化学学报 ›› 2026, Vol. 84 ›› Issue (2): 189-195.DOI: 10.6023/A25080283 上一篇 下一篇
研究通讯
投稿日期:2025-08-20
发布日期:2025-10-10
基金资助:
Helin Wanga,b, Qingle Zenga,b,*(
)
Received:2025-08-20
Published:2025-10-10
Contact:
*E-mail: qinglezeng@hotmail.com
Supported by:文章分享
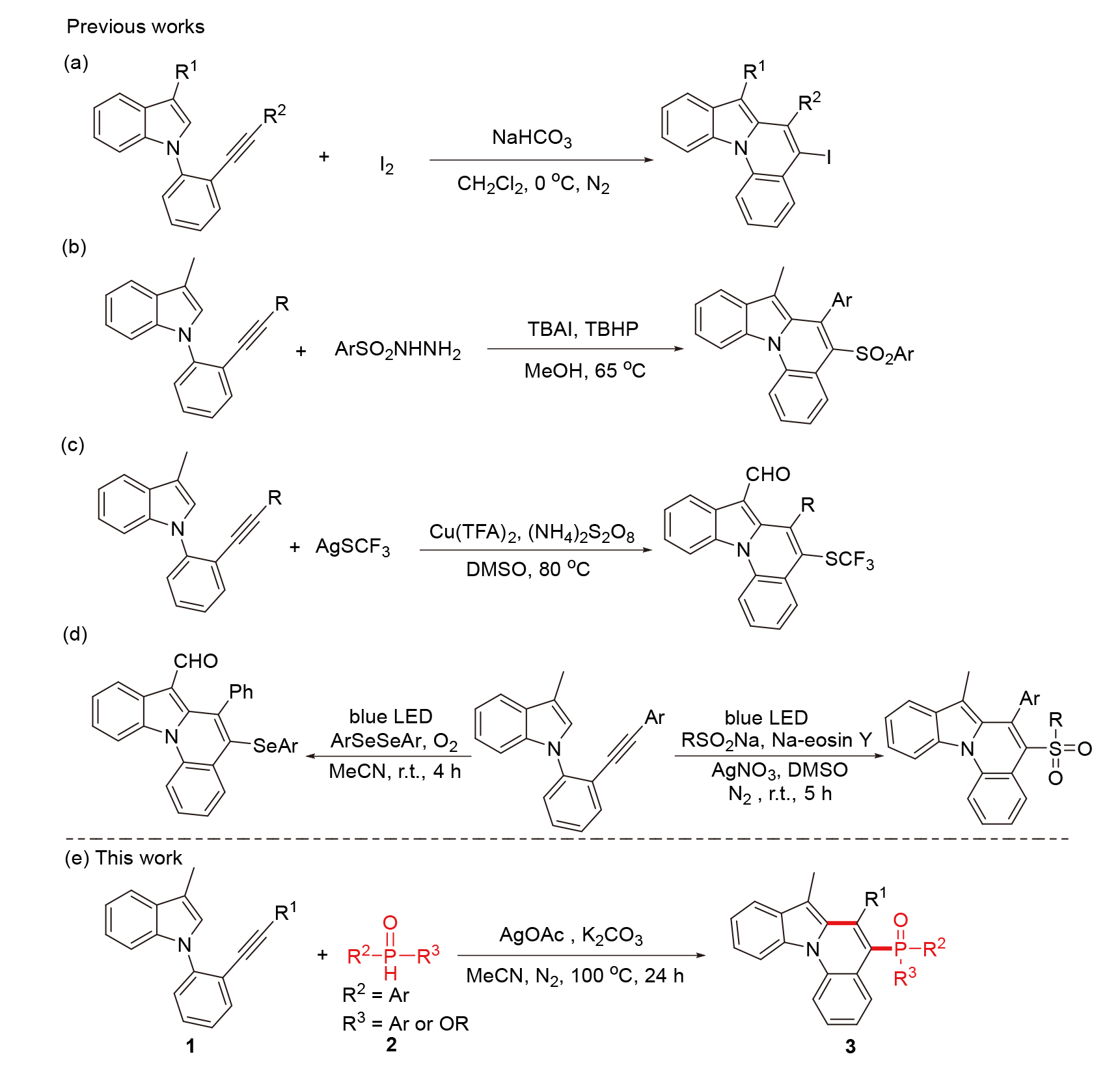
首次以二芳基氧化膦(含膦酸酯)为原料, 与吲哚炔反应合成非共平面的二芳基膦酰基吲哚并[1,2-a]喹啉. 该方法涉及银介导的串联加成和环化过程, 包括具有显著位阻的二芳基膦酰基自由基的生成和后续吲哚炔的自由基环化. 该方案具有反应条件比较温和及操作简便等显著优势, 可合成多种非共平面二芳基膦酰基吲哚并[1,2-a]喹啉, 产率中等到良好. 这些化合物在医药和材料科学领域具有重要的应用潜力.
