnell, J.E.; Sommer, R.D.; Roy, S.; Castellano, F.N. Inorg. Chem. 2018, 57, 1298.

DOI PMID

[20]
Chan, M. H.-Y.; Leung, S. Y.-L.; Yam, V. W.-W. J. Am. Chem. Soc. 2019, 141, 12312.

DOI

[21]
Sin-Yee Law, A.; Yeung, M. C.-L.; Yam, V. W.-W. ACS Appl. Mater. Interfaces 2019, 11, 4799.

DOI

[22]
Au-Yeung, H.-L.; Leung, S.Y.-L.; Tam, A. Y.-Y.; Yam, V. W.-W. J. Am. Chem. Soc. 2014, 136, 17910.

DOI

[23]
Chung, C. Y.-S.; Yam, V. W.-W. Chem. Sci. 2013, 4, 377.

DOI

[24]
Knowles, J. R. Annu. Rev. Biochem. 1980, 49, 877.

PMID

[25]
Hodge, J. L.; Rossomando, E. F. Anal. Biochem. 1980, 102, 59.

PMID

[26]
Currie, R. W.; Sporns, P.; Wolfe, F. H. J. Food Sci. 1982, 47, 1226.

DOI

[27]
Gu, Q.-S.; Li, T.; Liu, T.; Yu, G.; Mao, G.-J.; Xu, F.; Li, C.-Y. Chemosensors 2023, 11, 417.

DOI

[28]
Morozov, B. S.; Gargiulo, F.; Ghule, S.; Lee, D. J.; Hampel, F.; Kim, H. M.; Kataev, E. A. J. Am. Chem. Soc. 2024, 146, 7105.

DOI

[29]
Gerasimenko, O. V.; Gerasimenko, J. V.; Tepikin, A.V.; Petersen, O. H. Cell 1995, 80, 439.

PMID

[30]
Shen, S.; Xu, W.; Lu, J.; Wang, S.; Huang, Y.; Zeng, X.; Xiao, W.; Yin, J. Chin. Chem. Lett. 2024, 35, 108360.

DOI

[31]
Kanagaraj, K.; Xiao, C.; Rao, M.; Fan, C.; Borovkov, V.; Cheng, G.; Zhou, D.; Zhong, Z.; Su, D.; Yu, X.; Yao, J.; Hao, T.; Wu, W.; Chruma, J. J.; Yang, C. iScience 2020, 23, 100927.

DOI

[32]
Wu, W.; Huo, F.; Yin, C. Chem. Commun. 2025, 61, 1014.

DOI

[33]
Ji, J.; Chereddy, S.S.; Ren, Y.; Chen, X.; Su, D.; Zhong, Z.; Mori, T.; Inoue, Y.; Wu, W.; Yang, C. J. Photochem. Photobiol., A 2018, 355, 78.

DOI

[34]
Sun, Y.; Wei, L.; Zhu, S.; Jin, P.; He, C.; He, Q.; Yang, C.; Wu, W. Sens. Actuators, B 2023, 387, 133764.

DOI

[35]
Yin, C.-X.; Xiong, K.-M.; Huo, F.-J.; Salamanca, J. C.; Strongin, R. M. Angew. Chem. Int. Ed. 2017, 56, 13188.

DOI

[36]
Yue, Y.; Huo, F.; Ning, P.; Zhang, Y.; Chao, J.; Meng, X.; Yin, C. J. Am. Chem. Soc. 2017, 139, 3181.

DOI

[37]
He, Q.; Wei, L.; He, C.; Yang, C.; Wu, W. Molecules 2024, 29, 2203.

DOI

[38]
He, C.; Huang, R.; Wei, L.; He, Q.; Liu, J.; Chen, J.; Gao, G.; Yang, C.; Wu, W. Chin. Chem. Lett. 2025, 36, 110103.

DOI

[39]
Zhao, T.; Yi, J.; Liu, C.; Liang, X.; Shen, Y.; Wei, L.; Xie, X.; Wu, W.; Yang, C. Angew. Chem. Int. Ed. 2023, 62, e202302232.

[40]
Yao, J.; Wu, W.; Xiao, C.; Su, D.; Zhong, Z.; Mori, T.; Yang, C. Nat. Commun. 2021, 12, 2600.

DOI

[41]
Mao, Y.; Ma, J.; Ji, J.; Wang, Y.; Wu, W.; Yang, C. Chin. Chem. Lett. 2024, 35, 109927.

DOI

[42]
Ji, J.; Wei, X.; Wu, W.; Fan, C.; Zhou, D.; Kanagaraj, K.; Cheng, G.; Luo, K.; Meng, X.-G.; Yang, C. J. Am. Chem. Soc. 2022, 144, 1455.

DOI

[43]
Tu, C.; Wu, W.; Liang, W.; Zhang, D.; Xu, W.; Wan, S.; Lu, W.; Yang, C. Angew. Chem. Int. Ed. 2022, 61, e202203541.

[44]
Zhang, Z.-Y.; Chen, Y.; Liu, Y. Angew. Chem. Int. Ed. 2019, 58, 6028.

DOI

[45]
Zhang, Z.-Y.; Xu, W.-W.; Xu, W.-S.; Niu, J.; Sun, X.-H.; Liu, Y. Angew. Chem. Int. Ed. 2020, 59, 18748.

DOI

[46]
Ashford, D. L.; Stewart, D. J.; Glasson, C. R.; Binstead, R. A.; Harrison, D. P.; Norris, M. R.; Concepcion, J. J.; Fang, Z.; Templeton, J. L.; Meyer, T. J. Inorg. Chem. 2012, 51, 6428.

DOI PMID

[47]
Atoini, Y.; Prasetyanto, E.A.; Chen, P.; Silvestrini, S.; Harrowfield, J.; De Cola, L. Chem.-Eur. J. 2018, 24, 12054.

DOI

[48]
Jarosz, P.; Du, P.; Schneider, J.; Lee, S.-H.; McCamant, D.; Eisenberg, R. Inorg. Chem. 2009, 48, 9653.

DOI PMID

文章导航

/