王禾林, 曾庆乐. 氧膦对吲哚炔串联加成和环化合成二芳基膦酰基吲哚并[1,2-a]喹啉[J]. 化学学报, 2026, 84(2): 189-195.
Helin Wang, Qingle Zeng. Cascade Addition and Cyclization of Indoloalkynes with Phosphine Oxides for the Synthesis of Diarylphosphinoyl Indolo[1,2-a]quinolines[J]. Acta Chimica Sinica, 2026, 84(2): 189-195.
| Entry | Oxidant | Base | Solvent | Temp./℃ | Yieldb/% |
|---|---|---|---|---|---|
| 1 | K2S2O8 | K2CO3 | MeCN | 100 | 32 |
| 2 | TBHP | K2CO3 | MeCN | 100 | 42 |
| 3 | Mn(OAc)2•4H2O | K2CO3 | MeCN | 100 | 36 |
| 4 | Ag2CO3 | K2CO3 | MeCN | 100 | 40 |
| 5 | AgOAc | K2CO3 | MeCN | 100 | 53 |
| 6 | — | K2CO3 | MeCN | 100 | 0 |
| 7 | AgOAc | NaH | MeCN | 100 | 46 |
| 8 | AgOAc | K3PO4 | MeCN | 100 | 73 |
| 9 | AgOAc | Na2CO3 | MeCN | 100 | 59 |
| 10 | AgOAc | t-BuOK | MeCN | 100 | 42 |
| 11 | AgOAc | Et3N | MeCN | 100 | 45 |
| 12 | AgOAc | K3PO4 | Toluene | 100 | 52 |
| 13 | AgOAc | K3PO4 | DMSO | 100 | 27 |
| 14 | AgOAc | K3PO4 | 1,4-Dioxane | 100 | 30 |
| 15 | AgOAc | K3PO4 | MeCN | 80 | 56 |
| 16 | AgOAc | K3PO4 | MeCN | 120 | 47 |
| 17c | AgOAc | K3PO4 | MeCN | 100 | 14 |
| 18d | AgOAc | K3PO4 | MeCN | 100 | 78 |
| 19e | AgOAc | K3PO4 | MeCN | 100 | 62 |
| Entry | Oxidant | Base | Solvent | Temp./℃ | Yieldb/% |
|---|---|---|---|---|---|
| 1 | K2S2O8 | K2CO3 | MeCN | 100 | 32 |
| 2 | TBHP | K2CO3 | MeCN | 100 | 42 |
| 3 | Mn(OAc)2•4H2O | K2CO3 | MeCN | 100 | 36 |
| 4 | Ag2CO3 | K2CO3 | MeCN | 100 | 40 |
| 5 | AgOAc | K2CO3 | MeCN | 100 | 53 |
| 6 | — | K2CO3 | MeCN | 100 | 0 |
| 7 | AgOAc | NaH | MeCN | 100 | 46 |
| 8 | AgOAc | K3PO4 | MeCN | 100 | 73 |
| 9 | AgOAc | Na2CO3 | MeCN | 100 | 59 |
| 10 | AgOAc | t-BuOK | MeCN | 100 | 42 |
| 11 | AgOAc | Et3N | MeCN | 100 | 45 |
| 12 | AgOAc | K3PO4 | Toluene | 100 | 52 |
| 13 | AgOAc | K3PO4 | DMSO | 100 | 27 |
| 14 | AgOAc | K3PO4 | 1,4-Dioxane | 100 | 30 |
| 15 | AgOAc | K3PO4 | MeCN | 80 | 56 |
| 16 | AgOAc | K3PO4 | MeCN | 120 | 47 |
| 17c | AgOAc | K3PO4 | MeCN | 100 | 14 |
| 18d | AgOAc | K3PO4 | MeCN | 100 | 78 |
| 19e | AgOAc | K3PO4 | MeCN | 100 | 62 |
| [1] |
doi: 10.1021/np049935+ |
| [2] |
doi: 10.1039/c005345g pmid: 20838695 |
| [3] |
doi: 10.1039/D1CC02415A |
| [4] |
pmid: 16193159 |
| [5] |
doi: 10.1016/j.tet.2019.02.006 |
| [6] |
doi: 10.1016/S0040-4020(01)87108-8 |
| [7] |
pmid: 20491639 |
| [8] |
pmid: 3184121 |
| [9] |
pmid: 10354398 |
| [10] |
doi: 10.1016/j.tetlet.2021.153365 |
| [11] |
doi: 10.1016/j.ejmech.2011.02.035 |
| [12] |
doi: 10.1039/C9CC06924K |
| [13] |
doi: 10.6023/cjoc201900002 |
|
(王峥, 何卫民, 有机化学, 2019, 39, 3594.)
doi: 10.6023/cjoc201900002 |
|
| [14] |
doi: 10.1039/d4ra07467j pmid: 39885850 |
| [15] |
doi: 10.1021/jo200638k |
| [16] |
doi: 10.1021/acs.joc.2c03045 |
| [17] |
doi: 10.1021/acs.joc.3c00997 |
| [18] |
doi: 10.6023/cjoc201708023 |
|
(高玉珍, 唐果, 赵玉芬, 有机化学, 2018, 38, 62.)
doi: 10.6023/cjoc201708023 |
|
| [19] |
doi: 10.1021/cr020049i |
| [20] |
doi: 10.1021/cr1004293 pmid: 21456523 |
| [21] |
doi: 10.1021/cr0782729 pmid: 18831570 |
| [22] |
doi: 10.1021/cr2004212 pmid: 22530923 |
| [23] |
Topics in Heterocyclic Chemistry, Ed.: Bansal, R. K., Vol 21, Springer, Berlin, 2010.
|
| [24] |
doi: 10.1021/jm070488f |
| [25] |
doi: 10.1039/C7QO00746A |
| [26] |
doi: 10.6023/cjoc202209025 |
|
(肖潜, 佟庆笑, 钟建基, 有机化学, 2022, 42, 3979.)
doi: 10.6023/cjoc202209025 |
|
| [27] |
doi: 10.6023/cjoc202211003 |
|
(任志军, 罗维纬, 周俊, 有机化学, 2023, 43, 2026.)
doi: 10.6023/cjoc202211003 |
|
| [28] |
|
|
(曾庆乐, 宓爱巧, 蒋耀忠, 化学进展, 2004, 16, 603.)
|
|
| [29] |
doi: 10.1055/s-0040-1707319 |
| [30] |
doi: 10.1002/cjoc.v26:8 |
| [31] |
doi: 10.1039/D5QO00681C |
| [32] |
doi: 10.1007/s11426-019-9499-5 |
| [33] |
doi: 10.1039/C7QO00766C |
| [34] |
pmid: 27779415 |
| [35] |
doi: 10.1021/ol403256e pmid: 24320135 |
| [36] |
doi: 10.1021/ja407373g |
| [1] | 左恒昕宇, 虎亚光, 乔霞, 张野, 王少华. 醚的α-C—H键氧化/多烯环化串联反应: 一种合成氧杂三环的新方法★[J]. 化学学报, 2025, 83(9): 981-986. |
| [2] | 黄俊, 尹蓉, 曹婷婷. 基于自由基介导Formal Diels-Alder反应的复杂天然产物全合成[J]. 化学学报, 2025, 83(11): 1424-1434. |
| [3] | 成泽恺, 温子扬, 李红卫, 李娜, 王欢. 铜(I)催化炔-叠氮环加成反应的转动扩散动力学★[J]. 化学学报, 2025, 83(11): 1293-1299. |
| [4] | 赵雅宸, 俞飚. Michael/aldol串联环化反应在天然产物合成中的应用[J]. 化学学报, 2025, 83(11): 1397-1413. |
| [5] | 热孜古丽•玉努斯, 卡迪尔亚•阿布都外力, 罗时玮, 阿布都热西提•阿布力克木. 电化学条件下由二苄胺合成N-亚苄基苄胺及衍生化研究[J]. 化学学报, 2024, 82(8): 843-848. |
| [6] | 郑灏宁, 刘金宇. 有机催化吲哚碳环官能团化研究进展[J]. 化学学报, 2024, 82(6): 641-657. |
| [7] | 罗江浩, 马浩文, 张杰豪, 周伟, 蔡倩. 串联炔-异氰[3+2]环加成/Boulton-Katritzky重排/扩环反应构建吡咯并[3,2-d]嘧啶-4-酮化合物★[J]. 化学学报, 2023, 81(8): 898-904. |
| [8] | 王瑞祥, 赵庆如, 顾庆, 游书力. 金/铱接力催化炔基酰胺环化/不对称烯丙基苄基化串联反应★[J]. 化学学报, 2023, 81(5): 431-434. |
| [9] | 邱孔茜, 李杰, 马浩文, 周伟, 蔡倩. 捕捉环加成反应中的有机亚铜中间体构筑氮杂环化合物研究进展[J]. 化学学报, 2023, 81(1): 42-63. |
| [10] | 杨妲, 张龙力, 刘欢, 杨朝合. 双功能配体修饰的Ir催化剂在“氢甲酰化-缩醛化”串联反应中的共催化作用[J]. 化学学报, 2021, 79(5): 658-662. |
| [11] | 程磊, 周其林. 镍催化构筑C(sp3)—C(sp3)键反应研究进展[J]. 化学学报, 2020, 78(10): 1017-1029. |
| [12] | 许健, 张世樊, 罗莹, 张荔, 张帆, 黄挺菁, 宋秋玲. 自由基促进硫甲基取代的炔酮的环化反应[J]. 化学学报, 2019, 77(9): 932-938. |
| [13] | 陈之尧, 刘捷威, 崔浩, 张利, 苏成勇. 卟啉金属-有机框架在二氧化碳捕获与转化上的应用研究[J]. 化学学报, 2019, 77(3): 242-252. |
| [14] | 姚坤, 刘浩, 袁乾家, 刘燕刚, 刘德龙, 张万斌. 钯催化三组分烯丙基串联反应: 化学专一性合成N-酰亚甲基-2-吡啶酮[J]. 化学学报, 2019, 77(10): 993-998. |
| [15] | 叶文波, 晏子聪, 万常峰, 侯豪情, 汪志勇. 一种新的肉桂酸类化合物的脱羧/甲基化反应[J]. 化学学报, 2018, 76(2): 99-102. |
| 阅读次数 | ||||||
|
全文 |
|
|||||
|
摘要 |
|
|||||